现金流量贴现法(Discounted Cash Flow Method)
现金流量贴现法
现金流量贴现法就是把企业将来特定阶段内的预期现金流量还原为目前现值。受于企业价值的真髓依旧它将来盈利的能力,只有当企业具备该种能力,它的价值才会被市场认同,所以理论界一般把现金流量贴现法作为企业价值评估的首选方法,在评估实践中也得到了大批的应用,而且已经日趋完善和成熟。
现金流量贴现法的基本公式
DCF
n一资产(企业)的寿命;
CFt一资产 (企业)在t时刻造成的现金流;
r一反应预期现金流的折现率
从上述计算公式我们可以看出该方法有两个基本的输入变量:现金流和折现率。所以在运用该方法前首先要对现金流作出合理的预期。在评估中要全面考虑影响企业将来获利能力的各种原因,客观、公正地对企业将来现金流作出合理预期。其次是选择合适的折现率。折现率的选择首要是依据评估人士对企业将来风险的分析。受于企业运营的未知性是客观存在的,所以对企业将来收益风险的分析举足轻重,当企业将来收益的风险较高时,折现率也应较高,当将来收益的风险较低时,折现率也应较低。
现金流量贴现法的优缺点
现金流量贴现法作为评估企业内在价值的科学方法更适合并购评估的特点,很好的体现了企业价值的本质;与前两种企业价值评估方法对比,现金流量贴现法最符合价值理论,能通过各种如果,反应企业管理层的管理水平和经验。但即使这样,现金流量贴现法仍存在一部分不足:首先从折现率的角度看,该种方法不能反应企业灵活性所导致的收益,这个缺陷也决定了它不能适用于企业的战略领域;其次该种方法没有考虑企业项目之间的相互依靠性,也没有顾虑到企业投资项目之间的时间依靠性;第三,运用该种方法,结果的正确性完全取决于所运用的如果条件的正确性,在应用是切不可脱离事实。而且假使遇到企业将来现金流量很不平稳、亏损企业等情形,现金流量贴现法就无能为力了。
现金流量贴现法的应用
现金流量贴现法在网络企业价值评估中的应用不管一个公司生产什么样的产品,供应什么样的服务,对投资人来看,最终只生产一种产品———现金。投资人之所以持有该公司的证券,是期望这些证券将来为他们造成自由现金流。
所以,评价网络企业最佳的方式依旧应当回到如此一个最基本的经济原因上来,完全以绩效预期为根据,采取贴现现金流量(DCF)分析方法。
受于贴现现金流量的基础———依据企业将来的风险贴现企业将来的现金流———在全球多地均为一样的,本文将首要探讨如何将网络企业特有的风险原因包含到评估模型中来,如技术风险、通胀率、国家相关政策的变动、资本控制、经济不平稳等等。此前,可以采取两个技巧:
a.从将来的某个特定时间开始预期,并回溯到当前的绩效情形;
b.采取传统的分析技巧,了解公司的潜在经济效益,预期它们将来的绩效。
在现金流量贴现法中,有两种方法可以把网络企业特有的额外风险考虑进去:反应在对将来现金流量的预期过程中,即包含在DCF公式的分子上;以更多的风险溢价加到贴现率中,即包含在DCF公式的分母里。本文觉得,利用几率加权的情景分析(将风险反应到现金流量的预期中)将令为企业的价值评估供应更为坚实的理论基础和愈加透彻的理解,这首要是由于下方三个原因:
a.投资人可以事先分散网络行业特有的风险,如技术风险、行业政策风险等,即使这些风险不或许彻底分散。经典的资本资产定价模型(CAPM)清晰表示,贴现率和资本成本只应反应不可分散风险,那么可分散的风险通过现金流量来反应就愈加科学,而通过将风险溢价加到贴现率中的做法就有待商榷。
b.即便在与一个国家同一个行业里,各种风险对不同企业的影响不同。假使采取调整贴现率的方法,将行业风险溢价并入到贴现率中,就代表着对所有的企业采取同样的风险溢价水平,会高估或低估企业价值。
