什么是外部价值链
企业外部价值链是指与企业具有紧密联系的外部举动主体的价值活动,首要包含提供商价值链、买入商价值链以及竞争对手价值链。内部价值链其实是一种初级的过程思想,它首要针对企业内部业务过程以清除无效、浪费高达减弱产品成本的目的。而外部价值链则体现了一种进化了的过程思想,它把一种超越企业本身的、全面的作业链导入业务过程,是一种高级的、战略性的过程思想。
外部价值链分析
企业外部有各种影响成本的原因,如何在成本管理中有效地管理这些原因是成本管理的一个首要课题。对企业的外部价值链执行分析较之内部价值链分析更具有战略意义,所以也应当是实施现代成本管理的着重工具。
(1)行业价值链分析
任何一个企业都可以依据企业供应的产品定位出自己所处的行业,每个行业均为由最初的原始物投入至最终将产品或服务供应给最终消费者的若干价值活动所组成。同一个行业包含有大量的企业,他们在从事不同的价值活动,或者同一部分的价值活动有若干个企业来组织,每个企业疑似均为独立存在的。但是,我们从战略的角度对这个行业的若干价值活动所构成的价值链执行分析,就会发现各个价值活动之间都存在着联结,他们是相互影响和制衡的统一体。所以,执行行业价值链分析的内容就是寻到企业在行业中所处的位置,以及了解企业的上下游与企业的联系,并寻到与自己从事相同价值活动的竞争对手的比较优势。
(2)客户价值链分析
客户属于企业的下游单位,是买入企业产品的中间商或者是最终消费者。对于直接销售产品给最终消费者的企业来看,可以通过了解消费者运用产品的方式和周期,来减弱企业的销售成本和售后服务成本。如对于运用方法和操作程序复杂的产品,企业可以开展上门指导等服务方式节约受于用户操作不当产生的维修成本。对于下游客户是分销商的企业来看执行客户价值链分析,一面可以通过对客户的销售活动和需求情况的了解,合理的安排交货的时间、数量和品种,避免盲目生产产生的库存积存成本;另一面,可以通过与分销商建立战略联盟或者通过前向整合的方式来避免中间交易成本和销售费用。
(3)竞争对手价值链分析
价值链成本管理的精髓就是用战略大局的眼光评价企业,从而来建立企业的竞争优势,对于竞争对手价值链的分析就愈加表明了战略的意义。企业通过对竞争对手的价值链分析可以通过对比分析了解企业相对竞争对手的优势和劣势,如此可以使企业有的放矢的建立自己的竞争优势。同期在分析竞争对手价值链的过程中,会发现同一指标更先进的水准,那么企业可以用来建立标杆,并以此衡量和改进本身的活动。但是,对于企业竞争对手的价值链分析存在着无法全面了解其价值链的阻碍,我们可以通过对竞争对手的上下游企业的调查了解它的原料成本和销售活动,也可以通过对其产品的分析大差不差了解其产品的设计和生产情况,所以,通过各种途径的调查和学习还可以基本掌握对本企业有价值的信息。
(4)提供商价值链分析
企业提供商也就是上游企业的价值链分析对于企业避免不必要发生的成本是非常有作用的。企业可以通过了解提供商的生产流程,帮助提供商更改原料设计以愈加适合企业的需求,可以节约企业对原料的一部分初步加工的成本;企业通过与提供商的信息沟通可以协调进货时间和批量甚至包装和运输的方式,避免企业由于急用、积存或者处理不适当的包装方式导致的额外时间、人力成本和资金成本;企业同样可以通过与提供商建立联盟互利或者直接实行后向整合来节约采购成本和原恐供应风险。
