首页百科证券估值文章详细

企业价值评估

外汇网2021-06-19 14:37:09 575

企业价值评估的体系分析简介

企业价值的评估在企业运营决策中极其重要。企业财务管理的目标是企业价值最大化,企业的各类运营决策能否可行,务必看这一决策能否有助于增长企业价值。在现实经济生活中,往往显现把企业作为一个整体执行转让、合并等情形,如企业兼并、买入、卖出、重组联营、股份运营、合资合作运营、担保等等,都涉及到企业整体价值的评估困难。在该种情形下,要对整个企业的价值执行评估,以便确定合资或转卖的单价。但是,企业的价值,或者说买入价格,决不是简单地由各单项经公允评估后的资产价值和债务的代数和。由于民众买卖企业或兼并的目的是为了通过运营这个企业来获取收益,决定企业价格大小的原因相当多,其中最基本的是企业利用自有的资产去获取利润能力的大小。所以,企业价值评估并没有是对企业各类资产的评估,而是一种对企业资产综合体的整体性、动态的价值评估。而企业资产则是指对企业某项资产或某几项资产的价值的评估,是一种局部的和静态的评估。

用公式可表明为:企业价值=企业所有单项资产的公允评估价值之和-企业证实负债额的现值+商誉价值。企业价值也可显现为:企业价值=当前净资产的市场价值+以后或许运营年限之内每年所有机会回报的现值之和。

但事实操作时,将来回报如何精准预期?或许运营年限如何精准预期?有必要一一分析处理。

影响企业价值改变的原因

要弄清楚哪些是影响企业价值改变的原因,并找出衡量这些原因的标准,从而才可找出评价企业价值的方法。

企业的价值核心在于是否给所有者导致报酬,包含股利和卖出其股权换取现金,报酬越多,这个企业价值越高。但是,假使将来风险大,即便将来报酬高,也会让人望而却步。所以,企业盈利能力与马上面对的风险情况与水平高低,是企业价值评估需要考虑的两个首要原因。而这两个原因又受下方几个原因影响:

1.企业的资产,无论是有形依旧无形,仅是企业的“硬件”,如何运用这些资产去创造企业最佳效益,很大程度上取决于“软件”。这个软件即是企业管理者的运营能力、创新能力、管理方针与运营运转机制,以及这个企业所拥有的人才资源。所以,要正确预期一个特定企业的单价,不仅要看“硬件”,还要看“软件”。

2.企业外部影响要素,如社会政治、经济环境、运营竞争情况和科技发展水平。可见,企业价值评估包含了两方面的内容:一是企业以往运营业绩的评估分析;二是企业将来运营前景的预期分析。

从运营业绩看,我们应得出如下的分析结果:

第一,这个企业当前盈利如何?盈利的首要原因取决于什么(是产品质量好,依旧营销手段高,依旧有特别机遇,依旧受于创新能力)?

第二,这个企业的财务情况如何?形成的原因是什么?对今后企业运营及今后的投资项目选择有何影响?今后的投资与筹资方式有何制约?

第三,将企业与同类类似条件企业比较,分析企业在把握运营机会方面,对社会贡献方面、社会声誉方面的差异,从中可分析出管理人士能力与企业运转机制水平方面的困难,看出企业在这方面的水准。当前,一般运用的分析方法可利用财务分析的方法,对企业偿债能力、盈利能力和抗风险能力作出评价,并找出存在的困难。

从以上三个方面分析出企业当前“价值”,即是当前在市场中的单价。

从运营前景的预期看:

第一,企业有无继续运营的可能,即企业的产品处在哪个寿命阶段,市场能否已趋饱和?企业本身实力如何,资产情况老化依旧情况不错,企业处在成长期依旧衰退期?企业本身的弱点是否应对得了将来运营环境的改变?这其中,要对企业马上面对的外部、内部影响环境的改变作出分析,并依据它们对企业的影响程度,分析出企业在当前的“实力”情况下承受影响后的结果,从而评估出企业将来收益情况。

第二,企业有无新的投资机会并有无或许把握住它?这首要依据企业人才资源及创新能力,以及本身资产情况及财务情况。这就需要分析企业面对的各种风险,比如将来投资机会的运营风险、财务风险、信息风险、法律风险、体制风险等诸多风险,进而得知企业将来盈利的来源大小。

在评估实务中,受于牵涉原因多,要把所有原因全部货币化或量化相当问题。由于尽管有的原因,比如社会的、政治的、经济的、道德的、心理的、人才素质等非经济原因越来越深刻地影响企业运营的方方面面,但的确没有什么成功的先例可以把它们的影响精准量化。所以在评价企业价值时,应当再将那些非量化或不可计量的影响要素对企业价值的影。向用评分或分数化方法间接量化,将其变为各种修正指标,然后再执行对企业价值的综合,全面的分析。

企业价值评估指标与标准体系框架可如图所示:

汇外网 - 全球专业的黄金外汇门户导航行情资讯网站企业价值

上图中,用以评价企业价值的指标有两类:

第一类是基本指标。即是能够清晰反应企业当前资产价值情况的指标,比如无形资产的收益现值、有形资产的现市价或重置成本,企业当前盈利水平的效益情况。

第二类是修正系数指标。它是依据企业运营中的非定量影响要素对基本指标及对企业价值的影响程度,采取适当的方法,将以上方面的影响要素的改变对企业价值的影响,通过修正系数表现出来,修正基本指标,从而得到比较精准客观的企业价值评估值。

评价的标准可依据全国或同行业、同类企业的水准分类,一般可分为几级,如优、良、平均、低、差等。或以分数代表,然后再依据各影响要素的重要程度,设置不同的权数,来修正得出对企业价值水平的综合整体观点。

