什么是核心竞争力分析模型?
1990年,美国著名管理学者加里·哈默尔和普拉哈拉德的核心竞争力(Core Competence)模型是一个著名的企业战略模型,其战略流程的出发点是企业的核心力量。
他们觉得,伴随世界的成长改变,竞争加重,产品生命周期的缩短以及世界经济一体化的增强,企业的成就不再归功于暂时的或偶然的产品开发或灵机一动的市场战略,而是企业核心竞争力的外在表现。依照他们给出的定义,核心竞争力是能使公司为客户导致特殊利益的一种独有技能或技术。
企业核心竞争力是建立在企业核心资源基础上的企业技术、产品、管理、文化等的综合优势在市场上的反应,是企业在运营过程中形成的不易被竞争对手仿效、并能导致超标利润的独特能力。在激烈的竞争中,企业只有具有核心竞争力,才可得到持久的竞争优势,维持长盛不衰。
自内而外的企业战略(Inside-out Corporate Strategy)
传统的自外而内(Outside-in)战略(比如:波特五力分析模型),总是将市场、竞争对手、消费者置于战略设计流程的出发点上。核心竞争力理论正好与其相反,觉得从长远来说,企业的竞争优势取决于企业是否以低成本、并以胜过对手的进展构建核心竞争力。核心竞争力能够造就料想不足的产品。竞争优势的真正源泉是企业环绕其竞争力整合、巩固工艺技术和生产技能的能力,据此,小企业能够迅速调整适应改变了的商业环境。核心竞争力是具体的、固有的、整合的或应用型的知识、技能和立场的各种不同组合。
Hamel和Prahalad在他们的《企业核心竞争力》(The Core Competence of the Corporation,1990)一文中,驳斥了传统的组合战略。 依据他们的看法,把战略事业单元(SBU)放在首位,是一个显著的时代错误。 Hamel和Prahalad觉得,应当环绕共享的竞争核心来构建企业。
|
SBU的设置务必要有利于加深发展企业的核心竞争力。 企业的中心部门如财务不应当作为一个独立方面,它要能够为企业的战略体系链接、竞争力构建增长价值。
核心竞争力的识别标准
企业核心竞争力的识别标准有四个:
1. 价值性。该种能力首先能很好地达到顾客所看重的价值,如:能明显地减弱成本,提升产品质量,提升服务效率,增长顾客的效用,进而给企业导致竞争优势。
2. 稀缺性。该种能力务必是稀缺的,只有少数的企业拥有它。
3. 不可替代性。竞争对手无法通过其余能力来替代它,它在为顾客创造价值的过程中具有不可替代的作用。
4. 很难模仿性。核心竞争力还务必是企业所特有的,而且是竞争对手很难模仿的,也就是说它不像材料、机器设备那样能在市场上买入到,而是很难转移或复制。该种很难模仿的能力能为企业导致胜过平均水准的利润。
识别核心竞争力的三个试探
1. 为企业供应通向广阔的多样化市场的潜在通道。
2. 使企业能够从生产顾客所需产品中得到重大回报。
3. 竞争者很难复制。
构建核心竞争力
核心竞争力的构建是通过一连串连续提升和加深来达到的,它应当形成企业的战略核心。 从战略方面来讲,它的目标就是帮助企业在设计、发展某一独特的产品功能上达到世界领导地位。
企业高管在SBU的帮助下,一旦识别出所有的核心竞争力,就务必要求企业的项目、人士都务必紧紧环绕这些竞争核心。 企业的审计人士的职责就是要清楚环绕企业竞争核心的人士配置、数量以及质量。 肩负企业核心竞争力的人士应当被经常组织到一起,分享交流思想、经验。
核心僵化?
