什么是PERT网络分析?
PERT(Program Evaluation and Review Technique)即计划评审技术,最早是由美国海军在计划和控制北极星导弹的研制时发展起来的。PERT技术使原本预期的、研制北极星潜艇的时间缩短了两年。
简单地说,PERT是利用网络分析策划计划以及对计划给予评价的技术。它能协调整个计划的各道工序,合理安排人力、物力、时间、资金,增速计划的完成。在现代计划的编制和分析手段上,PERT被大量的运用,是现代化管理的重要手段和方法。
PERT网络是一种相似流程图的箭线图。它描绘出项目包含的各种活动的先后次序,标明每项活动的时间或有关的成本。对于PERT网络,项目管理者务必考虑要解决哪些工作,确定时间之间的依靠关系,辨认出潜在的机会出困难的环节,借助PERT还可以方便地比较不同行动方案在进程和成本方面的效果。
构造PERT图,需要清晰三个概念:事件、活动和核心路线。
1、事件(Events)表明首要活动终结的那一点;
2、活动(Activities)表明从一个事件到其他事件之间的过程;
3、核心路线(Critical Path)是PERT网络中花费时间最长的事件和活动的序列。
">编辑]PERT的基本要求
1.完成既定计划所需要的各类任必须须全部以充足清楚的形式表当下由事件与活动组成的网络中。事件代表特定计划在特定时刻完成的进程。活动表明从一个事件进度到下一个事件所必需的时间和资源。应该注意的是,事件和活动的规定务必充足精确,以免在监视计划实行进程时发生问题。
2.事件和活动在网络中须必依照一组逻辑法则排序,以便把重要的核心路线确定出来。这些法则包含后面的事件在其前面的事件全部完成以前不能觉得已经完成不允许显现“循环”,就是说,后继事件不可有导回前一事件的活动联系。
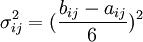
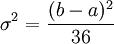
3.网络中每项活动可以有三个预期时间。就是说,由最熟悉相关活动的人士估算出完成每项任务所需要的最乐观的、最或许的和最悲观的三个时间。用这三个时间估算值来反应活动的“未知性”,在研制计划中和非重复性的计划中引用三个时间估算是由于很多任务所具有的随机性质。但是应该表示的是,为了核心路线的计算和数据,这三种时间估算应该简化为一个期望时间犷和一个统计方差σ2,否则就要用单一时间估算法。
4.需要计算核心路线和宽裕时间。核心路线是网络中期望时间最长的活动与事件序列。宽裕时间是完成任一特定路线所要求的总体期望时间与核心路线所要求的总体期望时间之差。如此,对于任一事件来看,宽裕时间就能反应存在于整网络计划中的多余时间的大小。
PERT的计算特点
PERT首先是建立在网络计划基础之上的,其次是工程项目中各个工序的工作时间不肯定,以往一般对该种计划导致预期一个时间,见底完成任务的把握有多大,制定人心中无数,工作处在一种被动状态。在工程实践中,受于民众对事物的认识承受客观条件的制衡,一般在PERT中引入几率计算方法,受于构成网络计划的各类工作可变原因多,不具备适当的时间消耗统计资料,因此不能确定出一个肯定的单一的时间值。
在PERT中,如果各类工作的连续时间服从β分布,近似地用三时预期法估算出三个时间值,即最短、最长和最或许连续时间,再加权平均算出一个期望值作为工作的连续时间。在编制PERT网络计划时,把风险原因引入到PERT中,民众必须考虑按PERT网络计划在指定的工期下,完成工程任务的机会性有多大,即计划的成就几率,即计划的牢靠度,这就务必对工程计划执行风险预期。
在绘制网络图时务必将非肯定型转化为肯定型,把三时预期变为单一时间预期,其计算公式为:

式中:
ti为i工作的平均连续时间;ai为i工作最短连续时间(亦称乐观预期时间);bi为i工作最长连续时间(亦称悲观预期时间);ci为i工作正常连续时间,可由施工定额估算。
其中,ai和bi两种工作的连续时间一般由统计方法执行估算。
三时估算法把非肯定型困难转化为肯定型困难来计算,用几率论的看法分析,其偏差仍不可避免,但趋向总是有显著的参考价值,诚然,这并没有排斥每个预期都尽或许做到或许精确的程度。为了执行时间的偏差分析(即分布的离散程度),可用方差估算:

式中:σ2i为i工作的方差。
标准差

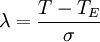
网络计划按规定日期完成的几率,可通过下面的公式和查函数表求得。

式中:
Q为网络计划规定的完工日期或目标时间;M为核心线路上各类工作平均连续时间的总和;σ为核心线路的标准差;λ为几率系数。 PERT网络分析法的工作步骤
开发一个PERT网络要求管理者确定完成项目所需的所相关键活动,依照活动之间的依靠关系排列它们之间的先后次序,以及预期完成每项活动的时间。这些工作可以归纳为5个步骤。
1、确定完成项目务必执行的每一项故意义的活动,完成每项活动都造成事件或结果;
2、确定活动完成的先后次序;
3、绘制活动流程从起点到终点的图形,清晰表明出每项活动及其它活动的关系,用圆圈表明事件,用箭线表明活动,结果得到一幅箭线流程图,我们称之为PERT网络;

4、预期和计算每项活动的完成时间;
5、借助包含活动时间预期的网络图,管理者能够策划出包含每项活动开始和终结日期的全部项目的日程计划。在核心路线上没有松弛时间,沿核心路线的任何推迟都直接推迟整个项目的完成期限。
">编辑]PERT网络分析法的改进β分布及其性质
β分布是定义在区间(0,1)上的一个接连性随机变量,它的几率密度函数为

,其中p,q为β分布的两个形状参数,B(p,q)是以p,q为参数的贝塔函数.尽管β分布定义在(0,1)区间上,但经历仿射变换
Y =
a + (
b −
a)
X,可以使β分布定义在任何有限区间(a,b)上。β分布的灵活性极大,它可以用于一般发生的很多形式.比如区间(a,b)上的均匀分布就是参数p=1,q=1的贝塔分布,当参数p与q都趋于无穷时,β分布就趋于退化分布.此时,计划评审技术的时间预期就为精准的时间预计,进而就可以用核心路线法(CPM)去处理相关困难.β分布具有下方性质:
性质1若随机变量X服从(0,1)区间上的参数为p,q的β分布,则

,

。
性质2若随机变量X服从(0,1)区间上的参数为p,q的β分布,则随机变量X最有机会的取值为
x0 =
p − 1
p +
q − 2。
定义1随机变量X服从(0,1)区间上的参数为p,q的β分布,若
Y =
a + (
b −
a)
X,则称Y服从(a,b)区间上的参数为p,q的β分布。
性质3若随机变量Y服从(a,b)区间上的参数为p,q的β分布,则

,

。
性质4若随机变量Y服从(a,b)区间上的参数为p,q的β分布,则Y的最或许取值为

。
性质5随机变量Y服从(a,b)区间上的参数为p,q的β分布,则当p>q时,该分布为负偏,当p
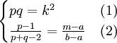
性质6若随机变量Y服从(a,b)区间上的参数为p,q的β分布,则当p,q越大时,该分布的峰度越大。改进后的计划评审技术计划评审技术中的活动期望时间(ET)公式和活动时间方差公式均为在活动时间被如果为服从参数为p=4,q=4的β分布时得到的,而该如果是基于下方两个前提,一是最或许时间的机会性4倍于乐观时间和悲观时间的机会性,二是最或许时间正好是乐观时间和悲观时间的平均值.事实在项目管理实践中,这两个前提都不一定成立,因此活动时间服从参数为p=4,q=4的β分布也是站不住脚的.那么,怎么才可使参数也趋于合理呢?