对修正系数及其评价标准框架的一块解释:

①在衡量企业无形资产价值时,以该资产在运用限期内所能创造的收益的现值为根据,这是国际上的常用作法。为了更确切地体现价值,我们设计了一个修正系数 A,这个修正系数A将把企业运营的水准对该无形资产的运用效果的影响反应出来。换句话说,运营水平高的企业将能更好地利用现有的无形资产。所以,修正系数 A可采取沃尔评分法或用我国1999年财政部对国企评分规则的办法计算出来的企业业绩综合分,为百分制。用它来修正企业当前预期或事实的无形资产的年收益。即:

当前年收益×修正系数A=平均将来年收益评估值

②无形资产的运用期限以合理的利用年限值为基础,再乘以修正系数 B,由于该项无形资产究竟可以用多久,很大程度上取决于本行业同类科技发展水平高低,假使科技发展速度快,则很有机会此项无形资产寿命缩短,或立刻被取代。所以,修正系数B应向反方面取值。科技创新速度越快,修正系数B取值越小。

③修正系数C是用来修正有形资产价值的。由于同样的重置成本或变现净值在不同的企业中运用效果是不一样的,所以,

修正系数C=该企业资产运用效率/同行业同类资产运用效率

④企业商誉是指企业将来或许的运营机会创造的收益现值之总和。公式为:

将来收益现值之和=∑年收益期望值×(n年I为一定数值的年金现值系数)

其中:年收益期望值受将来可行方案收益的期望以及诸多原因的影响。表明为:

年收益期望值=将来收益期望值×修正系数D,而将来收益期望值=∑将来各种情形下收益值水平×各种情形发生之几率。

修正系数D:企业人才资源潜力水平×重要原因程度(50%)原因+技术创新开发成本占销售收入比重×重要原因程度(30%)+市场竞争后风险情形×重要原因程度(10%)+企业当前运营情况(评分值)×原因重要程度(10%)

其中,企业人才资源潜力水平可按用人条件、激励机制、人士结构几方面由专家打分评议。取百分制,其中用人条件、激励机制、人士结构可按不同行业选择合适的重要度选择权重。

技术创新开发成本占销售收入比重的高低很大程度上决定了企业将来的成长后劲。所以,应按其占收入比例给企业打分,在实务中,则要依据企业所在行业特点适当取值。

以上框架显示,企业价值不仅与企业当前所拥有的资产价值相关,而且与如何运用这些资产,以及企业采取的管理方针与方法紧密有关,而这些又与企业的人才资源情况与管理制定人的才可及素质相关。所以,要对按单项资产评估出来的企业资产价值加以修正,以使其更能反应企业的真实价值水平。在评估中,修正系数的取值适当与否非常重要。其核心在于计算修正系数的方法能否科学、完善。

企业价值评估的特点

1、两种评估所确定的评估价值的含义是不相同的。

利用单项资产评估,是一种静态的反应方法。

将企业整体作为评估对象,是一种动态的反应方法。

2、两种评估所确定的评估价值的价值一般是不相等的。

美国价值评估理论专家科纳尔觉得,企业的价值不仅反应资产的重置成本,而且务必包含十分重要的组织成本,即企业价值=资产重置成本+组织成本。

3、两种评估所反应的评估目的是不相同的。

假使企业的资产收益率与社会(许多的是与行业)平均资产收益率相同,则单项资产评估总览确定的企业资产评估值应与整体资产评估值趋于统一;

假使企业资产收益率差于社会(或行业)平均资产收益率,单项资产评估总览确定的企业资产评估值就会比整体企业评估值高;

反之,假使企业资产收益率好于社会(或行业)平均收益率,整体企业评估值则会好于单项企业评估总览的价值,胜过的部分则是企业商誉的价值。

企业价值评估的规模

(一)企业价值评估的一般规模

一般规模即企业的资产规模。

这是从法的角度界定企业评估的资产规模。

从产权的角度,企业评估的规模应当是企业的全部资产。

(二)企业价值评估的具体规模

在界定企业价值评估具体规模是应注意的困难:

首先,对于评估时点一时很难界定的产权或因产权纠纷临时很难得出结论的资产,应划为“待定产权”,暂不列为企业评估的资产规模。

其次,在产权界定规模内,若企业中显著存在着生产量力闲置或浪费,以及某些局部资产的功能与整个企业的总的功能不统一,并企业可以分离,依照效用原则应警示委托方执行企业资产重组,从新界定企业评估的具体规模,以避免产生委托人的权益损失。

又一次,资产重组是形成和界定企业价值评估具体规模的重要渠道。

资产重组对资产评估的影响首要有下方几种情形:

1、资产规模的改变。

2、资产负债结构的改变。

3、收益水平的改变

企业价值评估模型比较

企业价值评估是一项综合性的资产评估,是对企业整体经济价值执行分析、预期的过程,首要是服从或服务于企业的产权转让或产权交易。伴伴随中国经济体制改革的深入和现代企业制度的推行,以企业兼并、收购、股权重组、资产重组、合并、分设、股票发行、联营等经济交易举动的显现和增多,企业价值评估的应用空间得到了极大的拓展,企业价值评估在市场经济中的作用也越来越突出。当前,企业价值评估方法首要有:资产价值评估法、现金流量贴现法、市场比较法和期权价值评估法等四种。

一、资产价值评估法

资产价值评估法是利用企业现存的财务报表记录,对企业资产执行分项评估,然后加总体一种静态评估方式,首要有账面价值法和重置成本法。

1、账面价值法

账面价值是指资产负债表中股东权益的价值或净值,首要由投资人投入的资本加企业的运营利润组成,计算公式为:目标企业价值=目标公司的账面净资产。但这仅对于企业的存量资产执行计量,无法反应企业的赢利能力、成长能力和行业特点。为弥补该种缺陷,在实践中往往采取调整系数,对账面价值执行调整,变为:目标企业价值=目标公司的账面净资产×(1+调整系数)。