务必注意不能使企业的核心竞争力发展形成僵化的核心。 对于企业来看,学习培养一个竞争核心难,遗忘一个竞争核心同样问题。 企业不遗余力地构建了一项核心竞争力,有时候却又或许忽视了新的市场环境和需求, 在该种情形下,企业则面对着固步自封的危险。
">编辑] 核心竞争力分析模型在企业中应用
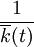
测度企业集群的核心能力以及分析相应的竞争优势,是我们寻求企业集群竞争力影响要素的目的。为此,利用宏观经济上涨的索罗模型,来构建区域经济中企业集群竞争优势的分析模型。通过对企业集群的总资本、集群的范围、技术几个首要影响要素执行定量分析,从中寻到衡量集群间竞争优势的方法。假定在某个区域中,企业集群的竞争优势为Y(在一定程度上以产能来衡量),企业集群的总资本为K,技术进步水平为A,企业集群的范围为N(以集群内厂家的个数来代表范围这个特质),产业附加值比例为s,则sY表明某一特定的利润水平(以行业利润率衡量),集群内厂家的年上涨率n,技术上涨率g,净投资

(即利润水平-损耗水平),则在损耗水平可忽视不计的情形下,

1.集群竞争优势函数及其如果。相似于生产函数的定义,我们将集群的竞争优势表明为:
Y=
Ka(
NA)1 −
a (0
为了研究方便,我们如果(1)企业集群竞争优势函数满足范围报酬不变原则;(2)技术原因是外生的(系统内无法更改),且以固定的比例上涨,存在关系如下:A=A0egt,对等式两边先求对数,然后对时间(t)求导,并将
用A表明,即得技术平均年上涨率为一常数,
= g。2.模型推导。(1)将公式1等式两端同期除以AN,表明在不考虑技术情形下的单位企业资本。用
表明
,以
表明
,及
=
。该式的含义为群内单位企业竞争优势对技术的比率=Bα(B是单位资本对技术的比例)。受于
=
,对等式两边求对数,再对时间(t)求导,则

=
×
-
×
-
×
简化为:
=
-
-
其中:
表明单位企业资本年上涨率;
表明集群资本总量年上涨率;
\A表明集群技术年上涨率,即g;
表明集群内企业个数年上涨率,即n。(3)代入
=
-
-
=
-g-n,等式两边同乘以
,其中
为单位企业资本增长量。(4)索罗模型在企业集群竞争优势方面的形式
若使集群竞争优势高达平衡状态,即
,又由于
为
,则
.由公式可知,集群的竞争优势和g,s,n三原因紧密相关。s越大,即行业附加值比例越高,集群的竞争优势越显著;g越大,即技术上涨率越高,集群的竞争优势越显著;n越小,即集群内厂家的年上涨率越低,集群的竞争优势越显著。自此可以得出结论,集群企业应选择附加值高的特色产业,重视技术改进和创新,平稳群内企业的状态,避免大幅波动。这里顾虑到Y的很难预期性,应依据事实的集群情况,确定出一个行业内竞争优势的平均标准
,当某一集群依据模型计算出竞争优势Y后,经Y与
执行比较,从而确定该集群在该行业中的竞争地位。当
时,该集群在行业内的竞争力要比行业平均水准强。可以预见,将来社会企业与企业之间联合、合作的规模将令更广,层次将令更深。受于集群企业具有较单个企业更为稳固的双层核心竞争力及自此体现出的明显优势,集群企业将令形成将来商业竞争的首要载体,评估影响企业集群竞争优势的原因也就体现出其更现实、更实用的价值。 核心竞争力分析模型案例分析 ">编辑]案例一:沃尔玛的核心竞争力分析沃尔玛从建店伊始经历四十余年的成长,已经形成美国最大 的私人雇主和世界上最大的连锁零售商。2002-2005年在《财富》世界500强中接连4年位居榜首。