国民经济核算物价指数的简述
国民经济核算物价指数是国名经济核算体系的重要内容之一,首要用来反应国民经济循环过程或运行过程方方面面及整体的单价水平改变,它不同于一般的单价指数。首要有生产过程的投人产出方面的物价指数、最终需求方面的物价指数和GDP物价指数。
国民经济核算物价指数包含按国民经济核算基本内容设置的各方面物价指数,首要有投入产出方面的物价指数、最终需求方面的物价指数和GDP物价指数。
国民经济核算物价指数首要是采取紧缩法来编制。采取该种方法一般有两项基础工作:一是国民经济核算体系的现价报告,它直接来自国民经济核算的结果;二是基本单位物价指数的调查及编制。
国民经济核算物价指数编制的首要方法
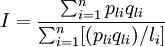
紧缩法是运用帕氏指数方法编制物价指数的方法。帕氏综合物价指数编制公式为:

或

紧缩法实质是间接推算编制帕氏综合物价指数的方法,即在分母中,用数据期现价报告(
pliqli)除以个体物价指数
li进而推算出以基期价格计算的数据期价值量(
poiqli)。在经济分析上是指去掉物价上涨部分后的经济变量水平。这一推算过程称为紧缩,即指清除物价变动原因影响的推算。或称为不变价格报告或可比价格报告的推算。
紧缩法又分单紧缩法和双紧缩法。所谓单紧缩法就是在推算不变价或可比价报告时,导致一步推算便完成紧缩计算。双紧缩法是通过两步推算不变价或可比价报告来完成其紧缩计算。