2、重置成本法

重置成本足指并购企业自己,从新构建一个与目标企业完全相同的企业,需要花费的成本。诚然,务必要顾虑到现存企业的设备贬值情形。计算公式为:目标企业价值=企业资产当前市场全新的单价-有形折旧额-无形折旧额。

以上两种方法都以企业的历史成本为根据对企业价值的评估,最重要的特点是采取了将企业的各类资产执行分别股价,再相加综合的思路,事实操作简单一行。其最致命的缺点在于将一个企业有机体割裂开来:企业不是土地、生产设备等各种生产资料的简单累加,企业价值应当是企业整体素质的体现。将某项资产脱离整体单独执行评估,其成本价格将和它所给整体导致的边际收益相差甚远。企业资产的账面价值与企业创造将来收益的能力有关性极小。所以,其评估结果事实上并没有是严格意义上的企业价值,充其量只能作为价值参照,供应评估价值的底线。

二、现金流量贴现法

现金流量贴现法又称拉巴鲍特模型法,是在考虑资金的时间价值和风险的情形下,将发生在不同期点的现金流量按既定的贴现率统一折算为现值再加总求得目标企业价值的方法。

三、市场比较法

市场比较法是基于相似资产应当具有相似价格的理论推断,其理论依是“替代原则”。市场法实质就是在市场上找出一个或几个与被评估企业相同或近似的参照企业,在分析、比较两者之间重要指标的基础上,修正、调整企业的市场价值,最后确定被评估企业的价值。运用市场法的评估着重是选择可比企业和确定可比指标。

首先在选择可比企业时,一般依靠两个标准:一是行业标准,一是财务标准。其次确定企业价值可比指标时,要遵循一个原则即可比指标要与企业的价值直接有关。一般选用三个财务指标:EBIDT(利息、折旧和税前利润),无负债净现金流量和销售收入。其中,现金流量和利润是最首要的指标,由于它们直接反应了企业盈利能力,与企业价值直接有关。

市场比较法通过参照市场对类似的或可比的资产执行定价来预期目标企业的价值。受于需要企业市场价值作为参照物,所以市场比较法较多地依靠效比现金流量贴现所需信息少。但假定,即“市场整体上对目标企法将失灵。在实异和交易案例的市场尚不完善,的运用承受一定现制约。

四、期权价值评估法

在某给定日期或固定价格购进或权价值来因为本础资产的价值超出售期权才有收Scholes模型。

期权价值评估法下,利用期权定价模型可以确定并购中隐含的期权价值,然后将其加入到按传统方法计算的静态净现值中,即为目标企业的价值。期权价值评估法考虑了目标企业所具有的各种机会与运营灵活性的价值,弥补了传统价值评估法的缺陷,能够使并购方依据风险来选择机会、创造运营的灵活性,风险越大,企业拥有的可能与灵活性的价值就越高。但在研究中还存在一部分需要处理的困难,比如在运用期权定价模型时仍未对该模型的如果条件给予严格的检验。实际上,很多经济活动的可能收益能否符合几何或对数布朗运动规律,有待继续研究。在实务中很少单独采取该方法得到最结束果,往往是是在运用其余方法定价的基础上考虑并购期权的价值后,加以调整得出评估值。

总之,企业价值评估是以适当的科学方法和经验水平为根据的,但本质上是一种主观性很强的分析,在实践中,应当针对不同对象选用不同方法执行估价,必要的时机可以交叉采取多种方法同期估价。一般来看,评估企业价值需要两种技巧,第一是分析能力,既需要明白及应用数学模式去评估公司价值。第二也是更重要的,就是拥有不错的分析能力。很多时候数学模式均带有如果成分,很多资料如公司运营管理能力是不能量化的或没有充足报告去衡量,所以在运用数学模式所得到的企业价值只能作参考。受于当前估价目的十分狭窄,企业价值评估除了可以为产权交易供应一个合理的基础价格外,更重要的是重组前后的价值对比可以形成企业管理层能否执行战略重组的决策工具。

价值评估在西方国家得到了很大成功,正确推行以价值评估为手段的价值最大化管理,是使我国企业迈出窘境的必要条件。所以,无论是在理论上依旧在实践上,探讨和研究企业价值评估方法以及合理运用都具有重要的意义。

企业价值评估的意义

企业价值评估是指把一个企业作为一个有机整体,根据其整体获利能力,并充分考虑影响企业获利能力诸原因,对其整体资产公允市场价值执行的综合性评估。作为整体资产的企业往往并没有是所有单项资产的简单累加,而是在一定组织管理下依照生产运营中经济与技术逻辑关系形成的资产有机结合体。价值评估对企业并购的意义首要体当下三个方面:

(1)从并购程序看,一般分为目标选择与评估、准备计划、分开或协议并购实行三个阶段,其中目标选择与评估是并购活动的首要基本环节,而目标评估的核心内容是价值评估,这是决定并购活动能否可行的先决条件;

(2)从并购动机向上瞧,并购企业一般是为得到管理、运营、财务上的协同效应,达到战略目标等,但在理论上只要价格合理,交易是值得成交的,所以双方对标的的价值评估是决定能否成交的基础,也是谈判的重心;

(3)从投资人角度看,要并购企业交易价值有助于己方,但受于双方投资人信息掌握不充分,或者主观认识上存在偏差,所以,在并购过程中,需要对并购企业本身、目标企业及并购后的联合企业执行价值评估,三者既各自独立,又相互联系,缺一不可,共同组成了并购中的企业价值评估,对并购决策的成就起着举足轻重的作用。

