什么是网络图 (Network planning)
网络图(Network planning)是一种图解模型,形状如同网络,故称为网络图。网络图是由作业、事件和路线三个原因构成的。

网络图的构成内容 一、作业 (Activity)
作业,是指一项工作或一同工序,需要消耗人力、物力和时间的具体活动过程。在网络图中作业用箭线表明,箭尾i表明作业开始,箭头j表明作业终结。
作业的名称标注在箭线的上面,该作业的连续时间(或工时)Tij标注在箭线的下面。有些作业或工序不消耗资源也不占用时间,称为虚作业,用虚箭线()表明。在网络图中设立虚作业首要是显示一项事件与另一项事件之间的相互依存相互依靠的关系,是属于逻辑性的联系。

二、事件 (Event)
事件,是指某项作业的开始或终结,它不消耗任何资源和时间,在网络图中用 “○”表明,“○”是两条或两条以上箭线的交结点,又称为结点。网络图中第一个事件(即○)称网络的起始事件,表明一项计划或工程的开始;网络图中最后一个事件称网络的终点事件,表明一项计划或工程的完成;介于始点与终点之间的事件叫做中间事件,它既表明前一项作业的完成,又表明后一项作业的开始。为了便于识别、检查和计算,在网络图中往往对事件编号,编号应标在“○”内,由小到大,可接连或间断数字编号。编号原则是:每一项事件都有固定编号,号码不能重复,箭尾的号码差于箭头号码(即i
三、路线 (Path)路线,是指自网络始点开始,顺着箭线的方向,经历一连串接连持续的作业和事件直至网络终点的通道。一条路线上各类作业的时间之和是该路线的总长度(路长)。在一个网络图中有很多条路线,其中总长度最长的路线称为“核心路线”(Critical path),核心路线上的各事件为重要事件,核心时间的周期等于整个工程的总工期。有时一个网络图中的核心路线不止一条,即若干条路线长度相等。除核心路线外,其它的路线统称为非核心路线。核心路线并没有是一成不变的,在适当的条件下,核心路线与非核心路线可以相互转化。比如,当采取适当的技术组织措施,缩短了核心路线上的作业时间,就有机会使核心路线发生转移,即以前的核心路线变成非核心路线,就在此时,以前的非核心路线却变成核心路线。 绘制网络图的基本规则 绘制网络图务必严格遵循下列基本规则:1、网络图中不能显现循环路线,否则将使构成回路的工序永远不能终结,工程永远不能完工。2、进入一个结点的箭线可以有多条,但相邻两个结点之间只能有一条箭线。当需表明多活动之间的关系时,需增长节点(Node)和虚拟作业(Dummy activity)来表明。如下图1所示:
3、 在网络图中,除网络结点、终点外,其它各结点的前后都有箭线连接,即图中不能有空缺,使自网络始点起经由任何箭线都可以高达网络终点。否则,将使某些作业失去与其紧后(或紧前)作业应有的联系。4、箭线的首尾务必有事件,不允许从一条箭线的中间引出另一条箭线。5、为表明工程的开始和终结,在网络图中只能有一个始点和一个终点。当工程开始时有几个工序平行作业,或在几个工序终结后完工,用一个网络始点、一个网络终点表明。若这些工序不能用一个始点或一个终点表明时,可用需工序把它们与始点或终点连接起来。6、网络图绘制力求简单明了,箭线最好画成水平线或具有一段水平线的折线;箭线尽量避免交叉;尽或许将核心路线布置在中心位置。 网络图作业之间的逻辑关系 依据网络图中相关作业之间的相互关系,可以将作业划分为:紧前作业、紧后作业和交叉作业。1、紧前作业,是指紧接在该作业以前的作业。紧前作业不终结,则该作业不能开始。2、紧后作业,是指紧接在该作业之后的作业。该作业不终结,紧后作业不能开始。3、平等作业,是指能与该作业同期开始的作业。4、交叉作业,是指能与该作业相互交替执行的作业。下图1反应了网络图中各作业之间的关系。假定C作业为该作业。
其中,A作业为C作业的紧前作业。B、C、D三作业同期开始,B、D作业为C作业的平行作业。E作业在C作业完成之后才可开始,E作业为C作业的紧后作业。F、G作业为C作业的交叉作业,G交叉作业务必在紧后作业E与交叉作业F完成后才可开始。网络图中作业之间的逻辑关系是相对的,不是一成不变的。只有指定了某一确定作业,考察它的与之相关各类作业的逻辑联系,才是故意义的。">编辑]网络图的绘制一、网络图的元素任何一项任务或工程均为由一部分基本活动或工作构成的,它们之间有适当的先后顺序和逻辑。用带箭头的线段“→”来表明工作,用节点“○”来表明2项工作的分界点。按工作的先后顺序和逻辑关系画成的工作关系图就是一张网络图。每一个节点称为“事项”,它表明一项工作的终结和另一项工作的开始,除了一个总开始事项和归纳束事项。在节点中可标上数字,以便于注明哪项工作的终结和哪一项工作的开始。图1表明某一项工程由10项工作构成,共有10个结点,第①节点表明项目开始,第⑩节点表明终结。