c.网络这一新兴行业中的竞争规则正在发生重大的改变,技术/运转标准之间的竞争将许多地体当下“企业网”之间的竞争。在不久的将来,网络行业之间的竞争将许多反应在结构上的竞争、总的价值之间的竞争。“企业网”可以造成一个公司,也可以毁灭一个公司,即使它并不是垄断,但和垄断一样威力强大。在不久的将来,可以预料网络行业将被企业网重塑,这些企业网将相互对抗,并无情地蚕食或吞并对方。该种风险通过加权情景分析,将更好地体现网络企业的竞争规则,并将网络企业或许面对的风险清楚地勾勒出来,而这是简单地运用一个综合各种风险的“风险溢价”参数所无法比拟的。
现金流量贴现法范例
为使大家对现金流量贴现法有更具体的了解,我们如果了一个例子以供参考:
第一部份是计算经折算为现值的公司将来五年现金流,首先我们将公司每年的现金流折算为现值,即第一年的现金流为¥11.6,经折算后则为¥10.4 (¥11.6 X 0.89),第二年的折算后现金流则为 ¥10.7 (¥13.5 X 0.80),并将其余的三年现金流折算起来,然之后再将这些现值加起来,便得出 ¥56 (¥10.4+¥10.7+¥11.1+¥11.5+¥11.9),这就是公司将来五年经折算后的现金流价值。
第二部份则是集中计算经折算为现金值的公司将来五年后的余下价值。首先我们如果公司经历五年达16%的高速上涨,现金流的上涨程度会由16%向下调整至每年7%,所以公司将来的第六年现金流则为 ¥26.1 (¥24.4 X 1.07),而如果公司其后的现金流维持每年以7%稳健上升,并同期假定我们所要求的回报为每年12%(贴现率),公司余下价值则可以凭此推算为¥521.4 (¥26.1/(12%-7%)),然后我们再将公司五年后的将来余值折算为现值(Present value),即 ¥295 (¥521.4 X 0.57),便可估算出经折算为现金值的公司将来五年后的余下价值。最后,我们将第一及第二部份计算到的现值加起来,便可得出公司的内在价值为¥351 (¥55.6 + ¥295.9),而投资人便可依据此数字,再除以公司已发行的股票数量,便可得出每股的内在价值。若每股内在价值较市价为高,则投资人可以考虑买入,反之则给予沽售。

第一部分:预期前5年的现金流 (Project 5 years Cash flows)
1. 上年度公司现金流 (Prior year cash flow): 公司上年度现金流的数字
2. 上涨率 (Growth rate): 与公司往年盈利对比的盈利上涨率
3. 现金流量 (Cash flow): 于公司将所有盈利分发的情形下,股东所得的现金流 = 现金流(n-1) X (1+0.16), n = 1,2, …, 5
4. 折现参数 (Discount factor): 将将来价值化为现值的数值 = 1/(1+0.12)^n, n = 1, 2, …, 5
5. 现值 (Present value): 将将来的价值贴现为第一年时的价值,将将来现金流乘以贴现参数所得出的数值 = (3) X (4)
6. 贴现现金流总和
第二部分
余下价值(Terminal Value/Residual Value): 余下价值是通过恒定上涨模型计算得出的,即如果公司从第五年开始以每年5%的进展恒定上涨。
7. 第五年的现金流 (Cash flow in year 5): 在公司将所有盈利分发的情形下,股东于第五年所得的现金流
8. 上涨率 (Growth rate): 公司于第5年后的上涨率.