企业价值评估的体系分析案例分析

案例一:万科的企业价值评估的体系分析

一、万科企业股份有限公司背景介绍

万科企业股份有限公司是当前中国最大的专业住宅开发企业,成立于1984年。公司努力于通过规范、透明的企业文化和稳健、专注的成长模式,形成最受客户、最受投资人、最受雇员欢迎,最受社会尊重的企业。凭借公司治理和道德准则上的状况,公司接连五年入选“中国最受尊敬企业”,接连第四年得到“中国最佳企业公民”称号。

产品上,万科已经形成平稳的产品线,具备行业领先水平。上海万科新里程项目作为工厂化生产的首个项目已经推向市场。住宅产业化的试图非常有助于更深一步减弱项目成本,提升生产效率,契合万科做大众住宅产品的选择,一旦成功,将使万科得到较大的竞争优势。

万科1991年形成深圳证券交易所第二家上市公司,连续上涨的业绩以及规范透明的公司治理结构,使公司赢得了投资人的普遍认可。以往十年,万科销售收入复合上涨率为49.9%,净利润复合上涨率为42.3%;近期三年,万科销售收入复合上涨率高达93.7%,净利润复合上涨率高达88.4%,基本每股收益复合上涨率高达67.6%。公司在发展过程中两次入选福布斯“世界最佳小企业”;多次得到《投资人关系》、《亚洲货币》等国际权威媒体评出的最佳公司治理、最佳投资人关系等奖项。

到2007年底,万科全国市场占有率为2.1%,业务覆盖到以珠三角、长三角、环渤海三大城市经济圈为着重的二十九个城市。当年共销售住宅4.8万套,销售套数位居世界前茅,跻身世界最大的住宅企业行列。2008年,万科入选中国蓝筹地产企业。

1.万科企业股份有限公司预计实体现金流量

依据万科股份有限公司以前年度的合并资产负债表与合并利润表,得出公司的预计报表。受于本文做案例分析时该公司2008年年报仍未发布,所以本文选择2007年的报告作为基期报告。本文所用资料来源:万科官方网站、深圳证券交易所网站、证券之星网站、国研网和经济观察报。

(1)历史财务比率分析

通过分析万科股份有限公司2004年到2007年合并利润表与合并资产负债表,可以计算出下方财务比率。

万科公司历史财务比率计算表

2004 2005 2006 2007

销售上涨率(%) 20 38 69 98

销售成本率(%) 69 65 64 58

销售、管理费用/销售收入(%) 9 9 8 8

折旧与摊销/销售收入(%) 5 7 8 11

短时间债务利率 5% 5% 6% 6%

长期债务利率 6% 6% 7% 7%

平均所得税税率 27% 27% 29% 30%

以2007年的报告为例,列示各类比率的计算过程。

销售上涨率=(本期运营收入一上期运营收入)/上期运营收入=(35,526,611,301.94-17,918,331,517.79)/17,918,331,517.79=98%

销售成本率=运营成本/运营收入=20,607,338,964.44/35,526,611,301.94=58%

销售、管理费用/销售收入=(销售费用+管理费用)/销售收入=(1194,543,702.00+1,763,765,823.49)/35,526,611,301.94=0.08

由公式:EBIT(税前运营利润)=利润总额+财务费用=销售收入-销售成本-销售、管理费用-折旧与摊销,可以推出

折旧与摊销=(销售收入-销售成本-销售、管理费用)-(利润总额+财务费用)所以,折旧与摊销/销售收入=(35,526,61l,301.94—20,607,338,964.44-1194,543,702.00-1,763,765,823.49)-(7,641,605,685.33+359,500,074.40)/35,526,611,301.94=0.11

从2004年到2007年财务报表整体来说,公司各类财务指标呈现稳定上涨的态势,运营收入、净利润等指标伴随公司资产和范围的逐年递增而持续上涨,运营成本的上涨程度差于运营收入,可以看出其范围优势渐渐显现。尤其2007年,公司业绩比以往年份上涨愈加迅猛,新项目的投资涨幅更是惊人,高达197%。

从定性的角度来分析,万科1984年成立,1988年进军房地产,在品牌上意识很强。万科的单价一直处在市场的中高档次,非常注重小区硬件环境和人文环境的建设。“从客户角度出发”,不仅仅是房子出售去后提升销售业绩,万科想的最多是在房子之后接连持续地再给客户供应一部分服务。品牌自身还包含其它一部分新的消费概念,比如住宅消费的创新、市场的研究等。万科的品牌战略就是在许多的城市增速推广万科的住宅小区,巩固万科已经树立的品牌。通过多年来稳固树立的品牌万科在与业中具有了适当的竞争优势。

该公司拥有的范围优势、不错品牌形象、充足的资金等,都显示了万科当前是一个具有强大的实力和竞争力的公司,将来也必将于这个好的势头下继续成长壮大。

(2)实体现金流量的预期

竞争均衡理论觉得,一个企业不或许永远以好于宏观经济上涨的进展发展下去。所以,实务中的详细预期期一般为5-7年,很少胜过10年。[4]

万科2008年三季度的年报中表示,集团同区位、同类型房屋的成交价已有所下滑,成交量也显现不同程度的萎缩。在一定程度上是出于国际、国内宏观经济原因的影响,但更重要的仍是行业本身的规律使然。在历经了2007年较为亢奋的迅速上涨之后,市场必然需要一个理性回归的过程,并在调整完成后迎来新的成长阶段。