二、作业所需的时间网络图中务必要注明时间。网络图中有不同的时间参数,其确定的方法如下:(1)凭经验能清晰知道时,可用其经验值。(2)在没有经验的作业或包含不确定原因的作业中,应把它看成统计值。用三点时间预期法。如或许遇到意想不到的困难,进而相应的活动周期比预想的要长,也有机会事情进度得比预期要顺遂,相应的活动提早完成了。将这类未知性加入我们的分析是有事实意义的,这就是项目评审技术(PERT)所要解决的。经验显示,一项作业的周期往往可以用β分布来描述。该种分布看上去是一个倾斜的正态分布,具备一种很有用的特性——其均值和方差可以通过估算3种时间而求得:To——乐观分析所需时间;Tm——大约预期的时间;Tρ——悲观预期所需时间。作业期望的时间和方差可依据六分之一原则(rule of sixths)来计算:期望时间E = (To + 4Tm + Tp) / 6方差=(Tp − To)2 / 36如果某作业所需的时间是几率变量,几率密度如图2所示β分布,几率密度ρ(To) = ρ(Tρ) = 0,ρ(Tm)为最大值。则均值E与方差σ2由下式计算:E = (To + 4Tm + Tρ) / 6σ2 = (Tρ − To)2 / 36就被取为作业所需的时间。为简便起见,在以后的阐述中只处理平均所需日数,而不考虑方差。在下方分析中,设i和j为两个相邻节点,则作业(i,j)所需的时间记作T(i,j)。
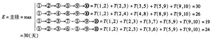
三、网络中的要径确定在网络图中,从入口到出口的最长路径,就称作要径。全部工程所需时间不或许比它更短。也就是说,要径上的各作业所需时间的总和为该工作的最短工期。要径以外的作业受于日程有富有,即便前后略微移动时间,整个工期也不会更改。所以,可以执行调整以满足劳力和设备的制衡条件。对图1中所示的网络图中,核心路线为:
主径为①→②→③→⑤→⑨→⑩。对于接连执行的作业,而且每一项作业的时间与其余作业的时间不有关,则整个工程的时间服从正态分布。全部工程所需的日数期望值E和方差σ2可依据中心极值定理由下式决定:均值为核心路径上所有作业的期望值之和
。方差为核心路径上所有作业的方差之和
;所以,主径上的所有作业时间之和30日就是图1所示的工程的最短工期。 网络图案例分析 ">编辑] 案例一:网络图在施工中的应用 伴随现代科学技术的迅猛发展、管理水平持续提升.建设范围的日益扩大.要求计划、生产管理的方法也务必科学化和现代化。施工企业要想对~个复杂的工程项目执行有效的管理,务必依靠于进程计划网络计划技术符合统筹兼顾、适合安排现代化大生产的组织管理和科学研究的需要,所以,在现代化大生产的组织管理中该方法正在逐渐替代传统的横道图计划管理方法。长期以来,都觉得计划工作是为安排施工进程和组织流水作业服务的,与成本控制的要求和管理方法截然不同。其实,成本控制与计划管理、成本与进程之间则有着必然的同步关系。即施工到什么阶段就应当发生相应的成本费用。为了便于在分部分项工程的施工中同期执行进程与费用的控制掌握进程与费用的改变过程。1.详细计算工程量并作预算以某高速公路特大桥为例,中标以后.施工单位要成立专门的项目小组,详细的划分施工前的预案工作。首先应当组合2~3人(依据工程量大小决定人数)执行施工图纸工程量的核实,认真计算出相应招标图纸和施工图纸的对比表,施工图纸总工程量表和施工图细目表的对比统计表以便在施工过程中执行变更有资料根据。等工程量核实后.应安排专业预算人士依据企业内部生产率的情形和施工方法编制预算,施工预算是施工单位执行成本控制与成本核算的根据也是施工单位执行劳动组织与安排,以及执行材料和机械管理的根据,对施工组织和施工生产有着极为重要的作用。施工单位依据施工图计算的分项工程量、施工定额、施工组织设计或分部分项工程施工过程的设计及其余相关技术资料,通过工料分析,计算和确定完成一个工程项目或一个单位工程或其中的分部分项工程所需的人工、材料、机械台班消耗量,为施工组织设计供应必要的经济文件。2.确定各单位工程的相互搭接关系和开、竣工时间(1)详细划分施工工序依据各施工单位的具体条件参考相关定额确定分部分项工程的施工时间。