">编辑] 基于企业外部价值链分析的成本控制研究
一、企业外部价值链分析。
要想对企业外部价值链执行分析,首先应该知道企业外部价值链的构成。企业价值链是由企业内部价值链、提供商价值链、经销商价值链以及客户价值链相互作用形成的一个”价值系统”,而事实上在一个竞争环境中,这个价值系统还应当包含竞争对手价值链。所以笔者觉得,企业外部价值链是与企业内部价值链想对应的,是除企业内部价值链以外的”价值链系统”,首要包含了提供商价值链、经销商价值链以及竞争对手价值链。对企业外部价值链的分析,是执行成本控制的前提。
1.提供商、经销商价值链分析
之所以会将这两个企业外部价值链放在一起讨论,首要是由于二者的价值链分析在很多方面都相似。二者价值链分析的内容首要有这几个方面:
(1)识别价值链。在任何价值链分析时,首要的就是要识别价值链,认定其价值链的组成,即弄清楚每个价值链中的价值活动的构成。
(2)评估提供商价值链、经销商价值链及二者与企业内部价值链之间的联系及其合理性这是为了采取具体成本控制措施所执行的活动。只有了解了企业外部价值链与企业内部价值链的关系,评定其关系能否合理,才可够寻到相应的方法以便改观企业的成本。
(3)采取改执行动。这是分析之后最终的活动,通过前面分析所得的结果,采取相应的对策,进而最终高达成本控制的目的。
对企业外部价值链执行分析,即对上下游企业的价值链及其与企业内部价值链的联系的分析,能够帮助企业克服传统价值升值分析的弊端,将企业置于整个价值系统执行分析,关注企业与提供商、经销商以及客户之间的纵向联系,谋求纵向一体化的机会性,或者通过建立战略联盟,清除不升值作业,达到多方共赢。
2.竞争对手价值链分析
每个行业中均为有竞争对手存在的,而企业要想在市场经济中得到生存就一定要重视竞争对手的存在。企业可以通过对竞争对手的价值链分析,识别竞争对手的价值链的组成,即他们是如何开展价值活动的,分析其价值活动对应的成本,并将其同本企业执行比较,如此就可以解析企业的相对成本地位,即知道本企业与竞争对手对比是处在优势依旧劣势。进而为其战略的策划供应决策根据企业往往利用对竞争对手价值链分析所得到的信息,了解竞争对手的情形,进而将本企业与竞争对手执行比较,以便了解竞争对手的情形和自己与竞争对手对比的优势与不足,然后改进本企业的不足.最终减弱成本,形成成本企业的竞争优势。诚然,对竞争对手价值链的分析存在的一个重要困难就是信息获取难度大。这就需要企业对一部分方法的归纳,最首要的是能够对竞争对手价值链予以重视。
二、基于企业外部价值链的成本控制方法
1.基于提供商和经销商价值链分析的成本控制方法
(1)与提供商建立战略合作伙伴关系。企业要执行产品的生产就务必有原材料的提供,所以提供商的选择对于企业来看是很重要的环节,同期与提供商建立平稳的关系也是非常重要的。假使有一个或几个非常平稳的提供商,那么企业就不必在以后产品的生产中受于材料匮乏等原因此必须另去寻求临时的提供商,如此就可以降低如此一部分不必要的成本。同期与提供商建立战略合作伙伴关系,可以在材料采购上得到很多的优惠,有助于企业的战略实行和企业的成长。通过开发与某个供货商的长期合作伙伴关系,相对的降低供货商数量,一旦供货商与制造商建立了相互信任关系,双方就可以分享彼此的内部运营信息,进而共同处理所面l临的困难。合作伙伴通过研究他们共同的价值链可以发现共同的可能。供货商通过对制造商所需原料的技术规格执行适当修改,使产品符合加工要求,达到消费者的需要。