从历史经验来说,房地产行业在长期上涨中历经短时间的向下调整,这一情形并不是中国独有。70年代初,日本房地产市场经历差不多20年的上涨后,受国际国内经济环境的影响,也一度历经过较大调整,但暂时的下挫后,是十多年连续平稳的繁荣。从中可以清楚目睹,即使就短时间来说,社会经济发展中的诸多原因均有机会影响市场一时的行情,但行业长期发展趋势仍取决于城市化的演进、经济的上涨、人口结构以及居住模式变迁等基本要素,只要上述原因不发生根本改变,行业发展的基本趋势就不会动摇。这一点,在日本房地产市场近半个世纪的成长历程中已经得到充分验证。

对于还处在成长阶段的中国房地产行业来看,上涨的历程显然远未步入尾声。所以,目前我们所面对的,并不是因需求消失而行将迈向衰落的市场,而是因前期过热而历经理性回归的市场。即使国际、国内的宏观经济原因增长了此次调整的复杂性,调整的时间或许所以而变长,部分城市在短时间内甚至或许显现过分调整,但住房市场的长期前景任然值得期待。伴随住宅企业定价的合理化和真实自住需求的逐渐起步,市场有希望在更为理性健康的道路上展开新一次的成长和成长。

另外,万科公司作为房地产行业的领军企业,有着优秀的企业管理水平和颇具远见的战略选择和品牌价值,市场把控能力强,市场反映快速,具有很大强的竞争力。

所以依据前面的分析,觉得房地产行业仍有发展的空间。确定万科公司的预期阶段为5年。2013年及以后年度为后续期。预计2008、2009年销售上涨率为20%和19%左右,伴随时间的累积,除了具有某种特殊原因的企业,一般企业不具有长期的可连续竞争优势,也受于受当前金融危机的影响,所以,比较保守地预期其销售上涨率,预计2010、2011和2012年的销售上涨率为15%、10%和5%。

此外,依据竞争均衡理论,后续期的销售上涨率大体上等于宏观经济的名义上涨率。假使不考虑通胀原因,宏观经济上涨率大多在2%-6%。绝大部分可以连续生存的企业,其销售上涨率可以按宏观经济上涨率预期n力。如果万科公司的永续上涨率为3%。

(1)“销售成本”、“销售、管理费用”及“折旧与摊销”采取销售百分比法预计有关科目。有关比率已依据2004年到2007年的报告计算得出。伴随销售收入的上涨,销售成本、各类费用等也应该有相应的改变。

销售成本应伴随销售收入的增长而有所增长,顾虑到生产、建设的范围化以及技术熟练程度的提升,不应有较多上涨。销售、管理费用预计在2007年的基础上稍有提高。万科集团2007年年报中表示,截至2007年12月31号,本集团尚有已签合同(首要为建安与土地合同)未付的约定资本项目开支及投资款共计人民币140亿元,需在合同他方履行合同规定的责任与义务同期,若干年内支付。所以,预计将来几年万科公司折旧摊销有所增长。

(2)“运营利润”依据税前运营利润的计算公式:税前运营利润=销售收入-销售成本-销售、管理费用-折旧与摊销2007年,税前运营利润=35,526,611,301.94-20,607,338,964.44-2,958,309,525.49-3,959,857,052.28=8,001,105,759.73(元)税后运营利润=税前运营利润-运营利润所得税=8,001,105,759.73×(1-30%)=5,600,774,031.81(元)所得税税率依照新的会计准则的规定,改为25%,所以将来各年也依照25%的所得税税率估算。

所以,可以得出万科公司预计税后运营利润

万科公司预计税后运营利润表

(3)运营营运资本

一般来看,企业的运营营运资本基本是和企业的销售收入成正比的。而企业持续成熟,显现出来的范围效应,周转率的加速,以及企业相对上游供货商的实力加强而得到许多的应付账款等,全将致使企业的运营营运资本相对于销售额而减小。

所以,我们通过预期的万科集团的销售收入来估算公司运营营运资本的改变。

万科公司预计运营营运资本表

(4)资本开支

最后是对资本开支的预期。运营长期资产的预期同样采取销售百分比法。运营长期负债则依据以前年度报告执行预期,基本与以前年度打平。资本开支的计算公式为:资本开支=净运营长期资产增长+折旧摊销自此可以得出万科公司预计资本开支。

万科公司预计资本开支表

(5)实体现金流量依据以上报告,可以得出预期期以及后续期的实体现金流量。

实体现金流量=税后运营利润+折旧摊销一运营营运资本增长一资本开支万科公司预计实体现金流量如下表所示。

万科公司预计实体现金流量表

年份 2008 2009 2010 2011 2012 2013

税后运营利润 607505 722931 831371 842310 884425 910958

折旧与摊销 490267 583418 670931 770112 808617 832876

运营营运资本增长 -58756 729006 684882 525076 288792 181939

资本开支 500056 664419 747029 828454 840705 853091

实体现金流量 656473 -87076 70391 258892 563545 708804

万科公司2009年的实体现金流量为负,并没有表明公司具有很差的回报水平,2008年三季度数据中表示,数据期内新添项目10个,这些新添项目的建设需要许多的资金,但是会增长将来的现金流量。

二、加权平均资本成本(WACC)估算

加权平均资本成本是计算现值运用的折现率。用来将所有投资人的将来现金流量转换为现值的折现率。企业的运营风险与财务风险越大,投资人要求的报酬率就会越高,折现率就会提升。加权平均资本成本(wACC)为企业不同融资成本的加权平均值。其计算公式如下:

汇外网 - 全球专业的黄金外汇门户导航行情资讯网站公式

加权平均资本成本(WACC)=税后债务成本X债务额占总资本比重+股权资本成本×股票额占总资本比重

(1)资本结构

依据万科企业股份有限公司2007年年报,其长期债务资本为17,400,961,234.85万元,权益资本为33,919,523,029.04万元。长期债务与权益的比为1/2。所以,将来资本结构采取相同比率。