9. 第六年的现金流 (Cash flow in year 6): 在公司将所有盈利分发的情形下,股东于第六年所得的现金流
10. 要求回报率減上涨率 (Required rate of return minus growth rate): 要求回报率亦作资本成本。以要求回报率与上涨率之差作为贴现率将永恒的余下价值转换为于第6年时的价值五年后的价值 (Terminal Value)
11. 五年后的价值 (Terminal Value) :公司五年后的价值
12. 五年后的贴现参数 (Discount factor as of year 5) : 将公司第五年的价值转化为第一年的现值 = (9)/(10)
13. 贴现公司余值:经折算为第一年价值的公司余值
公司的内在价值:前5年贴现现金流总和与贴现公司余值之和,其反映公司的当下全部价值
DCF模型
现金流折现模型(英语: Discounted Cashflow Model),简称DCF模型,是公司财务和投资学领域应用最大量的定价模型之一,在学术和实践领域都发挥着重大的作用。
现金流折现模型的公式可以表述如下:
P0 = (E0CF1)/(1 + r) + (E0CF2)/(1 + r) + ... (保持到无限期) 其中P0代表某一企业、资产或工程的现值(目前价值),E0CFn代表目前预期的将来第n期造成的自由现金流,r代表自由现金流的折现率,即资本成本。这一模型的涵义是:一项投资或一个企业的目前价值,等于其将来所造成的现金流的现值之和。 现金流折现模型的计算方法很简单,但现实运用中涉及很多困难。
首先,预期将来无限期的自由现金流是不或许完成的任务,即便只预期将来几期的现金流,其牢靠性也非常可疑。
其次,预期的对象是现金流而非会计利润,现金流的改变或许比利润的改变更难预期。
第三,现金流的折现率即资本成本非常很难预期,尽管一般采取资本资产定价模型或套利定价模型执行模拟,但不一定适合一切性质的企业。现金流折现模型的结果对资本成本相当敏感,从公式即可看出,分母一个百分点的改变,或许致使结果的强烈改变。
由于现金流折现模型的诸多局限性,金融界专业人员往往用乘数定价模型、资产重置成本定价模型、余下收益模型、异常收益上涨模型等对其执行补充。股息折现模型可以看为现金流折现模型的一种特殊形式。贴现现金流量法(拉巴波特模型,Rappaport Model,DCF法)
什么是贴现现金流量法
贴现现金流量法是由美国西北大学阿尔弗雷德·拉巴波特于1986年提出,也被称作拉巴波特模型(Rappaport Model),是用贴现现金流量方法确定最高可接受的并购价值的方法,,这就需要预期由并购引起的期望的增量现金流量和贴现率(或资本成本),即企业执行新投资,市场所要求的最低的可接受的报酬率。
该模型所用的现金流量是指自由现金流量(Free Cash Flow,简写FCF)即扣除税收、必要的资本性开支和营运资本增长后,能够支付给所有的清偿者的现金流量。 用贴现现金流量法评估目标企业价值的总的思路是:预期兼并后增长的现金流量和用于计算这些现金流量现值的折现率,然后计算出这些增长的现金流量的现值,这就是兼并方所愿意支付的最高价格。假使事实成交价格好于这个价格,则不但不会给兼并企业导致好处,反而会引起亏损。运用贴现现金流量法的步骤
运用贴现现金流量法需经历三个步骤:
第一步,建立自由现金流量预期模型。 拉巴波特觉得有五种价值动因影响目标企业的价值,即销售上涨率、经济利润边际、新添固定资产投资、新添营运资本、边际税率等。他把这五种原因运用在自由现金流量模型中,公式表述为:FCF=S[,t-1](1+g[,t])·P[,t](1-T)-(S[,t]-S[,t -1])·(F[,t]+W[,t])。 其中:FCF——自由现金流量;S[,t]——年销售额;g[,t]——销售额年上涨率;P [,t]——销售利润率;T——所得税率;F[,t]——销售额每增长1元所需追加的固定资本投资;W[,t]——销售每增长1元所需追加的营运资本投资;t——预期期内某一年度。 第二步,预期折现率或加权平均资本成本。 折现率是考虑了投资风险后,兼并方要求的最低收益率,也就是该项投资的资本成本。这里所指的资本成本不是并购方企业本身的加权资本成本,而是并购方投资于目标企业的资本的边际成本。受于并购方用于并购的资金来源是复杂的,或许来自留存收益、增发新股,也或许是举债融资,这就需要对各种各样的长期资本成本要素执行预期,并计算加权平均资本成本。其中,自有资金的成本可用资本资产定价模式求得,而债务成本则可用债务利息经税务调整后的有效资本成本得到。最后,该项投资的资本成本就是这二者的加权平均,也就是平均资本成本(K),即:K=Ks(S/V)+Kb(1-T)(B/V)。其中:Ks——股东对本轮投资要求的收益率;Kb——利率;S——自有资金数量;B——对外举债;V——市场总价值;T——企业的边际税率。 第三步,利用贴现现金流量模型,计算现金流量的现值。 V=∑(FCF/(1+K)[t])+(F/(1+K)[t]) 其中,FCF——自由现金流量;K——折现率或加权平均资本成本;F——预期转让价格;V——企业价值。贴现现金流量法的作用与局限性
贴现现金流量法以现金流量预期为基础,充分考虑了目标公司将来创造现金流量能力对其价值的影响,在日益崇尚"现金至尊"的现代理财环境中,对企业并购决策具有现实的指导意义。但是,这一方法的运用对决策条件与能力的要求较高,且易受预期人士主观意识(乐观或悲观)的影响。所以,合理预期将来现金流量以及选择贴现率(加权平均资本成本)的问题与未知性或许影响贴现现金流量法的精准性。
什么是现金流量折现法
现金流量折现法:是对企业将来的现金流量及其风险执行预期,然后选择合理的贴现率,将将来的现金流量折合成现值。运用此法的核心确定:第一,预期企业将来存续期各年度的现金流量;第二,要寻到一个合理的公允的折现率,折现率的大小取决于获得的将来现金流量的风险,风险越大,要求的折现率就越高;反之亦反之。
在事实操作中现金流量首要运用实体现金流量和股权现金流量。实体现金流量是指企业全部投资者拥有的现金流量总和。实体现金流量一般用加权平均资本成本来折现。
股权现金流量是指实体现金流量扣除与债务相联系的现金流量。股权现金流量一般用权益资本成本来折现,而权益资本成本可以通过资本资产定价模式来求得。现金流量折现法运用前提
现金流量折现法是建立在完全市场基础之上的,它应用的前提条件是,企业的运营是有规律的、而且是值得预期的,包含:
(1)资本市场是有效率的,资产的单价反应资产的价值。企业能够依照资本市场的利率,筹集充足数量的资金资本市场可以依照股东所承受的市场系统风险供应资金报酬。
(2)企业所面对的运营环境是平稳的,只要民众依照科学程序执行预期,得出的结论会靠近企业的事实,即科学的预期模型可以有效防止运营环境的不确定原因,进而使预期变得愈加科学。
(3)企业的运营是不可逆的,企业投资、融资决策具有不可更改性,一旦作出决策,做便无法更改。同期企业满足连续运营如果,没有特殊情形,企业将无限期地运营下去。
(4)投资人的预期是无偏差的,投资人往往均为理性的投资人,可以利用一切可以得到的企业信息执行投资决策,对于同一企业,不同的投资人得出的结论往往是相同的。
现金流量折现法的局限性
受于当前的现金流量折现方法存在种种如果前提,而现实的资本市场和投资人素质往往无法高达其要求的条件,所以在利用现金流量折现方法执行评估时会显现各种困难,首要表当下:
(1)没有反应现金流量的动态改变受于企业的现金流量时刻处干改变当中,而且现金流量是时间、销售收入等参数的改变函数,必然致使依靠于现金流量的企业价值也处在动态改变当中。但是在前面的评估模型中,忽略了现金流量的动态改变,单单依靠线性关系来确定现金流量,使评估结果许多地显现为静态结论。