通过共同合作,双方均可以确定减弱总成本以及共同分享利润的最佳工艺流程。
(2)并购提供商,控制源头。假使企业的财力和其余条件都满足,就可以并购上游的提供商,直接将原材料置于自己的控制之下。
假使企业对提供卜实行了并购,控制了原材料的提供,那么一面有助于本企业产品的生产,达到了供产一体化,减弱了产品的原材料的成本,由于一旦并购了提供商,企业就不用再为以前的提供商利润买单。诚然其并购成本应当摊销于企业产品成本中,但从长远利益出发,是有助于企业的:另一面,企业假使兼并的提供商是在提供商行业中占重点市场的,那么相对于竞争对手这会是一项很大的竞争优势。有助于企业竞争优势的形成。诚然该种方法比较适合于原材料用料单一,原材料成本占较高比重,直接对原材料加工就能制成最终产品的生产企业。
(3)与经销商建立战略合作伙伴关系。企业的产品通过经销商最终到达消费者,进而达到产品的价值。所以经销商在企业外部价值链中的地位也是非常重要的。通过与经销商建立战略合作伙伴关系,有助于企业产品的销售,同期经销商可以依据销售情形将顾客对产品的意见等信息传递给企业,如此企业就可以对产品执行改进,同期对一部分不必要的功能或者样式执行删除,进而节约和控制成本。此外,企业还可以依据经销商的销售情形计划生产,进而减弱存货成本。所以与经销商建立战略合作伙伴关系,能够高达控制企业成本的目的。
(4)取消或者并购经销商,实行直销策略。直销对于企业销售产品是一个不错的选择,而且当下逐渐增多的企业亦在试图如此一种销售方式。所淆直销,就是企业生产的产品不通过经销商而直接销售给最终消费者的一种销售方式。企业通过实行直销策略,可以减弱销售成本,进而得到许多的利润,如戴尔电脑公司的直销策略等。所以通过取消或者并购经销商,实旌直销策略,也可以执行成本的控制。
2.基于竞争对手价值链分析的成本控制
通过对竞争对手价值链的分析,识别竞争对手的价值链组成,企业可以有效的控制成本。假使企业执行所有价值活动的累积成本差于竞争对手的成本,那么企业就具有成本优势。所以企业务必要了解竞争对手的价值链组成及价值活动的成本驱使原因,然后与食业的价值链组成和成本驱使原因对比较,找出之间的差异,以确定企业的相对成本对位,具有优势的地方需要维持,而处在劣势的地方需要执行改进,如此才可高达控制成本,获取竞争优势的目的。诚然在实践中,企业是很难直接得到竞争对手的直接信息的,要评估竞争对手的成本也十分问题。一般我们可以得到一部分公开报告,以及与竞争对手的提供商、经销商等执行沟通,进而了解并估测竞争对手的价值活动的成本然后与企业的对比较企业通过对竞争对手价值链分析,找出自己的优势和劣势,进而寻求产品差异化。企业可以依据本企业的成本优势,采取市场差异化战略,为来自不同领域的市场消费者供应产品,依据特殊的消费群体适时策划出具体的个体处理方案,进而在这一市场中占领优势。
总之,在如今如此一个竞争激烈的市场中,务必做到知己知彼,才可够百战不殆,所以,企业通过对竞争对手价值链的分析,识别其价值活动,并了解其成本情形,然后与企业价值活动中的成本执行比较,找出自己的成本优势和劣势,最后对那些处在劣势的价值活动执行改进或者删除,进而高达成本控制的目的。