(2)债务筹资成本估算

债务筹资成本是企业在为投资项目融资时所借债务的成本。债务筹资成本与市场的即期率以及企业的违约风险有关。此外,受于利息在税前支付,债务具有税收优势,与企业税率相关。

税后债务成本=税前债务成本X(1-所得税率)受于公司大多为一到三年贷款,所以选择3年期贷款利率5.4%作为债务筹资成本。税后债务成本=5.4%×(1-25%)=4.05%(3)股权资本成本估算。

资本资产定价模型能够比较精准地对风险执行具体定价,用该模型来计算股权筹资成本,其计算公式为:

股权资本成本=无风险利率+贝塔系数×(平均股票的要求收益率一无风险利率)1)无风险利率。

一般以国库券的收益率作为无风险收益率。由于持有国债到期不能兑付的风险很小,可以忽视不计;同期,长期国债波动性较小,我国受于市场化的利率仍未形成,而短时间利率无法反应利率变动风险,长期国债与评估企业的现金流量期限更为统一。所以,选择长期国债利率作为无风险利率为宜。

采取5年期国债利率作为无风险利率,2008年发行的5年期国债利率的算术平均值计算得出为6.27%。

(2)风险价格

平均股票的要求收益率减去无风险利率表明的是投资人为弥补承受胜过无风险收益的平均风险要求的额外收益,即风险价格。在一定期间内,市场风险价格会发生较大波动,较为合理的处理办法是采取一定阶段的平均数,将采取算术平均数。

选取了深证综合指数2003年1月到2008年12月,共72个月的收盘指数,并用这些指数计算市场的月平均收益率。经计算,市场平均月收益率约为0.95%。计算过程如下表所示。

则市场年收益率=(1+0.95%)^12-1=12.01%那么,风险价格为:

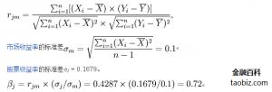
风险价格=平均股票的要求收益率-无风险利率=12.01%-6.27%=5.74%3)贝塔系数(β值)。

13值衡量的是系统风险,它是一个相对数指标,代表企业特有的系统风险相对于市场(或行业)一般系统风险的比率。计算β值是计算普通股成本的核心。依据证券与股票指数收益率的有关系数、股票指数的标准差和股票收益率的标准差计算β值。万科公司股票月平均收益率为0.69%,市场月平均收益率为0.95%。计算过程如下表所示。

B值具体计算过程如下:

股票平均收益与市场平均收益的有关系数

汇外网 - 全球专业的黄金外汇门户导航行情资讯网站股票收益

自此可以计算出万科集团的股权资本成本为:

股权资本成本=6.27%+0.72×5.74%=0.40%

4)加权平均资本成本WACC。

最后,可以计算出万科集团的加权平均资本成本(WACC)为:

WACC=4.05%X(1/3)+10.40%×(2/3)=8.28%

万科公司股票月平均收益率计算表

日期 开盘价 收盘价 Ri 日期 开盘价 收盘价 Ri

2003-01 9.48 10.07 6.22% 2006-01 4.40 4.93 12.05%

2003-02 10.10 10.33 2.28% 2006-02 4.96 5.46 10.08%

2003-03 10.35 11.55 11.59% 2006-03 5.46 6.55 19.96%

2003-04 11.88 12.84 8.08% 2006--04 6.55 6.23 -4.89%

2003-05 12.92 7.13 -44.81% 2006-05 6.28 5.97 -4.94%

2003-06 7.10 5.83 -17.89% 2006-06 5.97 5.65 -5.36%

2003-07 5.90 6.39 8.31% 2006-07 5.80 5.54 -4.48%

2003-08 6.38 6.46 1.25% 2006-08 5.58 6.90 23.66%

2003-09 6.60 5.86 -11.21% 2006-09 6.93 7.57 9.24%

2003-10 5.88 6.00 2.04% 2006-10 7.68 8.19 6.64%

2003-11 5.89 5.9l 0.34% 2006-11 8.20 11.98 46.10%

2003-12 6.01 6.45 7.32% 2006-12 12.06 15.44 28.03%

2004-01 6.50 7.85 20.77% 2007-01 15.70 15.31 -2.48%

2004-02 8.13 8.16 0.37% 2007-02 15.OO 14.74 -1.73%

2004-03 8.15 8.83 8.34% 2007-03 14.77 16.59 12.32%

2004-04 8.99 7.69 -14.46% 2007-04 16.53 18.08 9.38%

2004-05 7.67 5.05 -34.16% 2007-05 18.68 19.41 3.91%

2004-06 5.06 4.86 -3.95% 2007-06 19.55 19.12 -2.20%

2004-07. 5.1l 5.35 4.70% 2007-07 19.00 .28.30 48.95%

2004-08 5.33 4.86 -8.82% 2007-08 28.30 33.80 19.43%

2004-09 5.03 5.42 7.75% 2007-09 33.84 30.20 -10.76%

2004-10 5.42 5.00 -7.75% 2007-10 30.98 38.93 25.66%

2004-11 5.01 5.12 2.20% 2007-1l 39.00 31.55 -19.10%

2004-12 5.12 5.25 2.54% 2007-12 31.48 28.84 -8.39%

2005-01 5.22 5.68 8.81% 2008-01 29.02 26.05 -10.23%

2005-02 5.70 5。70 0.00% 2008-02 26.18 23.25 -11.19%

2005-03 5.70 5.52 -3.16% 2008-03 23.11 25.60 10.77%

2005-04 5.53 5.90 6.69% 2008-04 25.58 24.37 -4.73%

2005-05 5.90 4.65 -21.19% 2008-05 24.60 19.75 -19.72%

2005-06 4.65 3.14 -32.47% 2008-06 19.5l 9.01 -53.82%

2005-07 3.23 3.84 18.89% 2008-07 8.22 8.50 3.41%

2005-08 3.88 3.66 -5.67% 2008-08 8.46 7.08 -16.31%

2005-09 3.65 3.59 -1.64% 2008-09 6.99 6.53 -6.58%

2005-10 3.86 3.84 -0.52% 2008-10 6.03 5.88 -2.49%

2005-11 3.84 3.95 2.86% 2008-11 5.82 6.82 17.18%

2005-12 3.80 4.3l 13.42% 2008-12 6.82 6.50 -4.69%

市场月平均收益率计算表

日期 月初开盘 月底收盘 Rm 日期 月初开盘 月底收盘 Rm

2003-01 2743.21 3051.21 O.1035 2006-01 2873.53 3242.35 O.1008

2003-02 3048.80 3057.24 0.0112 2006-02 3249.81 3351.64 0.0246

2003-03 3058.27 3101.85 O.0171 2006-03 3355.56 3516.40 0.0257

2003-04 3105.28 3260.75 0.0127 2006-04 3524.16 3848.11 0.0929

2003-05 3264.93 3503.69 0.0531 2006-05 3872.80 4292.10 O.1734

2003-06 3502.68 3224.80 0.0776 2006-06 4272.35 4301.66 0.0388

2003-07 3223.06 3318.41 -O.0147 2006-07 4302.20 3946.90 .0.0645

2003-08 3319.22 3192.36 0.0237 2006-08 3941.49 4178.84 0.0399

2003-09 3194.26 3054.89 -0.0439 2006-09 4183.53 4326.78 0.0405

2003-10 3056.17 3167.33 -0.0260 2006-10 4366.27 4621.98 0.0094

2003-11 3161.52 3267.93 0.0185 2006-1l 4630.35 5667.00 O.1098

2003-12 3274.83 3479.79 O.0185 2006-12 5692.46 6647.14 0.1071

2004-01 3473.35 3716.87 0.0707 2007-01 6730.12 7632.94 0.1806

2004-02 3803.68 3919.92 0.0736 2007-02 7513.44 8039.70 0.1379

2004-03 3925.77 4060.14 0.0358 2007-03 8075.34 8549.20 O.1152

2004-04 4067.50 3613.17 -O.1122 2007-04 8575.77 10865.88 0.2853

2004-05 3626.31 3577.65 0.0185 2007-05 11100.60 12944.23 0.0941

2004-06 3582。47 3275.85 -O.1154 2007-06 12954.76 12546.45 -0.0922

2004-07 +3274.49 3283.37 -0.0064 2007-07 12492.71 15199.56 0.2054

2004-08 3277.37 3175.79 -0.0500 2007-08 15259.35 17872.1l 0.1252

2004-09 3176.75 3453.91 0.0659 2007-09 17988.33 18864.55 0.0421

2004-10 3466.09 3216.35 -0.0582 2007-10 19287.60 19531.16 -0.0635

2004-11 3198.24 3226.01 0.0255 2007-11 19554.58 15637.66 -0.1561

2004-12 3227.69 3067.57 -0.0770 2007-12 15580.23 17700.62 0.1734

2005-01 3051.23 3045.48 0.0534 2008-0l 17731.84 15857.71 .0.0959

2005-02 3045.11 3376.32 O.1076 2008-02 15837.87 15823.88 0.0495

2005-03 3373.67 3170.35 -0.0952 2008-03 15722.32 13302.14 -0.1971

2005-04 3168.78 3156.67 -0.0437 2008-04 13274.73 13504.89 0.0034

2005-05 3159.35 2801.66 0.0770 2008-05 13673.58 12048.20 -0.0652

2005-06 2801.11 2760.23 -0.0051 2008-06 11999.94 9370.80 -0.2326

2005-07 2749.92 2887.57 -0.0198 2008-07 9397.31 9470.30 0.0418

2005-08 2886.74 2950.43 0.0974 2008-08 9420.72 8004.20 -0.1987

2005-09 2957.54 2903.11 0.0092 2008-09 7954.00 7559.30 -0.0627

2005-10 2902.21 2662.29 -0.058l 2008-10 7406.02 5839.30 -0.2200

2005-11 2667.55 2676.85 0.0038 2008-11 5794.16 6658.50 O.1523

2005-12 2675.23 2863.61 0.0452 2008-12 6634.59 6485.50 0.0297

现金流折现法估算万科集团企业价值。

加权平均资本成本为8.28%的1到5年的复利现值折现系数如下表所示:

复利现值折现系数表

年份 2008 2009 2010 2011 2012

折现系数 0.9235 0.8529 0.777 0.7275 0.6718

首先,估算万科集团从2013年开始的后续期现值。可以采取下方公式计算:

A——实体价值。

B——实体现金流量。

C——加权平均资本成本。

F——现金流量。

D——永续上涨率。

后续期终值=2013年F/(C-D)

=708,804/(8.28%--3%)=13,424,318。18(万元)

后续期现值=13,424,318.18×0.6718=9,018,456.96(万元)

然后,依据以上计算出的预期期现金流量得出预期期的现值

E=\sumF\timesG=656,473\times0.9235+(-87,076)\times0.8529+70,391\times0.7877+258,892\times0.7275+563,545\times0.6718=1,154,365.97(万元)。

