估值
-
债务成本
The effective rate that a company pays on its current debt. This can be measured in eith...
估值 2021-06-19
-
IPO估值
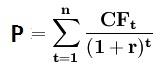
IPO估值方法 达到我国资本市场的最终成熟,估值技术的规范运用是必要的前提条件。伴随我国股票市场结构调整和制度创新,现有的信息披露质量不高、股权分割、投机文化等痼疾得到持续改观...
估值 2021-06-19
-

-

-

-

-
电影版权评估
电影版权评估现况 到2010年,中国电影产能、票房和综合效益达到了接连七年的上涨,但隐藏在产业繁荣盛景之下的影片(或影片组合)项目融资难题却扼住了其更深一步发展的咽喉。当前,以...
估值 2021-06-19
-

-

-