沃尔玛在长期的运营过程中,形成了自己独特的运营之道,并渐渐形成了自己的核心竞争力。其核心竞争力及其培育之道,可以归纳为下方几个方面: 一、天天平价——低成本核心竞争力的培育 零售业的核心是顾客满意度。“天天平价”作为沃尔玛长期奉行的运营宗旨,也正是沃尔玛着眼于顾客的举措。这里的平价不是定期或不定期的减价促销活动,而是长期平稳的维持商品低加价率。要保证低价格竞争战略的实行,核心是低成本核心竞争能 力的培育,其前提就是要从各个环节减弱成本: 1.控制进货成本 进货成本是零售企业成本控制的核心。在进货方面,沃尔玛采取了下方减弱成本的做法:一是采取中央采购制,尽量实施统一进货。特别是对在世界规模内销售的高知名度商品,如可口可乐、柯达胶卷等,沃尔玛一般是将一年销售的商品一次性签订采购合同。集中采购提升了企业与提供商谈判中的议价能力,有利 于减弱商品采购成本。二是和提供商采取合作的立场。沃尔玛除 宣布不收取提供商的任何进场费用之外,还主动为提供商供应必 要的信息技术支持,通过电脑联网,达到信息共享。提供商可以 第一时间了解沃尔玛的销售和存货情形,及时安排生产和运输。提供商因效率的提升而成本减弱,沃尔玛也依靠提供链管理获得了成本优势,将从中得到的优惠让利给顾客。 2.控制物流成本 物流成本控制是衡量零售企业运营管理水平的重要标志,也是影响零售企业运营成果的重要原因。沃尔玛建立了强大的配送中心系统,拥有全美最大的公司卫星通讯系统和最大的公司运输车队,所有分店的电脑部和总部相连,配送中心达到全自动化运行。沃尔玛正是通过信息流对物流、资金流的整合、优化和及时处理,达到了有效的物流成本控制。 3.减弱运营成本 沃尔玛的成本控制体当下任何细小的环节上。在沃尔玛的各线管理人士办公场所里,看不足昂贵的办公用品、家具和地毯,也没有豪华的装饰。沃尔玛明文规定,职员因工外出时,需两人住一间汽车游客旅馆;商店里诸如照明设施、空调设备等出于节约能源和减弱成本的考虑,也实施统一管理;公司还激励雇员尽 力为节省支出出谋划策,并没有断奖励和提拔那些在损耗控制、货品陈列和商品促销有创意的雇员;沃尔玛尽量降低广告费,他们 觉得维持“天天平价”就是最好的广告。沃尔玛的全体工作人士自上而下都要为缩减成本付出,大型缩减成本的措施和上百条削 减成本的小技巧相辅相承,致使沃尔玛的运营成本大大差于其它 同行业竞争者。正是通过这些措施沃尔玛成功地控制成本,持续 培育其低成本核心竞争力,为“天天平价”供应有力保证。 二、顾客至上——优质服务能力的培育 市场竞争的严峻事实告诉我们,任何企业如不以满足顾客需要为中心将无法生存下去。对零售业来看,则更是这样。沃尔玛即深谙此理,将“顾客至上”排在公司目标的第一名。 只要相关顾客利益,沃尔玛总站在顾客的一边,尽力维护顾客的利益。这一点反应在同提供商的关系上尤为突出。沃尔玛始终站在消费者采购代理的态度上,苛刻地挑选提供商,顽强地讨价还价,目的就是做到在商品齐全、品质有保证的前提下向顾客供应价格低廉的商品。 沃尔玛的顾客关系哲学是:顾客是老板,顾客永远是对的。每个初到沃尔玛的雇员都被谆谆告诫:你不是在为主管或者经理工作,其实你和他们没有什么区别,你们共同拥有一个“老板”——那就是顾客。为使顾客在购物过程中自始至终地感觉到愉快,沃尔玛要求其雇员的服务要超越顾客的期望值:要主动把顾客带到 他们找寻的商品前,并非是仅仅给顾客指一指;主动与顾客热情打招呼,询问其能否需要帮助;雇员要熟悉自己部门商品的性能优点、特点和价格高低,保证顾客趁兴而来,满意而归。 沃尔玛一贯重视营造不错的购物环境,经常在商店开展种类丰富且形式多样的促销活动。