贷款积数是指贷款余额与贷款保持日历时间(天)的综合数,用以反应贷款贷放的保持总量,也即贷放单位可利用贷款的最大容量。
贷款积数的公式
贷款积数=
式中,i——数据期内某项贷款的天数;
Ai——第i天某项贷款余额。
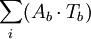
贷款积数=
式中,Ab——b时点上的贷款余额;
Tb——b时点上的贷款余额所对应的间隔期(期中贷款余额不变)。
">编辑]贷款积数的实例分析
举例计算如下:
设某行四月份某项贷款的余额如下:
该项贷款积数:=550×10+450×5+×520×5+550×10=15350(万元)
贷款积数的分析
贷款的余额越大,时间越长,可利用贷款的总量越大。所以,它是银行计算贷款利息的根据,也是计算其余分析指标的一个基础指标。
贷款积数的计算,最直接的方法是将数据期内某项贷款每天的余额接连相加求得。将各类贷款积数相加,即可求得总体贷款余额。某项贷款积数,也可依据各个时点上的贷款余额