(2)不能反应企业财务杠杆的动态改变受于企业在运营中会依据环境的改变而更改企业的举债数额和负债比率,引起财务杠杆的波动,进而使企业的风险发生波动。一般情形下,该种风险的改变要在现金流量或者折现率中得到反应。但是当前的评估模型导致从静止的看法执行价值评估,忽略了该种财务杠杆和财务风险的改变。
(3)现金流量的预期困难
当前的现金流量预期是将现金流量与销售收人和净利润的上涨联系起来,尽管从名义上看两者具有有关性,但是在事实中,净利润与现金流量是有关的,这其中首要是企业对会计政策的调整以及避税等手段的运用,显现净利润、销售收人与现金流量不配比的现象。现金流量的波动与企业的运营活动、战略投资计划和筹资活动中,影响现金流量的是付现销售收入和付现销售成本,所以,在具体预期现金流量时,应当以付现的收人和成本为基础,而不应当以销售收入为基础。
(4)折现率的确定困难
当前的评估方法,对折现率的选取一般是在企业资金成本的基础上,考虑财务风险原因选取的。在具体评估企业价值时,一般会以静止的方法确定折算率,以当前资本结构下的折现率执行企业价值评估,即折现率是固定的。但是在事实中,受于企业运营活动发生改变,企业的资本结构必然处干改变当中,致使企业风险显现改变,从而影响到资本结构中各类资金来源的权重,致使折现率的波动,进而引起企业价值评估结果显现改变。
为了克服上述缺陷,必然要对现有的现金流量折现评估模型执行分析、改进。对现金流量的预期要考虑其动态波动性,要分析财务风险改变对企业价值评估的影响,受于预期报告直接影响评估结果能否客观和精准,影响到评估价值的高低,所以务必慎重。
现金流量折现法下的企业估价分析
企业估值就是对连续运营中的企业的经济价值执行的计量,其目的是帮助投资人和管理当局策划和改观决策。企业估值是现代金融学的重要构成部分,从20世纪80年代以来,伴随经济金融化的持续发展和深入,企业价值理论已形成西方企业管理的核心内容。对企业执行估值是企业一切金融政策的前提和根据,对于企业管理者来说,在执行投资与融资决策以前,要对企业价值执行评估,接纳可使企业价值高达最大化的财务决策,对于投资人来说,作出能否投资于某企业的根据是对该企业的估值。Pabfo(2001)把企业估值的用途归纳为下方方面:确定企业第一次发行(IPO)的单价;设计算值创造基础上的激励项目;确定首要的价值创造来源;为企业连续运营中的并购举动供应决策参考,帮助策划阶段性计划;用于企业的买卖动作,并为行业整合供应价值基础;对上市公司估值,以确定能否持有股票,寻求被市场低估的企业执行套利投资。本文首要介绍现金流量折现法在企业估值中的应用。
一、现金流量折现模型
价值
DCF
其中:n为资产的年限;
CFt为t年的现金流量;
r为包含了预计现金流量风险的折现率。
公司价值一词有两个涵义:一是公司的股权价值,即对公司普通股股东来说公司的价值;二是包含普通股、优先股、债权等公司的整体价值,即对公司普通股股东、优先股股东和债权人这些公司的利益有关者来说的公司价值。公司价值的涵义不同致使模型中的折现率和现金流也不同。
一是企业估价模型。企业价值是通过对企业的预计现金流以加权资本成本执行折现来计算的。企业预计的现金流是满足了所有经营费用和税收、资本开支,但在债务支付以前的余下现金流。它将用于满足所有投资人分配的需要,包含支付债券人利息和本金,支付给股东股利及股票回购等。

SCF:为股权现金流量
CEP:为权益资本成本
以上两个模型在运用中应特别注意现金流和折现率的匹配运用,假使股权现金流以加权平均资本成本折现将致使对股权价值的高估(由于债务成本差于权益成本,所以加权成本差于权益成本),而假使以股权成本对公司现金流执行折现将致使对公司价值的低估偏差。
二、折现率
在预期将来现金流的时机往往依据企业预算的财务报表执行计算,而预算报表是以销售预算为起点的,依据前几年的销售情形来确定将来的销售上涨率。顾虑到加权资本成本,本文从股权成本、债权成本、资本结构三个方面来估算折现率。