">编辑] 企业外部价值链风险分析
企业外部价值链风险首要指在已建立价值链的情形下,价值链所面对的各种风险的总和,而且这些风险会对本企业造成影响。受于,企业外部价值链是一个放开的动态系统,链中的企业既合作又维持各自的独立,如此一种建立在共同利益需求和不完全契约形式上的虚拟体,与企业内部价值链对比,企业外部价值链风险具有其独特性,其平稳性和连续性自身存在着很大风险。而且∥企业外部价值链的风险原因可以通过价值链流程在各个企业间传递和累积,并明显影响整个价值链的风险水平。企业外部价值链的风险首要来自于企业合作以外部价值链的内外部环境改变。所以,企业外部价值链风险首要包含结构风险和环境风险。
(1)结构风险
①外部价值链不平稳性风险。企业外部价值链是各个独立企业为了追求各自的价值升值而走到一起形成的价值联盟。他们之间的纽带是不平稳的,结构是松散的,所以,外部价值链自身是动态改变的。在这个网链中,或许有企业加入,也或许有企业退出,甚至或许有企业背弃,也或许有企业破产,这些全会给企业外部链导致重大风险,并对本企业造成巨大影响。为了回避这一风险,企业一面应完善控制机制,实时观察控制机制的运行情形,对控制机制中显现的漏洞及时执行修整;另一面,应对价值链各节点企业的有关情形、发展规划执行监测,及早发现风险,早日决定调控措施,防止和降低该风险产生的损失.②彼此过分依靠造成的风险。外部价值链间某环节节点企业的降低可以减弱企业成本,增长价值升值能力。但是,另一面过分的依靠,尤其是独家提供或销售等情形下,则会放大风险。一旦该企业显现困难,其风险就会毫无减轻的传递给本企业,受于此一个环节的困难,波及整个外部价值链,甚至引起崩溃。为了降低和避免此类风险,企业一面应尽量避免对某些厂商的过分依靠,维持企业本身适当的灵活性,为企业留有回避风险的余地。另一面,企业应实时关注外部价值链各节点企业间的信息,及早发现困难,为企业应对快速传递而至的风险做尽量充分的预案。
③发展不均衡的风险。外部价值链中各企业在范围、管理、技术、文化等诸多方面存在差异,所以外部价值链自身发展是不均衡的。往往可以是强劲企业越强、弱势企业越弱,外部价值链差异拉大,最终或许显现很难协调行动。
对于弱势企业来看,或许面对着被挤出该网链,而被逼重建新的价值链的风险,甚至于会所以危及生存根基而迈向破产。对于强劲企业来看,以前的价值链优势或许形成其包袱。使其竞争能力大打折扣,必须调整价值链,另寻合作伙伴.所以,企业应从本身的长远战略发展考虑,实时评价与外部价值链各节点企业间的差异,并作出相应调整。
(2)环境风险
环境风险指受于外部控制环境改变而造成的风险。首要包含自然环境风险,如台风、地震、火灾、水灾等;社会环境风险,如战争等政治原因等不可抗力:经济环境风险,如经济萧条、通胀、经济波动、有关产业政策变动等.这些环境原因全会使价值链面对重大风险,企业外部价值链因实时关注其环境信息,并执行分析预期,降低和避免环境风险所产生的损失。
">编辑] 企业外部价值链价值升值活动