如社区慈善捐助、娱乐表演、季节商品酬宾、竞技比赛、幸运抽奖、店内特色娱乐、特色商品展览 和推介等,吸引广大的顾客。在沃尔玛,每周都执行顾客期望和反应的调查,管理人士依据收集到的顾客反馈信息即时更新商品的组合,组织采购,改进商品陈列摆放、营造舒适的购物环境,使顾客在沃尔玛不但买到称心如意的商品,而且得到满意的全方位的购物享受。 公司还为顾客供应“无条件退货”保证。在美国只若是从沃尔玛买入的商品,无任何理由,甚至没有收据,沃尔玛都无条件受理退货。高品质服务代表着顾客永远是对的。沃尔玛宁可要回一件不满意的商品,而不愿失去一名不满意的顾客。 正是该种时刻把顾客需要放在第一名,对待顾客的优良服务品质,使沃尔玛赢得了顾客的信任,进而导致了重大回报。 三、高效的物流配送系统 有效的商品配送是保证沃尔玛高达最大销售量和最低成本的 存货周转及费用的核心。作为一种经历长期培育而形成的核心竞争力,高效快捷的物流配送系统为沃尔玛赢得了竞争优势,是沃尔玛成功的保证。 1969年,沃尔玛建立了第一个配送中心。当前,沃尔玛的配送中心已经高达62个,为世界4000多个店铺供应配送服务,整个公司销售商品的85%由这些配送中心提供。沃尔玛完整的物流 系统不仅包含配送中心,仍有更为复杂的资料输入采购系统、自动补货系统等。如下图所示。
沃尔玛还拥有全美最大的公司运输车队,车队采取电脑执行车辆调速并通过世界卫星定位系统对车辆执行定位追踪,保证了灵活性和为一线商店供应最好的服务,组成其供货系统的其他无可比拟的优势。进货从仓库到任何一家商店的时间不胜过48小时,相对于其余同业商店平均每两周补货一次,沃尔玛可保证分店货架平均每周补货两次。迅速的送货,使沃尔玛各分店即便只保持极少存货也能维持正常销售,进而大大节省了存贮空间和费用。 沃尔玛的配送中心完全达到了自动化。配送中心的每种商品都有条码,由十几公里长的传送带传送商品,由激光扫描器和电 脑跟踪每件商品的储存位置及运送情形,传送带直接将货物传送到正确的卡车上。很多商品在配送中心停留的时间总计不胜过48 小时。配送中心每年处理数亿次商品,99%的订单正确无误。 4.管理手段的信息化 信息共享是达到提供链管理效益的基础。一条提供链要解决到上中下游各环节协调,务必先在各环节主体间建立和运行高质量的信息传递与共享系统。沃尔玛公司在信息技术方面的投资不遗余力,它斥巨资建成了公司的电子信息系统,卫星通信系统,电子报告交换系统等,使自己在技术方面始终遥遥领先。利用先进 的电子通信手段,沃尔玛可以维持商店销售与配送中心同步,配送中心与提供商同步。沃尔玛管理手段的高度信息化加强了公司的核心竞争力,对其成功功不可没。 20世纪90年代初,沃尔玛就在公司总部建立了庞大的报告中心,全集团的所有店铺、配送中心也与提供商建立了联系。厂商通过这套系统可以进入沃尔玛的电脑配销系统和报告中心,直接从POS得到其提供的商品流通动态情况,如不同销售点及不同商 品的销售数据统计,沃尔玛各仓库的存货和调配情况,销售预期、电子邮件及付款通知等等,以此作为安排生产、供货和送货的根据。生产厂商和提供商都可通过这个系统查阅沃尔玛产销计划,进而达到了迅速反映的提供链管理。 全美最大的公司卫星通信系统,伴随店铺范围的扩张发挥了 极大的优势。这套系统的应用,使配送中心、提供商及每一分店的每一销售点都能形成连线作业,在短短数小时内便可完成“填妥订单——各分店订单总览——送出订单”的整个流程,大大提升了运营的高效性和精准性。世界4500多个店铺的销售、定货、库存情形可以随时调出查问。