咨询
-
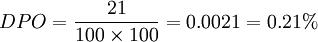
DPMO
什么是DPMO DPMO(即:每百万次采样数的缺陷率)是指100万个机会里面,显现缺陷的可能是多少。这里有一个计算公式,即DPMO=(总体缺陷数/机会)×一百万分之一百万。DP...
咨询术语 2021-06-19
-
闭环MRP
什么是闭环MRP 闭环MRP是在物料需求计划(MRP)的基础上,增长对投入与产出的控制,也就是对企业的能力执行校检、实施和控制。闭环MRP理论觉得,只有在考虑能力的约束,或者对...
咨询术语 2021-06-19
-
控制图
什么是控制图控制图是依据如果检验的原理构造一种图,用于监测生产过程能否处在控制状态。它是统计质量管理的一种重要手段和工具。在生产过程中,产品质量受于受随机原因和系统原因的影响而...
咨询术语 2021-06-19
-
人力资源经济分析
人力资源经济分析表明 人力资源经济分析,是指为了适应企业的人力资源管理与开发的需要,科学地运用经济计量、数学模型统计和会计等方法及工具,对企业的人力资源所执行的综合经济分析。该...
咨询术语 2021-06-19
-
关连树法
什么是关连树法 关连树法是20世纪60年代初,在C·W·求克曼等人提出决策树基础上,加之矩阵理论发展而来的。所谓关连树,就是为某一目的分出各种困难,并清理出各种困难的对等关系,...
咨询术语 2021-06-19
-
循环流向图
什么是循环流向图 循环流向图是一个描述货币如何通过市场在家庭和公司之间流动的直观经济模型,该模型包含家庭和公司两种类型的制定人以及服务和商品市场、生产要素市场两种类型的市场。 ...
咨询术语 2021-06-19
-
普洛夫斯特法
什么是普洛夫斯特法 普洛夫斯特法—— 亦举动对照表法,是由美国圣保罗人事局的J.B.普洛夫斯特在1920年创立的一种评价方法。评价者只要依据人力资源部门供应的描述雇员举动的量表...
咨询术语 2021-06-19
-
年费法
什么是年费法年费法(Annual cost method)是通过计算、比较“年费”的方法来比较选择设备投资方案的方法。适用于难于单独计算投资收益的设备投资。年费法的计算“年费”...
咨询术语 2021-06-19
-
马思咨询公司
马思咨询公司简介 马思咨询公司(Mars & Co)于1979年由时任波士顿咨询集团董事的多米尼哥·马思(Dominique Mars)先生创立。他从波士顿咨询集团董事会辞职只...
咨询术语 2021-06-19
-
质量核查方法
什么是质量核查方法 质量核查方法是用于质量保障的一种结构化审核方法。质量核查的目标是找出可改进项目质量的困难,进而开展项目质量的改观与提升。项目质量核查可以定期执行,也可以随机...
咨询术语 2021-06-19