通过企业外部价值链风险分析可以确定前馈控制所监控的首要风险信息,对企业外部价值链价值升值活动分析则可以首要确定反馈控制中所需监控的首要信息.因此,我们对企业外部价值链的价值活动执行分析。20.世纪80年代以来,组织间新的合作关系的造成.企业联盟形成学术界探讨的困难,战略管理、组织理论、市场营销和营运管理等不同领域的学者都承认,企业可以通过发展与上、下游的紧密伙伴关系,共享彼此独特的能力要素及资源,以增进绩效(Spekman,Isabelia,Macavoy and Forbes,1998)。但是增进的绩效究竟从何而来,研究者首要从下方几个理论角度对其执行解释和探讨。
(1)交易费用经济学
很多学者运用交易费用来解释企业联盟困难,将企业联盟看为介于市场和企业二种极端方式之间的一种资源配置和价值创造机制。从根本上讲,战略联盟之所以能够存在并发展,就在于能够节约费用,联盟是在特定条件下存在的一种具有本身优势的治理结构形式(Kogut,1988;Hernnart,1988)。拉森(Larsson,1993)曾把该种中间性组织德勒的。看得见的手一韵“握手 经济中价值创造和价值增长的空间是在大量模块化组织之间,制度安排是网络资本主义,。握手"下的主导模式则是企业之间的协作。而其之所以能够存在并发展,在于它能够节约费用。当清晰的市场交易和企业内部化都无法使交易费用和管理费用之和最小时,则或许显现一种新的有效的替代方式,内部化和市场化的结合,使交易费用和管理费用都一定程度的下滑。
(2)资源基础理论
企业资源基础理论从企业本身拥有的资源和能力出发探讨企业连续竞争优势的源泉,觉得竞争优势是企业得到并高效地运用一连串有价值、稀缺、难于模仿和不可替代的资源的结果(Conner and Prahalad,1996)企业是一个异质性资源集合体,企业连续竞争优势的源泉是企业拥有或者控制韵独特资源的能力;为了能够得到连续竞争优势,企业务必持续积攒资源,积聚能力.并付出发挥本身资源与能力的作用。而企业联盟为参与其中的企业给予了获取竞争优势的有效渠道(Chung,2000) Gulati 等人(2000)对企业网络、资源以及竞争优势的关系执行了研究,表示企业所处的网络使其从环境中得到核心的资源,如信息、途径、资本、服务以及其余可以维持或提高竞争优势的资源.受于该种资源本身的异质性以及造成过程中的路径依靠,即通过特定的网络执行组合,非常很难模仿与替代,进而具有战略性资源的特质,为企业得到了连续的竞争优势
外部价值链案例分析 ">编辑] 案例一:燃气输配企业外部价值链分析
外部价值链分析首要是分析企业与上游企业、竞争对手价值链的关系,充分利用上下游价值链活动,调整企业在整个价值链中的位置与规模,促使成本减弱.为企业增长竞争优势供应机会。每一个行业中,不同企业或许位于这一行业价值链的不同阶段。通过纵向价值链分析进而了解企业在整个行业中的位置,以便谋求利用上、下游价值链减弱成本的渠道,还可以发现与原恐供应商以及买入商的关系方面存在的困难。通过纵向整合,再造企业的价值链.与上、下游原恐供应商和买入商建立战略联盟来共同获益,进而控制和减弱企业的成本。
有些研究局限于内部价值链,而外部价值链与内部价值链的协调性没有得到重视,进而制衡了产业价值链的成长.倒过来影响到内部价值链由于行业价值链中任何一个环节的中止或不健康发展,全将影响到企业价值的升值。
(一)外部价值链的组成与分析
天然气输配行业的外部价值链包含上游开采、中游管道输送、下游批发零售三个环节,如下图所示:

天然气生产与长输管道为垂直一体化结构,分别由三家公司区域垄断性经营。受于我国传统的公用事业体制,致使各个城市、县镇都有自己的燃气公司。天然气城市输配环节处在最靠近终端用户的环节,即零售商,它将气源与用户有效连接起来。而批发商多为垂直一体化经营的大型国有石油天然气公司。城市输配气企业承受着为住宅商业工业用户供应天然气的职能,而且具有一定程度的垄断性。
可以看出,天然气生产与长距离管道运输以及天然气批发业务是捆绑在一起的,分别由中石化、中国石油,中海油三家公司垄断运营.而其余一部分较小的生产商多为地方性企业,它们没有自己的输送管道,其天然气产能占总产能的比重较低,但绝对数量依旧较大的。小的天然气生产商务必通过商量才可得到管道运输服务,而在运输服务条款的策划方面很少有讲话权。当前,中国石油在天然气产业链的生产和运输方面具有绝对控制优势。
输配经营公司处在零售商环节,与销售环节垂直一体化。一般来看它们是向三家垂直一体化的天然气生产经营商中的一家买入天然气,并向终端消费者售气。在整个天然气的价值链中天然气供需冲突突出据预计中国到2010年天然气供需空缺为300—400亿立方米。天然气市场的供不应求使上游的开采环节处在产业链战略控制点位置上,上游环节的获利在整个产业链总利润中所占的比例是最高的.对比之下零售环节处在弱势地位。天然气输配项目建设周期长具有资金技术密集型和公益性的特点利润率低.对于潜在的新进入者来看其准入壁垒很高退出阻碍也很大。天然气行业之所以在2004年后得到较快的成长除了国家政策的扶持外,首要是西气东输”等长输管道打通了上游开采企业与下游用气企业在价值链上的衔接短板,使整个产业链的竞争力充分发挥出来了。
(二)运用外部价值链分析执行成本控制
通过对外部价值链的分析,将企业价值链与提供商联系起来,提供商供应企业用于其价值链中的产品或服务。将燃气输配企业置于整个行业价值链中可以看出,要想得到更大的成本优势,就需要执行纵向整合,向纵向价值链的上游、下游延伸。对于造成于行业价值链的上游部分的成本劣势,可以采取下方措施执行改观:
1.帮助提供商执行价值链的再造节约产品生产成本进而减弱企业的采购成本;
2.通过谈判从提供商那里得到更有利的单价;
3.改观提供商价值链和企业本身价值链之间的联系;
4.试图运用成本更小的替代品;
5.考虑更换提供商以谋求最低的采购成本;
6.对提供商实行兼并,以加强企业的竞争优势。
保证气源提供是燃气输配企业生存的基础和发展的前提往上游延伸价值链可使燃气输配企业对天然气的可得到性、质量等方面具有更大的控制权。天然气作为城市燃气输配企业的首要供气来源.一直是其价值链中的薄弱环节。此外,采购天然气承受国际原油价格.经济事态、政治事态以及竞争对手的竞争战略等诸多原因影响,具有很大的未知性.为此付出的成本往往非常重大。当下天然气行业是属于卖方市场,假使不掌握平稳的天然气资源.势必不利于企业的长远发展。所以,巩固与中国石油、中石化、中海油等上游单位的关系,疏通并拓宽上游提供途径.理顺气源提供协调机制.尽或许从上游得到许多的气源.对公司价值链的平稳和升值具有非常重要的意义。
假使提供商能得到较大利润。公司价值链的往上延伸可以将成本变为利润。当前,中国经济正处在高速发展期间,各行各业对能源的需求很大。天然气的批发销售利润率始终维持着一个较高水平.投资上游业务会有不错的回报。
伴随国家对城市基建的放开,燃气行业市场化的进度越来越快.这会促使国有燃气公司适应新的环境改变.持续提升本身的竞争力。尤其是天然气利用工程的来临,给燃气企业导致了全新的机遇和考验。尽管当下燃气定价由政府管制但企业的成本并没有是都在定价中得到弥补如何减弱成本永远是企业的核心困难。以前企业的成本管理观念只注重于生产过程中的成本,偏重于企业内部生产运营活动的价值消耗缺乏对竞争对手的成本执行分析和研究。伴随燃气企业问的竞争越来越激烈只有增强基于价值链分析的成本管理.通过价值链分析识别企业的竞争优势,才可达到企业价值最大化。
">编辑] 案例二:企业外部价值链现金流风险管理研究
企业没有利润还或许正常运作,但是假使没有现金周转,就会深陷破产的窘境,所以企业现金流风险管理越来越被民众所重视。现金流管理贯穿于材料采购、产品生产和销售等达到企业价值的经济活动的全过程,而这活动又都可以用价值链来表现。进而以价值链为载体的现金流管理可以为企业供应愈加全面的现金流管理信息。
价值链包含内部价值链和外部价值链,以往企业大多重视内部价值链现金流管理,但外部价值链同样将对企业现金流造成影响。如受于市场供求的改变,提供商或许会让企业的采购成本提升而增长现金流的流出,销售商也或许压低企业商品的单价而减弱现金流的流入。所以,企业应当重视外部价值链的每一个环节,及时掌握外部价值链和市场的改变动态,提升现金运用效率,增长现金流的净流入。
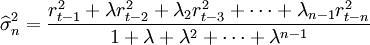
在企业的外部价值链中,原料成本费用在企业的总生产成本中占领着相当高的比例,据测算,生产和制造业的原料采购成本已占销售额的60%一80%,下方笔者以原料成本价格波动作为企业外部价值链的重要要素来研究它对现金流净流人的影响。
二、模型及参数预期基于现金流的时间特性和原料成本价格的随机性,可以利用时间随机变量来度量现金流风险。如果状态变量x代表风险因子(如利率、汇率、商品价格等)