公司5500辆运输卡车,全部装备了卫星定位系统,每辆车在什么位置,装载什么货物,目的地是什么地方,总部一目了然。可以合理安排运量和路程,最大限度地发挥运输潜力,避免浪费,减弱成本,提升效率。 2003年,沃尔玛又宣称与IBM合作,建立世界采购和物流控 制的互联网统一标准平台。这代表着Wal-Mart从传统昂贵的放 “卫星”的EDI信息交换方式改为更先进和便宜的互联网网络技 术 Wal-Mart的网络系统将愈加细微和发达。正是在信息技术的 支持下,沃尔玛才可以最低的成本,最优质的服务、最迅速的管理反映执行世界运转。 5.独特的企业文化 沃尔玛一贯强调忠诚付出的雇员对公司运营成功的重要性,觉得善待每一名雇员才可善待每一名顾客。在沃尔玛,公司雇员不被称作员工,而称为合伙人或“同仁”。山姆觉得,顾客、员 工和股东均为公司的上帝。公司要靠雇员团结统一的献身工作才 能成功;倒过来,公司也要照顾好它的雇员,让他们感觉到像是在一个大家庭里,自己是公司的一员。公司对雇员利益的关心并没有导致停留在口头上或是几条标语式的企业文化理论,而是有一套 详细而具体的实行方案。这就是沃尔玛面对竞争能够表现得极为出色的原因。 在沃尔玛公司里,所有的雇员都承受平等对待。沃尔玛的每个雇员想为企业的运营献计献策,都有机会充分表达出来。放开 而且不错的沟通环境使每位雇员都可以向经理表达他的观点,包含建议也包含不满。 由全体雇员参与的利润分享计划,规定任何一位加入沃尔玛一年以上而且在一年中起码工作1000小时的雇员,都有资格参与公司的利润分享。该计划同期为雇员供应丰厚的退休金,消除了他们的后顾之忧。 员工购股计划,让雇员通过薪资扣除的方式,以差于市值 15% 的单价买入股票。如此80%以上的雇员或借助利润分享计 划或直接持有公司股票。雇员利益与公司利益休戚有关,达到了真正意义上的“合伙”。 依据“雇员折扣规定”,雇员、雇员配偶及其被赡养人,在沃尔玛购物时,很多种正常价格的商品可以打1O%的折扣。对于那些在沃尔玛工作一年以上的雇员,沃顿基金会向他们马上高中毕业的子女供应奖学金。 总之,合伙关系在沃尔玛公司内部处处体现出来,它使沃尔玛凝聚为一个整体,使所有的人都团结起来,为着公司的成长壮 大而持续付出。 四、小结 沃尔玛的核心竞争力正是扎根于顾客至上、雇员满意的核心 企业文化中。”天天低价”是沃尔玛对顾客长期不变的允诺。品种繁多、价廉物美的商品,方便的购物时间、免费的停车场以及 微笑、友善、热情、愉快的购物环境,维系了忠诚的客户群体;对雇员利益的关注激励着满意付出的雇员一起行动,持续创新,比竞争者更快、更好地满足顾客需求。通过与提供商建立长久平稳、互利互惠的合作关系,并借助强大的信息网络系统管理该种关系,不仅保证了为顾客供应“天天低价”的优质产品,而且能以最迅速度对顾客需求改变作出反映,进而在竞争中形成显著的竞争优势。案例二:房地产企业核心竞争力分析模型
有关条目核心竞争力识别工具参考文献
↑ 刘娟,谢守祥. 企业集群核心竞争力分析模型. 科技管理研究, 2004,(05)
↑ 张堃,史伟.沃尔玛核心竞争力探秘.2007,25
C.K. Prahalad,Gary Hamel - The CC of the CorporationMichael Goold,Andrew Campbell - Corporate-Level Strategy C.K. Prahalad,Gary Hamel -Competing for the Future,中译本《竞争大将来》,台湾智库股份有限公司,1995;北京昆仑出版社,1998]