很显然务必从如果的两个前提入手。第一,预期活动最或许时间时可以依据经验等预期最或许时间的机会性是乐观时间和悲观时间的机会性的倍数.该倍数越大,用于拟合活动时间的β分布的参数p,q也就越大,该倍数越小,用于拟合活动时间的β分布的参数p,q也就越小.看两种极端情形,若活动最或许时间的机会性是乐观时间和悲观时间的机会性的1倍,则可用参数p=1,q=1的β分布拟合活动时间,即用(a,b)区间上的均匀分布拟合活动时间.若活动的最或许时间的机会性无穷倍于乐观时间和悲观时间的机会性,则可用退化分布(单点分布)拟合活动时间,就是说对活动时间的预期是精准的。第二,从β分布的性质可以目睹,活动最或许时间在y0获得,而y0不一定是乐观时间和悲观时间的平均值,如此就不必用相等参数的β分布拟合活动时间,只有当最或许时间正好是乐观时间和悲观时间的平均值时,这时用相等参数的β分布拟合活动时间才是合理的,通过上述两点的分析,可对计划评审技术做如下改进。(1)不仅预期活动的最或许时间m,而且预期最或许时间的机会性为乐观时间和悲观时间的机会性的倍数的值k。(2)在前一步的基础上,用合理的参数的β分布去拟合活动时间,方法是:令pq = k2且y0 = m,即:
(3)(3)解此方程组,便可得到p,q的值,计算活动时间的期望时间ET和活动时间方差公式σ2如下:
,
(4)增长第一步是为了寻到更适合的B分布来拟合活动时间.第二步中方程组的(1)式是基于下方原理得到的,这个原理就是k值越大,用于拟合活动时间的β分布的p、q值越大.方程组的(2)式是由y0 = m经历变形得到的.第三步中的活动期望时间(ET)和活动时间方差(σ2)的公式是依据上一节的性质3得到的.方程组事实上组成一个一元二次方程,解此方程组,便得到参数p和q的具体值,不妨设解为p = p0,q = q0,如此就可以用p = p0,q = q0的β分布拟合活动时间.可以目睹当k=1,,
时,方程组的解为p=1,q=1,即用参数为p=1,q=1的B分布拟合活动时间.当k=4,
时,方程组的解为p=4,q=4.即用参数为p=4,q=4的β分布拟合活动时间.将p=4,q=4代入(4)式得到:
,
(5)可见计划评审技术是改进后的计划评审技术的特殊情况.有关方程组的解能否存在的困难,可由下列性质得到性质1上面方程组一定存在非负解,且非负解唯一证不妨令
,显然
,有方程(2)式得:
,代入(1)式得到(1 − c)p2 + (2c − 1)p − ck2 = 0,由于该一元二次方程的判别式
,故方程组存在解且存在唯一非负解。 PERT网络技术的作用 1、标识出项目的核心路径,以清晰项目活动的着重,便于优化对项目活动的资源分配;2、当管理者想计划缩短项目完成时间,节省成本时,就要把考虑的着重放在核心路径上;3、在资源分配发生冲突时,可适当调动非核心路径上活动的资源去支持核心路径上的活动,以最有效地保证项目的完成进程;4、采取PERT网络分析法所获结果的质量很大程度上取决于事先对活动事件的预期,若能对各类活动的先后次序和完成时间都能有较为精准的预期,则通过PERT网络的分析法可大大缩短项目完成的时间。 PERT网络分析法的优点和局限性 (一)时间网络分析法的优点1.是一种有效的事前控制方法。2.通过对执行时间网络分析可以使各级主管人士熟悉整个工作过程并清晰自己负责的项目在整个工作过程中的位置和作用,加强全局观念和对计划的接受程度。3.通过时间网络分析使主管人士愈加清晰其工作着重,将注意力汇聚在或许需要采取纠正措施的核心困难上,使控制工作愈加富裕有效。4.是一种计划优化方法。(二)时间网络分析法的局限性时间网络分析法并没有适用于所有的计划和控制项目,其应用领域具有较严格的制约。适用PERT法的项目务必同期具备下方条件:1、事前能够对项目的工作过程执行较精准的描述;2、整个工作过程有条件划分为相对独立的各个活动;3、能够在事前较精准地预期各个活动所需时间、资源。 PERT网络分析法的案例分析 PERT的案例一:办公楼的施工过程下面举一个例子来看明。假定你要负责一座办公楼的施工过程,你务必决定建这座办公楼需要多长时间。下表概括了首要事件和你对完成每项活动所需时间的预期。建筑办公楼的PERT网络
