首页百科证券估值文章详细

股利折现模型

外汇网2021-06-19 14:36:50 321

股息贴现模型简述

股息贴现模型是股票估值的一种模型,是收入资本化法运用于普通股价值分析中的模型。以适当的贴现率将股票将来预计将派发的股息折算为现值,以评估股票的价值。DDM与将将来利息和本金的偿还折算为现值的债券估值模型类似。

股息贴现模型基本的函数形式

汇外网 - 全球专业的黄金外汇门户导航行情资讯网站ddm

(1)

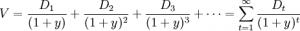
其中,V代表普通股的内在价值,Dt是普通股第t期预计支付的股息和红利,y是贴现率,又称资本化率 (the capitalization rate)。

该式同样适用于持有期 t

有限的股票价值分析

股息贴现模型的种类

每期股息上涨率:

汇外网 - 全球专业的黄金外汇门户导航行情资讯网站ddm

(2)

依据股息上涨率的不同假定股息贴现模型可分为:

零上涨模型

不变上涨模型

多元上涨模型

三阶段股息贴现模型

用股息贴现模型指导证券投资

目的:通过分析股票价值的低估或是高估来指导证券的买卖。

方法一:计算股票投资的净现值NPV

汇外网 - 全球专业的黄金外汇门户导航行情资讯网站ddm

(3)

当NPV大于零时,可以逢低做多

当NPV差于零时,可以逢高抛售

方法二:比较贴现率与内部收益率的大小

内部收益率 (internal rate of return ),简称IRR,是当净现值等于零时的一个特殊的贴现率即:

(4)

汇外网 - 全球专业的黄金外汇门户导航行情资讯网站ddm

净现值大于零,该股票被低估

净现值差于零,该股票被高估

股息贴现模型的运用分析

在利用股息贴现模型评估股票价值时,可以结合市盈率分析。一部分分析人士利用市盈率来预期股票盈利,进而在投资初始就能预期股票的将来价格。

例:

2007年,某分析人士预计摩托罗拉公司2012年的市盈率为20.0,每股盈利为5.50美元。那么,可预期其2012年的股价为110美元。假定这一价格为2012年的股票出售价,资本化率为14.4%,今后四年的股息分别为0.54美元、0.64美元、0.74美元和0.85美元。依据股息贴现模型,摩托罗拉公司的股票内在价值为:

汇外网 - 全球专业的黄金外汇门户导航行情资讯网站ddm

(美元)

标签:

随机快审展示
加入快审,优先展示

加入VIP