施工工程生产既有其自身的客观规律,也有施工工艺及其技术方面的规律,遵循施工过程的接连性、协调性、均衡性和经济性的原则组织施工.能保证各类施工活动的紧密衔接和相互促进,保证工程质量加速施工速度,就在此时也应顾虑到施工预算对分部分项工程的划分的同步,原则上应与施工工序相相符,以便与今后的生产班组的任务安排和施工任务单的签发获得统一。(2)确定施工方案详细安排各建筑物和结构物的搭接施工时间依据总工程量和施工开工、竣工时间简单计算各类工序所需要的时间,并用横道图表明出来,计算出平均日产能,在保证施工进程顺遂完成的前提下执行施工方案的选择。施工方案的选择是施工组织设计中最重要的环节之一.是决定整个工程全局的核心.所以在选择施工方案时.应综合考虑整个工程施工的进度、人力和机械的需要和布置、工程质量及施工安全、工程成本、现场的情况等原因。二、熟悉网络图的规则利用软件绘制网络图以上前期工作已做完,下面应利用综合知识绘制施工进程图,施工进程图示意图表表明的首要形式有:横道图法、垂直图法和网络图法三种.网络图比前两种方法比较,不但能反应施工进程,而且能清楚的反应出各个工序、各施工项目之间锚综复杂的相互联系、相互制衡的生产和协作关系能执行各种时间参数的计算:在名目繁多、错综复杂的计划中找出决定工程进程的核心工作.选出最优方案,所以.这是一种比较先进的工程进程图的表明形式,下面简单介绍网络图中单代号网络的画法。1.网络图要素节点:表明工作的开始、终结或连接关系,也称为事件。箭线:其方向表明工作执行的方向;虚工作用虚箭线表明。线路两节点之间的通路叫线路。核心线路用双箭线表明。工作时间:工作代号一般写在箭线的上方或左方工作时间一般写在箭线的以下或右方。2.网络计划图的绘制规则在网络图的开始和终结增长虚拟的起点节点和终点节点。这是为了保证单代号网络计划有一个起点和一个终点,这也是单代号网络图所特有的。网络图中不允许显现循环回路。网络图中不允许显现有重复编号的工作.一个编号只能代表一项工作。在网络图中除起点节点和终点节点外.不允许显现其余没有内向箭线的工作节点和没有外向箭线的工作节点。为了计算方便,网络图编号应后继节点编号大于前序节点编号。3.网络时间的计算计算各工序的ES、EF(自起点向终点计算)。ES(最早开始时间)=各紧前工序EF的最大值(默认:首道工序的ES=O)。EF(最早完成时间)=目前工序的ES+T(目前工序的工作时间)。计算各工序的LS、LF(自终点向起点计算)。LF(最迟完成时间)=各紧后工序LS的最小值(默认:尾道工序的LF=尾道工序的EF)。LS(最迟开始时间)=目前工序的LF-T(目前工序的工作时间)。确定总工期(Td)Td=LFn(尾道工序的LF)。计算各工序的TF(总时差)。FF=目前工序的LS·目前工序的ES=目前工序的LF一目前工序的EF。确定核心线路(核心工序)所有TF=O的工序都是核心工序,用双箭线表明。计算各工序的FF(自由时差)FF=各紧后工序ES的最小值·目前工序的EF(默认:尾道工序的FF=O)三、网络计划调整(工期-成本优化)整个网络图绘制完成后应依据工期、成本对其调整.使其高达优化。成本就是确定最优组合方式的一个重要技术经济指标。工期一成本优化就是应用前述的网络计划方法,在一定约束条件下综合考虑成本与工期两者的相互关系,以期高达成本低,工期短如此的结合点。一般用间接费曲线(间接费用和时间成正比关系的曲线,一般用直线表明)和直接费曲线(表明直接费用在一定规模内和时间成反比关系的曲线)表明。依据优化循环的结果和间接费用率绘制直接费、间接费曲线。并由直接费和间接费曲线迭加确定工程成本曲线,曲线上的最低位就是工程计划的最优方案之一,求出其最佳工期最优成本。间接费曲线依据已给的费用改变率(曲线斜率)和在极限工期时的值即可确定。将直接费曲线和间接费曲线对应点相加.即可得出工程成本曲线上的对应点。将这些点连接起来就得到工程成本曲线。从曲线上可以确定最佳工期。网络图计划的进程与成本的同步控制,在施工进程的安排上更具逻辑性,而且可在破网后随时执行优化和调整,因此对每道工序的成本控制也更为有效。同期在网络图中目睹每道工序的计划进程与事实进程、计划成本与事实成本的对比情形.同期也可清楚地看出今后控制进程、控制成本的方向。所以,这是一种比较先进的工程进程图的表明形式,在现代施工中应广泛运用。 参考文献
↑ 顾凯平.第六章 项目管理-时间管理 系统科学与工程导论.2008.第124页
↑ 李亚莎.网络图在施工中的应用.交通世界.2008(21)