完成这栋办公楼将需要50周的时间,这个时间是通过跟踪网络的核心路线计算出来的。该网络的核心路线为:A-B-C-D-G-H-J-K,沿此路线的任何事件完成时间的推迟,全会推迟整个项目的完成时间。">编辑]PERT的案例二:工程机械类新产品开发过程1.工程机械类新产品开发流程在对工程机械类新产品执行核心路径的分析时,务必清楚了解其新产品开发的具体流程路线。本文以一种大型路面养护设备——路面铣刨机的开发流程为例执行讨论。应用并行工程方法,确定铣刨机产品的开发流程,见下图。铣刨机开发流程
注:□——表明某一流程;—→ ——表明流程的运行方向(运动流);---→ ——表明流程相互之间的信息反馈(信息流)。具体流程步骤如下:
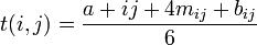
A ——前期的市场前景调研,包含:用户的需求、市场的前景预期及接受程度、当前有关产品的市场饱有量、可替代品的状态等;B——技术的可行性调研,包含:现有技术水平是否满足用户的需求、当前市场有关产品的技术水平、新技术的先进性水平等;C——成立跨部门的新产品研发小组,人士包含:机械专家、液压专家、电气专家、工业设计专家、采购人士、外协人士、财务人士、标准化人士、制造装配人士、法律专家、知识产权专家、用户等;D——拟定产品开发技术方案,确定产品开发项目任务书。包含:确定产品的功能和首要技术参数、成本预算、技术方案的确定即发动机、首要的液压元器件、电气控制元器件、产品的外观及主体结构的确定等;E——新产品试制工厂执行原材料备料及有关工装的制作;F——采购部门对订货周期较长的液压元器件、电气控制元器件等核心件执行采购订货。包含:发动机、分动箱、液压泵、液压马达、液压阀、降速机、电控元件等进口件);G——产品各个功能部件的结构细化设计。包含(机架部分、液压部分、电控部分、工作装置部分、发动机部分、行走传动部分、机罩及覆盖件部分、其余辅助部分等;H——产品试制施工图及有关技术文件的完成。包含:图纸的标准化和工艺审核、产品的PLM录入,产品的标准件明细表、外购件明细表、外协件明细表输出,产品在ERP中BOM的录入,产品标准文件、产品试验大纲及其余有关的技术文件;I——外协件和内协件的加工制作及有关零部件的工艺文件的编制。包含:车架、工作装置等结构件的加工制作,执行必要的工装设计,编撰材料定额和工时定额、工艺质量计划等工艺文件;J——采购部门对订货周期较短的非核心件以及标准件执行定购;K——新产品的试制、装配和调试。包含:整机的装配、各个功能部件的装配、试制过程中错误设计的改正、调试整机及其各个功能部件的正常运作和运动、编撰装配工艺、策划工时定额、完成试制归纳数据等;L——工业性考核和试验。考核整机的工作性能能否满足设计要求和用户的需求、考核各个功能部件的运作和运动情形;M——设计修改。针对试制、装配和调试过程中和工业性考核阶段显现的技术困难、设计困难、加工困难、装配困难、调试困难执行系统的修改;N——证实新产品开发成功,转入小批量生产。2.应用PERT方法对流程时间的预期在网络计划中最基本的参数是流程或工序的时间。一般来讲,流程时间是一个随机变量。在PERT方法中采取三时预期法。所谓三时预期法,就是预期流程三种完工的时间,即aij——最乐观完成时间指顺遂完成的最短时间、mij——能完成时间指正常情形下完成工序最或许的时间、bij——观完成时间指极不顺遂条件下完成的时间。通过对新产品开发过程的每一个流程执行时间的三种预期,可以对整个产品开发过程的时间作出相对精准的分析。进而对产品开发计划作出精准的完成几率预期。各流程的完成时间预期表