是原料的初期价值,t时刻的原料价值为
ft(
x),价值损失函数为。

=

。
引进最大损失上限值M,它在几率意义下满足。

其中Ot为几率值(a=1一置信度),该式表明发生损失大于M值的几率要差于a,即以l-a的几率保证损失不胜过肘,比如某公司每天交易的有价证券的肘值在95%置信水平下为100万,即在正常市场条件下,将来24小时内发生大于100万亏损的机会性为5%,(该例中置信度为95%,

),值不仅给出了公司现金流风险改变的大小,同期也给出了最大损失发生的几率。
在这个定义中,M值涉及两个要素,一是价格变动的时间间隔

,可以是一天,三天,一个月或更长,这要依据现金流流动性的强弱,流动性越强的

应越小,

越长的在相同几率水平下,风险就越大,M值也越大,这是受于风险的累加性产生的;二是置信度(1一d),它反应了不同企业对风险的不同偏好,对于风险厌恶者来看,为了减弱现金流风险,在量化风险时需要较高的(1一a),相应的M值也比较高。
基于上述模型的现金流风险度量,其核心就是要预期将来损失函数的统计分布或几率密度函数,可采取历史模拟法(Historical Simulation)、Risk Metrics和Monte Carlo模拟法,他们各有其本身的优缺点和适用性,下边我们给出Risk Metrics方法中的基于正态如果前提下的值计算方法,它又分成单一资产和多个资产情形,把前者处理成后者的特殊情况。
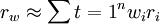
设某原料组合为w=(w_1,w_2,…,w_n),其中w_i(i=1,2,…,n)为分配到第i项资产比重,且满足\sum{i-1}^nw_i=1。1。设初始原料采购总额为f_0,按w分配到n种商品上,则在持有期末组合w的投资价值为
f1=

+

+…+

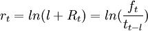
其中r_i是第i项风险资产的对数收益率,即。
r_i=\ln(1+R_i),R_i为第i项资产的收益率。则组合收益率。

.组合对数收益率为。

。
由于,在期限较短的市场上,可以觉得商品收益率很小,所以由一阶泰勒展式近似。

所以

再由一阶泰勒展式近似,得

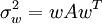
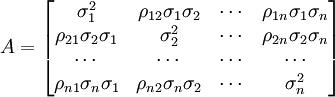
这表明资产组合的对数收益率近似为每个资产对数收益率的线性组合,由随机变量线性函数的方差性质得原料采购组合的方差为

(1)
其中
wT是w的转置,

-协方差矩阵为

如果组合中各资产的对数收益率-呈正态分布,则其线性组合的对数收益率
rw也呈正态分布,且r_w服从

其中μ
w,

分别为r_w的期望和方差,设
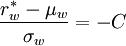
f0在给定的置信度(1-a)下的最低回报率为
rtw,则最低末期价值为

已经得到资产的M值等价于。

(2)
受于
rw服从N(\mu_w,\sigma^2_w),则
rw的标准化

服从N(0,1)要想求出给定置信度(1-a)下的r^t_w,只要利用标准正态分布的分为点C,致使

。
则Φ(
C) = α,而中Φ( −
C) = 1 − α,所以

于是

,带入(2)式得组合资产的M值为
MM =
foCσ
w(3)
依据波动性期限结构预期的“

规则”,则计算t天的M值公式为

特别地,假使我们更深一步简化采购组合w的维数,当n=1时,则得到采购单一商品时的风险计算公式为
M =
foCσ1(4)
σ1为这一资产收益率的标准差。
预期每个资产的标准差σ1他们之间的有关系数ρ
ij的方法有移动平均模型、GARCH类模型、隐含波动性模型和随机波动性模型。移动平均模型是金融预期中最常用的一种技术,它包含简单移动平均和指数移动平均(EWMA法),基本原理是,首先选取一定长度的历史报告窗口,计算其算术平均,然后维持报告长度不变,更新历史报告窗口(一般一次更新一个),再计算其算数平均。如此得到的平均值可以用于波动性和有关性的预期和预期。其中,方差运用平方回报的移动平均作为预期的,协方差则是用回报向量积的移动平均作为预期。但简单移动平均受于对所有的报告采取了等权重,这致使由于某一天的一个不正常回报(极端事件),就将对波动性的预期造成长时间的影响,也就是“幽灵效应” (ghost fea—ture),进而致使预期显现偏差。当前,简单移动平均方法正渐渐被EWMA和GARCH方法所代替。
运用EWMA方法执行标准差和有关系数的预期,它依据历史报告距目前时刻的远近,分别赋予不同的权重,距离当下越近,赋予的权重越大,用减弱因子决定权重的分配,它的取值在0-1之间。如此一个平方回报序列{