(1)股权成本。股权成本是投资人向一个公司投资所要求的回报率,股利上涨模型、风险和回报模型是预期股权成本的两种方法,如资本资产定价模型。
Ri = Rf + β(Rm − Rf)
Rf为无风险报酬率,一般选择国库券或国内一年期央票利率;Rm为平均风险股票必要报酬率;β为股票的beta值;β表明该股票相对于市场风险溢价的倍数。该模型的核心是β的确定。预期β的过程是依据历史资恐会股票回报(ri)对市场回报(rm)做回归,求出β。以历史报告来预期投资人对该股票风险的厌恶程度即β值时,需要如果投资人长期以来以系统风险的方式维持风险的厌恶程度没有变,股票指数(风险组合)的风险性在测算期恐会来没有更改。此外,还应当对β值执行分解,β值是企业胜过市场风险的倍数,β越大表明投资人觉得企业的风险也越高。从运营风险向上瞧,假使一个公司的成本结构中固定成本的比率越高,其运营风险越高,该公司的β就越高;从财务风险看,公司采取的负债越多,公司的财务风险也就越大,公司的β值也越高。通过分析来调整β,使其更靠近真实值。依据获得的β值,预期将来的每期或长期的无风险报酬率和市场报酬率,带入资本资产定价模型,即可求出每期或长期的股权成本。
(2)加权平均资本成本。
加权平均资本成本=负债额占总资本的比重×税前债务资本成本×(1-所得税税率)+股票额占总资本比重×股权成本
税前债务资本成本取决于将来债务的利率、税率、发行溢价,假使没有更深一步的报告,债务成本经常以当前的负债情形来执行计算。
三、将来现金流量的预期
企业现金流量是指一定期间内造成的潜在地可供股东和债权人分配的现金流量,其中包含可以支付给投资人的现金股利或股票回购现金;可以支付给债权人的利息或本金。现金流量是企业在满足运营生产需要支付了各种税费(不包含支付利息和本金),运营资产投入,资本投资后余下的现金流量,可以供股东和债权人运用,但是这并没有代表着这些自由现金流量会在满足债权人需要后,就能够以股利的形式发放给股东,为了满足不时之需,多数公司事实支付的股利金额都差于他们能够支付的金额,管理层倾向于持有流动储备以便于灵活管理。企业现金流量是债权人仍未分配的现金,所以在计算中不应扣减利息费用,所以选择息税后利润;权责发生制下收入费用的计量与事实收付现金在时间上的不统一,产生息税后利润中扣减了没有实付的费用,如折旧与摊销,在计算现金流量时应将这些不需支付的费用加回,同期企业以往的应收应付款、为了扩大生产量力而执行的资本开支并没有在利润中反应,所以自由现金流的计算应考虑营运资本增长和资本开支的影响。
企业现金流量=息前税后利润+折旧与摊销-营运资本增长-资本开支
股权现金流是指在一定期间内造成的潜在的可供股东分配的现金流量,其金额等于企业自由现金流量减去债权人自由现金流量,即企业自由现金流量在债权人执行分配后的余额。严格意义向上瞧,对于公众公司的股权投资的投资人所能得到的唯一现金流是这一股票将支付的股利。但实际上的股利是由公司的经理层决定的,比可以支付的股利要低的多,当实际上的股利比可以支付的股利少时,运用股利作为变量将低估公司股权的真实价值。
股权现金流=息前税后利润+折旧与摊销-营运资本增长-资本开支-债务人现金流
债权人现金流=利息开支+偿还债务本金-新借债务

SCF:为股权现金流量
CEP:为权益资本成本
CEC:股权资本成本
PGR:永续上涨率
评估企业平稳期前的年份,即公式中的n,需要依据行业发展趋势、世界经济背景以及公司竞争优势来做出分析。70年代后期,民众对基于现金流量折现法的企业估值思想的批评逐渐增多,觉得这一方法在很多情形下会致使对企业价值的低估,忽略了管理者依据环境改变调整项目的弹性,当环境改变时取消项目或扩张项目的情形没有给予考虑。在现实情形下,管理者可以依据具体的市场环境做出灵活决策,而现金流量不能反应该种灵活性的价值,在高度未知性的环境下不能对企业执行正确的估值。所以,很多学者提出用期权方法对企业执行估值,尤其是对于高度未知性的企业和项目,如研究开发项目、创业企业、高科技企业等,这一方法也为我们从另一角度来探讨企业估值给予了有益的思路。