E——预期期现值。

G——折现系数。

以上的参数确定了之后,就可以对企业价值执行评估,企业价值=1,154,365.97+9,018,456.96=10,172,823(万元)现金流量折现法评估的万科企业股份有限公司的企业价值为10,172,823万元。接着运用市场法评估该公司的企业价值。

三、相对价值法估算万科企业股份有限公司企业价值

1.可比企业的选择

运用相对价值法对万科企业股份有限公司执行评估,首先需要处理可比公司的困难。首要从房地产企业中选择。2008年评选的蓝筹地产企业正好可以作为选择的根据。

2008年蓝筹地产企业由经济观察报、正略均策机构、国务院发展研究中心、中国社科院等共同参与评选得出。其评选的指标体系如下:

(1)蓝筹地产的界定绩优、平稳、范围共同构成了蓝筹地产的概念。绩优首要体当下企业有较高李妍企业价值评估应用研究——基于万科企业股份有限公司35的盈利能力;平稳显示企业波动性小,连续上涨能力强,业绩平稳;范围表明企业范围大,市场占有率高。

(2)系统评价参选企业综合实力,财务报告与运营管理基本分析相结合蓝筹地产评选中系统地对房地产企业综合实力执行了全面评价,具体涉及到房地产企业的主营收入、总资产、净利润、上涨率等多项运营、财务方面的有关指标。

但是蓝筹地产又不是简单地通过财务报告对房地产企业执行排名次,而是通过综合的评价体现出社将对企业价值的认可,所以在评价指标体系上更为全面,还增长了社会责任、企业风险等多项指标,愈加系统的体现出企业综合实力。

(3)动态研究企业发展趋势,平稳与上涨潜力相结合目前国内房地产行业处在迅速的成长阶段,还要顾虑到企业在将来市场发展中的动力,所以在指标中既有资产负债率、持有物业比率等抗风险指标,同期也有收入上涨率、土地储备面积等发展潜力指标。

蓝筹地产的评选既考虑了各房地产企业的财务指标,又综合了企业的成长潜力等非财务原因,与可比企业的选择标准比较靠近,所以,选择2008年评选的蓝筹地产企业中的一部分上市公司作为可比企业。

2.行业内类似企业市盈率

采取市盈率模型评估万科企业股份有限公司企业价值。

从2008年评选的中国蓝筹地产企业中选出9家作为可比公司。市盈率指标为2009年3月中旬数值,通过谷歌财经得到。

可比公司市盈率

公司名称 市盈率 均值

保利地产 22.41

招商地产 22.03

华润置地 21.47

金地集团 15.64

首创置业 4.30

远洋地产 12.28

碧桂园 6.80

沿海家园 1.74

中海地产 16.63 13.7

9家公司的市盈率算术平均值为13.7,作为评估的根据。

3.股价平均法估算

2008年9月30号年报发布的前三季度净利润比2007年同期上涨26%,但是顾虑到2008年特殊的市场环境,以及2007年亢奋的上涨,保守预期2008年净利润靠近2007年,为500,000万元。依据公式计算万科企业价值。

权益价值=2008年净利润×平均市盈率=500,000×13.7=6,850,000(万元)

企业价值=权益价值/(2/3)=6,850,000/(2/3)=10,275,000(万元)

资本结构中,权益价值所占比例为2/3。运用市盈率模型评估万科股份有限公司的企业价值为10,275,000万元。

四、敏感性分析调整评估结果

运用市盈率法评估万科集团企业价值较为粗略,仅作为参照。现金流量折现法评估的万科企业价值为10,172,823万元,与市盈率法评估的10,275,000万元相差不多,表明评估结果比较合理,在误差规模之内。最后,运用敏感分析,对现金流量折现法评估过程执行稍微调整,以求得到愈加精确的评估结果。

受于销售收入是现金流量法预期的核心原因,所以首要对该原因作出调整。结合相对价值法的评估结论,运用Excel电子表格多次调整核心原因,在有关规模内得到最优值。经调整后,该公司实体现金流量如下表所示。

调整后万科公司实体现金流量表

年份 2008 2009 2010 2011 2012 2013

税后运营利润 607505 722931 838600 849634 892116 918879

折旧与摊销 490267 583418 670931 770112 808617 832876

运营营运资本增长 -58756 729006 730541 529642 291303 183521

资本开支 500056 664419 752102 828961 840984 853267

实体现金流量 656473 -87076 26888 261143 568446 714967

调整后的企业价值为:714,%7/(8.28%-3%)×0.6718+1,125,028.76=10,221,901(万元)

所以,评估的万科企业股份有限公司的企业价值最结束果为10,221,901万元。相对于只用现金流折现法单一的方法评估企业价值来看,经调整后的评估思路计算出的评估值更具有说服力。从上述两种方法的评估过程来说,现金流折现评估方法许多的是从企业自身出发,在预期企业的上涨率和贴现率的时机,包含了行业的成长情形。而相对价值法许多地是从行业出发,利用行业平均市盈率来表现企业价值,过多地忽视了企业与行业中其余企业的差异。这两种定量分析模型都具有适当的客观性和科学性,但也是建立在一部分如果的基础之上,合理的误差是不可避免的。

执行企业价值评估,并没有是为了得到一个计算的数值,更重要的是通过评估,帮助投资人和管理层作出决策,实施以价值为基础的管理。

从根本上决定企业价值的是运营活动创造的现金流量,而现金流量的多少又取决于投资决策的质量。所以,投资决策是根本意义上的、第一名的财务决策,企业管理者应寻求适合企业长远发展,利于促进企业价值提高的项目。筹资决策、营运资本政策等是次生的、依附于投资决策的财务决策,应依据企业的投资决策作出选择,形成一套适合企业本身的财务体系。

标签:

随机快审展示
加入快审,优先展示

加入VIP