咨询术语
-
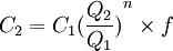
生产能力指数法
什么是生产量力指数法生产量力指数法又称指数估算法,是指依据已建成的、性质相似的建设项目的投资额和生产量力与拟建项目的生产量力估算拟建项目的投资额的方法。生产量力指数法的公式C1...
咨询术语 2021-06-19
-
计算机辅助工艺规划
什么是计算机辅助工艺规划(CAPP) 计算机辅助工艺规划也被译为计算机辅助工艺过程设计。国际生产工程研究会(CIRP)提出了计算机辅助规划(CAP)、计算机自动工艺过程设计(C...
咨询术语 2021-06-19
-
缺点数管制图
缺点数管制图简述缺点数管制图是一种计数值管制图,能在每一批量的生产中侦测出每一零件或受验单位不良点的数目。 缺点数管制图的理论计算 所谓不合格品是指一件物品无法符合一项或...
咨询术语 2021-06-19
-
线图
什么是线图 线图是线路图的一种特殊的表明形式,是按比例绘制的平面布置图或模型。在图上,用线条表明并衡量员工、物料或设备等在规定的活动中所走的路线。线路图导致近似地按比例作图,在...
咨询术语 2021-06-19
-
拿破仑·希尔的十七项成功原则
十七项成功原则1、维持积极的心态人与人之间只有很小的差别,但该种很小的差别却往往产生重大的差异,很小的差别就是所具备的心态是积极的依旧消极的,重大的差异就是成功与失利。也就是说...
咨询术语 2021-06-19
-
社会评价
什么是社会评价社会评价是识别、监测和评价投资项目的各种社会影响,分析当地社会环境对拟建项目的适应性和可接受程度,评价投资项目的社会可行性,其目的是促进利益有关者对项目投资活动的...
咨询术语 2021-06-19
-
韬睿咨询公司
韬睿咨询公司简介 韬睿咨询是世界最大的业务咨询公司之一,向各种机构供应人力资源管理、绩效管理及风险管理等方面的咨询服务,并为世界金融服务机构供应精算和管理咨询服务。成立70多年...
咨询术语 2021-06-19
-
六西格玛设计
六西格玛设计简述 六西格玛设计就是依照合理的流程、运用科学的方法精准理解和把握顾客需求,对新产品/新流程执行健壮设计、使产品/流程在低成本下达到六西格玛质量水平。同期使产品/流...
咨询术语 2021-06-19
-
集成产品开发
什么是集成产品开发 集成产品开发(Integrated Product Development, 简称IPD)是一套产品开发的模式、理念与方法。IPD的思想来因为美国PRTM公...
咨询术语 2021-06-19
-
波特竞争战略轮盘模型
竞争战略轮盘模型简述 竞争战略轮盘,是一个将公司竞争战略诸核心方面仅以一个简单轮盘来阐明的工具。轮盘中心是公司的总目标,也即有关公司要如何从事竞争及其特定的经济与非经济目标的笼...
咨询术语 2021-06-19