上表是铣刨机开发流程图确定的开发流程,对新型LX1300铣刨机开发过程的时间预期。即用下面公式来计算流程完成时间的均值:
其方差为:
所以一个新产品的完工期为核心路径上各流程时间之和。由几率论定理可知,新产品的完工期是一个服从正态分布的随机变量。其期望值为核心路线上各工序时间期望之和,即:
而均方差为:
3.新产品开发流程的核心路径的计算要确定工程机械类新产品开发流程中的核心路线,务必先找出核心流程。核心流程是指总时差为零的流程。核心路线是由核心流程连接而成的线路。从网络角度看,核心路线就是从起点至终点的最长路(箭头路长表明流程时间),它决定整个新产品开发时间的长短。通过核心路径的分析,我们可以清楚掌握各个流程的核心程度,可以计算出各个流程的最早开工时间和最迟务必开工时间等,以便策划计划者能够精准地作出计划安排,使资源最大化的优化配置。依据图1供应的新产品开发流程,作出新产品开发的核心路径分析的网络分析图图2所示。新产品开发的核心路径分析的网络分析图
依据事项最早时间的计算方法:从起点事项开始,设tE(1) = 0,表明流程从零时刻开工,然后自左至右逐渐计算各流程最早时间,直至终点流程。计算方法归纳如下:(1)tE(1) = 0;(2)从左至右计算;(3)
(
)(4)TE = tE(n)由表一供应的各流程的时间报告执行计算:tE(1) = 0
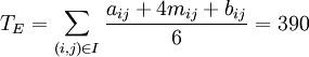
tE(4) = tE(2) + t(2,4) = 59tE(5) = tE(4) + t(4,5) = 104……tE(16) = tE(15) + t(15,16) = 3904.核心路径的确定由上面的计算得知:
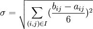
(天)即整个产品开发的完工期为390日,这个时间也为其核心流程的所需时间之和。自此可以确定这个流程的核心路径为下图所示。流程的核心路径
A→C→D→F→K→L→NTE = TA + TC + TD + TF + TK + TL + TN = 390(天)对于一个网络计划,只要计算出核心路线上的标准差δ和完工期的期望值TE,就能对给定某个时期内完成工程的机会性执行几率评价,通过令
查标准正态分布:
T——项目的计划完工期;TE——项目完期的的期望值;σ——项目各核心流程的方差之和。即可知整个开发流程在T时期内完成的几率。比如:假定开发LX1300新型路面铣刨机的时间计划为(一年)360日,按时完成开发任务的几率是多少呢?由上面分析可知:开发任务完成的期望时间为T8 = 390(天),T=360。由上表计算得出各个流程的方差,计算时需要核心流程的方差:则其标准差为:
=30.38
查标准正态分布表,得Φ( − 0.987) = 1 − Φ(0.9871) = 0.1611,则可知开发任务在360日内完成的几率为0.1611。依据对完工时间几率的分析,可以帮助计划任务策划者或者高层管理者对于整个产品开发的过程有一个预判,并能及时对全局有一个调控。6.核心路径的分析(一)流程核心路径的分析对于流程核心路径的分析,旨在缩短产品开发的时间,削减产品开发的费用。在保证一个新产品项目开发计划的前提下,即在不增长人力、物力的前提下,尽量缩短完工期,可以采取的措施有:(1)采取并行工程的方法:将核心流程分解为几项平行执行的子流程,或者使各个流程交叉作业。(2)压缩核心流程的时间:在流程的核心路径上采取改进技术、工艺和设备等措施,应尽量保证核心路径所需的人力,物力,财力和精力。当非核心流程与核心流程存在冲突时,非核心路径要尽或许让路,以便缩短核心流程时间。(3)在非核心流程上尽量挖掘潜力:利用非核心流程的时差执行合理调度。抽调人力,物力支援核心工序,缩短核心工序时间。(二)对于LX1300铣刨机开发核心流程的分析依据上面的分析,路面铣刨机开发过程的核心流程为下图所示:在对整个开发流程的分析中,发现流程F 、流程K 、流程L 对于产品开发工期影响最大。针对这3个流程对于LX1300铣刨机产品开发的影响首要表当下:铣刨机开发过程核心流程