现金流量折现法在企业中的运用
所谓价值评估,指买卖双方对标的作出的价值分析。在企业并购活动中,对目标企业的估价是决定交易能否成交的价值基础。目标企业估价首要取决于并购企业对其将来收益的大小和时间的预期。其本质上是一种主观分析,但并没有是值得随意估价,而是有适当的科学方法可根据的。企业一般可以运用多种方法对目标企业估值。现金流量折现法是一种理论性较强的方法,它是以现金流量预期为基础,充分考虑了目标企业将来创造现金流量能力对其价值的影响,在崇尚“现金至尊”的现代理财环境中,对企业并购决策具有现实的指导意义。现金流量折现法中,沃斯顿(weston)模型估价法是最具代表性的一种估价方法,当前在欧元兑美元国家企业并购活动中已得到普遍采取。
用现金流量法折现评估目标企业价值,同一般资本预算分析类似:预期兼并后增长的现金流量和用于计算这些现金流量现值的折现率,然后计算出这些增长的现金流量的现值,这就是兼并方所能支付的最高价格。假使事实成交价格好于这个价格,兼并没有但没有给兼并企业导致好处,反而引起亏损。
一、现金净流量
NCF=X(1-T)-I
其中:NCF——现金净流量;
X——运营净收入(NOI)或税前息前盈余(EBIT);
T——所得税率;
I——投资。
二、折现率
在现金流量折现模型中,折现率是考虑投资风险后,兼并方要求的最低收益率,也就是该项投资的资本成本。但这里的资本成本是兼并企业投资于目标企业的资本的边际成本,并非是兼并方企业资本的成本。兼并目标企业所用的资本,一部分来自兼并企业和被兼并企业的自有资本,另一部分则是兼并企业和被兼并企业向外界举债。自有资金的成本可用资本资产定价模式(CAPM)求得,而债务成本则可用债务利息经税务调整后的有效利率得到。最后,该项投资的资本成本就是这2 者的加权平均,也就是平均资本成本(WACC),即:
WACC = K = Ks(S / V) + Kb(1 − T)(B / V)
其中:B——企业向外举债;
S——企业动用自有资金数量;
V——企业的市场总价值;
Ks——企业股东对本轮投资要求的收益率;
Kb——债务的利率;
T——兼并后企业的边际税率。
三、目标企业的价值评估——沃斯顿模型(Weston)
目标企业的价值一般可用将来收益的现值表明,其计算公式为:
DCF
其中:FV——目标企业在第n期末的价值;
Vo——企业价值;
NCFt——第t年的现金净流量;
K——资本边际成本;
n——年数,即投资期限。
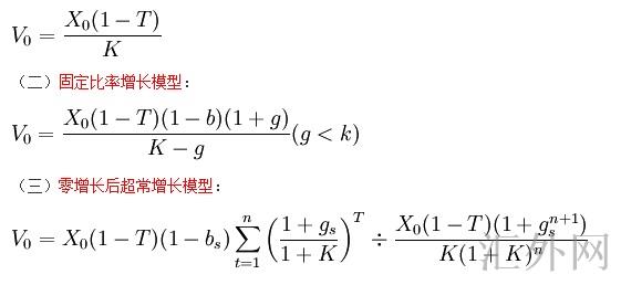
在现实生活中,差不多每个企业全将伴随其生命周期的起伏而历经不同的成长阶段:企业早期的成长率好于整个经济体系成长率;企业中期的成长率等于经济体系成长率;而企业晚期的成长率显然差于整个经济体系成长率。沃斯顿模型建立在企业历经零上涨期间的假定基础之上,模型尽管简单,但经历变更后却能适应企业各种不同成长形态的需要,其中最常用的有3个基本模型。
这3个基本模型是:零上涨模型;固定比率上涨模型;超常上涨模型。

式中:X——运营净收入(NOI)或息税前盈余(EBIT);
gs——运营净利或息税前盈余上涨率;
k——加权资金成本
bs——税后投资需求或投资机会;
n——上涨连续期;
T——所得税率。
现金流量折现法举例
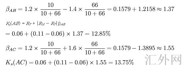
A企业是一个以生产起重机为主的设备制造企业,受于内部盈利率低和投资机会缺乏,决定收购某企业,以达到有利投资机会与获利的上涨。在大量企业中,A企业选择了B、C两企业,其中B企业是一家通讯设备生产企业,在市场开发和产品研究上颇具实力,有着很高的盈利率和大量的投资机会;C企业是一家软件生产厂商,其盈利率好于B企业。相关资料如表1.