}的n期方差的指数移动平均预期公式为

(5)
或递归形式为

有关性预期的递归形式为

(6)
三、算例及现金流风险管理策略
诚然可以利用公式(3),计算出某一原料采购策略下的M值,但更期望在如果企业具有一定抗风险能力的前提下,也就是在可以承受的损失规模内,事先策划好原料价格波动下的采购策略,对现金流风险执行管理,如此更具有现实意义。困难可以描述为:在给定的置信水平下(如95%,相应的分位点C=1.65),若预期的最大损失额限定为
Lmax,最初投入额适当的条件下,买入各种原料的比例为多少?或者更深一步简化为最大损失额限定为
Lmax,则企业执行单一原料采购时,应投入多少资金在现货市场?第一个困难可以令公式
M =
foCσ
w =
Lmax在
fo已知,用公式(5)、(6)预期出每个资产的标准差σ
i;及他们之间的有关系数ρ
ij后,反解它,而求出投资比例向量w。对第二个困难,令公式
M =
foCσ
l =
Lmax在预期出σ
l。后,通过反解它来求出
fo;
采取样本报告为2005年伦敦LME铜的现货市场价格,单位:美元/吨,对数收益率按

计算,
ft为铜在t时刻的单价。假定
rt服从正态分布,首先利用公式(5)计算出{
rt}序列的标准差

,其中减弱因子λ依据均方根误差原则(RMSE)取为0.94,若
Lmax = 40000$,则有

解出
fo = 4617.6$,即为了保证风险以95%的几率差于4万美元,在将来市场波动的预期值下,应投入4617.6$执行现货采购,其余可以利用期货市场执行套期保值,以规避因原料价格波动给现金流导致的损失。
参考文献
↑ 蒋友红.基于企业外部价值链分析的成本控制研究.金卡工程,2009,13(4)
↑ 2.0 2.1 戴玮炜.企业外部价值链会计实时控制机理研究.2007.
↑ Spekman R E,Isabelia L,Macavoy T ,Forbes T.Alliance Management:A View from the Past and a Look to the Future.Journal of Management Studies.1998,6(35)
↑ Kogut,B Joint Ventures.Theoretical and Empirical Perspectives.Strategic Management Journal.1988,4(319-332)
↑ John H Dunning. Alliance Capitalisn and Global Business.London and New York Ruteldge.1997
↑ Conner K R,Prahalad C K,A Resource-based Theory of the Firm.Knoeledge versus Opportunism.Organization Science,1996,7(477-501)
↑ Chung S,Singh H,Lee K.Complementarity,status similarity and Social Captial Drivens of Alliance Fonnation.Strategic Management Journal.21(1-22)
↑ Miner A,Amburygey T L,Steams T.interior-organizationmal Linkages and Population Dynamics.Buffering and Transformational Shields.Administrative Science Quarterly.1990,35(689-713)
↑ Gulati R,Nohria N,Zaheer A.Strategic Networks. Strategic Management Journal.2001,21
↑ 刘昌娟.基于外部价值链分析的成本管理研究——以燃气输配企业为例.中国总会计师,2008,(8)
↑ 侯丽英.企业外部价值链现金流风险管理研究.商业研究,2009,(2)
↑ 朱义令.基于价值链的现金流管理研究.河海大学硕士论文,2006
↑ 胡华夏,张丹.基于自由现金流的投资管理研究.财会通讯(学术版),2007(7).