(1)流程F:核心零部件的采购形成影响产品开发的核心原因之一。在当前世界经济一体化的大环境下,世界采购以及产品同质化的成长趋势,致使用户对于产品的质量和性能要求更高。特别是在工程机械类产品,其核心的液压元件、传动元件等核心零部件均来自国外知名公司。受于此类资源的奇缺性,致使了采购的周期长。此外,国内主机厂商的范围广泛较小;国外同行业已纷纷进入中国,正和国内厂商争夺优秀资源,而且具有好于国内厂商的竞争力;国内同行业正在优化采购管理和采购流程,使其日趋简单有效。这些均为产生国外提供商营销策略的倾斜,价格的不统一,订货时间长的原因。为了能加速产品的研发速度,改进流程F 对于产品开发影响的措施有:a.在产品开发流程的A,B 阶段,就务必对核心零部件的提供商执行必要的考查,核实其确定的供货周期和供货方式,以便对整个研发周期有一个清楚的预判;b.在保证知识产权的前提下,尽或许地让这些提供商也能参与到新产品的开发中来,让他们对新产品有清楚的认识和强烈的信心。如此就能与提供商执行很好的沟通与协作,与提供商建立战略伙伴关系,与提供商“双赢”, 然后由“双赢”向“四赢”(提供商、客户、主机厂、社会)发展;c.要有清晰的采购战略。主机厂和提供商之间的关系不仅仅是买卖关系,而是双赢的战略伙伴关系。对提供商的要求不仅仅是供应价格低廉的产品,而是期望提供商能为用户创造更大的价值,通过将开发和制造工艺转嫁给提供商,以缩短整车的开发周期,也降低了产品投入市场所需的成本。在当前世界化的同步采购的趋势下,不同的主机生产商应当依据自己的事实情形结合市场形式策划自己的提供商管理体系和世界采购战略。(2)流程K:工程机械类产品的零部件繁多,装配工艺复杂。在产品系列化、零部件的通用化和标准化方面差异很大,致使了产品在试制阶段的进展慢。当前,绝大部分主机厂商都有自己的研发结构,在设计的初期都用三维软件(如Proe,Soildworks,UG,CAXA等)做过模拟装配,又叫虚拟制造。但在事实的装配过程中仍存在一部分欠考虑的困难,显现了很多临时的加工任务和临时的采购任务,致使速度减缓。当前,较为事实的改进措施是:a.采取并行工程协调机制执行试制. 并行工程的工作方式是组织跨部门﹑多学科的开发小组,一起并行协同工作,对产品设计﹑工艺﹑制造等上下游各方面执行同期考虑和并行交叉设计,及时地交流信息,使各种困难早日暴露,并共同加以处理。如此就使产品开发时间大大缩短,同期新产品质量和成本都得到改观。也就是说,产品设计部门不仅要考虑本身的目标,还要考虑整个产品生命周期中从概念形成到报废处理的所有原因,包含产品质量﹑制产生本﹑进程计划,充分利用企业的一切资源,最大限度地满足用户的要求;b.提升产品的系列化、零部件的通用化和标准化的程度,扩大产品结构继承性;c.产品结构模块化是其他简化设计、降低零部件总数的设计合理化措施。它是将产品部件按功能特质分解成相对独立的功能单元,并使他们的接口(结合要素形状、尺寸)标准化,使它们形成可以互换、可按不同用途加以选用组合的标准模块这些模块的不同结合,或模块与其它部件的组合就能组成各种变形产品,以满足不同的订货需要。 (3)流程L:受于工程机械类产品的工作条件恶劣,工作情形复杂,部件的运动复杂,设备的正常运作要求机、电、液的整体配合,协作程度高.