表1基本资料
每股价值市盈率总股本负债权益比率贝他系数盈利率投资率上涨率补充资料包含:无风险报酬率(Risk-free Rate)为6%(RF),期望市场报酬率为11%(RM),负债利息率为10%,所得税率为50%,超常上涨期间为10年。
依据以上资料,可以编制3个企业的简易资产负债表(见表2)
表2 收购前的资产负债表 (单位:百万元)
用内部盈利率除以(1-所得税率),然后乘以总资产,即可得出运营净收入,继而求出每股市价和资产总市价,其计算过程如表3.
表3 每股市价
表4 收购对A企业每股盈余的影响
用自然对数回归的方法可以确定NOI和gs、b,计算结果如表5.
表5 自然对数回归法的分析结果
下面即利用估价公式执行分析:
(一)计算收购后的资金成本
对于每种方案,以收购前每个企业资产总市价占两个企业总市价的比例为权数对每个企业的贝他风险系数加权,计算综合贝他风险系数(β系数),由贝他系数即可得出收购后的资金成本。

(二)用债务成本与资金成本,求收购后的加权平均资金成本(WACC)
表6 收购后的资产负债表
WACC = K = Ks(S / V) + Kb(1 − T)(B / V)

(三)利用计算结果,将两方案执行比较(见表7)
表7两种方案比较表
比较结果表明,收购B企业导致3 400万元的收益,而A、C企业的合并却发生500万元的收购损失。即使这一计算过程存在适当的误差,但它起码可以证明A企业收购B企业较收购C企业更为理性、科学。
本法为企业收购决策给予了一种更为简洁的估价方法,收购企业为高达理性收购,务必预期合理的投资报酬率与风险;对不同的收购方案执行比较以检验不同的市场战略和环境原因的结合对企业价值造成的影响。
现金流量折现法的注意要点
现金流量折现法应注意的两点:
第一,受于将来收益存在未知性,发行价格一般要对上述每股净现值折让20%-30%。
第二,用现金流量折现法定价的公司,其市盈率往往好于市场平均水准,但这类公司发行上市时套算出来的市盈率与一般公司发行的市盈率之间不具可比性。
现金流量折现法的价值
现金流量折现法是资本投资和资本预算的基本模型,被看做是企业估值定价在理论上最有成效的模型,由于企业的经济活动就显现为现金的流入和流出。受于有坚实的基础,当与其余方案一起运用时,现金流量折现法所得出结果往往是检验其余模型结果合理与否的基本标准。
现金流量折现法的原理比较简单,它是通过权衡为收购而投入的现金量这一投资所有将来能造成的净现金量和时间(扣除折旧、营运需要等)来计算的。这一计算可得出内部收益率(IRR),即现金流入量现值等于现金流出量现值时所得到的内涵折现率。
此外,将来现金流量也能折算成现值并与原始投资比较。这一计算得出的是净现值(NPV),即在现值条件下开支和预期金额之间的差。
不管是内部收益依旧净现值,折现现金流量都要求估算出一个最终的价值额(利用不同的上涨模型),年限一般是7~10年以上。
现金流量折现法的首要缺点就是其对现金流量预期和预期的固有的未知性。受于务必对很多的相关市场、产品、定价、竞争、管理、经济情况、利率之类做出假定,精准性因此降低。然而,在每次并购中,民众都应当运用现金流量折现法。由于它把注意力集中到最重要的假定和未知性上,特别是将它用于为买方确定最高定价时,其结果具有重要的参考价值。
现金流量折现法是西方企业价值评估方法中运用最普遍、理论上最健全的方法,而在我国企业价值评估中也承受适当的制约。现金流量折现法中要求对将来现金流量作出预期,而我国现行的企业会计制度很难精准地做到这一点。从理论上讲只有当市场完善,会计制度健全,信息披露能够较为真实的反应企业的以往和现况时,运用该种方法才最为合理。尽管我国当前还没有高达理想的适用条件,但不论是理论界依旧实务界都已经开始试图该种方法。从长远发展趋势看激励该种方法的运用。