这就要求这类新产品的工业性考核的时间长而且力度大。在此流程中显现时间过长首要是由下方几方面产生的: 寻求试验场地的时间及运输时间。显现困难后的整改时间(包含多次显现困难,多次整改)和运输时间。处理困难时的临时加工和临时采购时间。受于显现困难是不可预见的, 此流程的时间预期是最不可预期的.在具体的试验时,应提早准备易损件和经常需要更换的部件, 以降低采购时间. 此外,让用户也参与新产品的开发,设计团队就可以充分利用他们对于产品应用的各种复杂工况的经验来设计产品,保证产品的牢靠性。通过对工程机械类新产品的核心路径分析,可以找出影响其新产品开发速度的核心路径。主机厂商可以结合本身的事实情形,对核心路径执行分析,而且得出缩短核心路径的策略和方法,进而保证其新产品迅速上市,快速占领市场。 有关阅读 CPM(核心路径法)和PERT是50年代后期差不多同期显现的两种计划方法。伴随科学技术和生产的快速发展,显现了很多庞大而复杂的科研和工程项日,它们工序繁多,协作面广,常常需要动用大批人力、物力、财力。所以,如何合理而有效地把它们组织起来,使之相互协调,在有限资源下,以最短的时间和最低费用,最好地完成整个项目就形成一个突出的重要困难。CPM和PERT就是在该种环境下显现的。这两种计划方法是分别独立发展起来的,但其基本原理是统一的,即用网络图来表达项目中各类活动的进程和它们之间的相互关系,并在此基础上,执行网络分析,计算网络中各类时间多数,确定核心活动与核心路线,利用时差持续地调整与优化网络,以求得最短周期。然后,还可将成本与资源困难考虑进去,以求得综合优化的项目计划方案。因这两种方法均为通过网络图和相应的计算来反应整个项目的全貌,所以又叫做网络计划技术。另外,后来还相继提出了一部分新的网络技术,如GERT(Graphical Evaluation and Review Technique,图示评审技术),VERT(Venture Evaluation and Review Technique,风险评审技术)等。应当采取哪一种进程计划方法,首要应考虑下列原因: ①项目的范围大小。很显然,小项目应采取简单的进程计划方法,大项目为了保证按期按质高达项目目标,就需考虑用较复杂的进程计划方法。 ②项目的复杂程度。这里应当注意到,项目的范围并没有一定总是与项目的复杂程度成正比。比如修一条公路,范围尽管不小,但并没有太复杂,可以用较简单的进程计 划方法。而研制一个小型的电子仪器,要很复杂的步骤和很多专业知识,或许就需要较复杂的进程计划方法。 ③项目的紧急性。在项目急需执行,尤其是在开始阶段,需要对各类工作公布指示,以便早日开始工作,此时,假使用很长时间去编制进程计划,就会延期时间。④对项目细节掌握的程度。假使在开始阶段项目的细节无法解明,CPM和PERT法就无法应用。 ⑤总进程能否由一、两项核心事项所决定。假使项目执行过程中有一、两项活动需要花费很长时间,而这阶段可把其余准备工作都安排好,那么对其余工作就不必编 制详细复杂的进程计划了。 ⑥有无相应的技术力量和设备。比如,没有计算机,CPM和PERT进程计划方法有时就很难应用。而假使没有受过不错训练的合格的技术人士,也无法胜任用复杂的方法编制进程计划。另外,依据情形不同,仍需考虑客户的要求,能够用在进程计划上的预算等原因。见底采取哪一种方法来编制进程计划,要全面考虑以上各个原因。 有关链接 模糊型计划评审技术(F-PERT)蒙特卡洛模拟(Monte Carlo Simulation,MCS)参考文献
↑ 黄伟.计划评审技术(PERT).系统工程与电子技术.1979年01期
↑ 文平.计划评审技术的改进.数学的实践与认识.2007年21期
↑ 龚策 陈继学.产品开发流程的计划评审技术面.建设机械技术与管理.2008年01期