专利情报分析简述
专利情报分析是指对来自专利表明书、专利公报中大批的、个别的专利信息执行加工及组合,并利用统计方法或技术手段使这些信息具有纵览全局及预期的功能,而且通过分析将原始的专利信息从量变到质变,使它们由普通的信息上升为企业运营活动中有价值的情报。专利情报分析是保障企业技术竞争领先的有效措施和得力手段,形成企业技术创新的重要内容,是企业获取竞争优势的重要手段。
受于专利具有的创造性、新颖性和实用性特点,专利信息形成社会和企业科学研究成果和新产品开发的重要信来源。通过专利信息分析不仅可以解析企业的技术开发息水平和实力,而且可以用于竞争情报研究使专利信息转换为有价值的情报 。
专利情报分析的方法
一、常用的专利情报分析方法
专利情报分析方法是以文献计量学为基础、借助于其它学科的知识和相关工具而执行的。以前,专利情报分析首要是手工从专利文献中抽取大批的专利信息,利用相关统计方法,结合行业经验执行分析处理、探索隐藏在专利文献后面的情报,来为企业技术创新管理的决策服务。所以当时的首要分析方法有原文分析法、简单统计分析法、以简单统计为基础的图表法、动态矢量法等。
1. 原文分析法。
通过检索竞争对手企业的专利表明书,对其执行仔细阅读、认真分析来掌握竞争对手新产品新技术的开发特点,包含寻求空隙法、技术改进法、技术综合法和专利技术原理法。
2. 简单统计分析。
依照专利发明人、专利申请人、专利分类号和专利文献的数量分别执行统计分析。通过对有关情形的统计分析,能够了解各国科技进步的现况、技术研究兴趣或热点的转移情形、能在一定程度上摸清目前技术发明人的注意力以及该项技术领域发展的去向、可以看出在某一技术领域的竞争情形,甚至可以分析出最活跃的领域。
3. 组配统计分析。
通过对专利统计中专利分类号、专利权人、专利申请日(授权发布日) 和专利申请国执行组配统计,自此得到各种统计信息,然后对这些统计信息执行分析。
4. 核心词频统计。
①删除重复申请的专利,然后从专利权项、摘要和标题中抽取若干带有技术实验概念的核心词; ②对核心词的频数执行统计; ③是读意,对显现几率比较高的核心词执行逻辑组配,执行技术概念的再理解。
5. 技术细分后再统计。
按等级树原则对某一技术执行技术细分展开,对其下位概念逐项执行统计 。
6. 指标改变图表和技术动态及特性比较表。
技术动态及特性表首要用来从技术领域、产品的某些功能等角度,反应不同年度和不同企业申请专利的技术动态和特性,进而比较诸企业的技术开发趋势和方向。首要形式有:企业在不同年度、不同技术领域中技术开发比较,不同科研选题的比较、不同企业不同科研选题比较,各种原因之间的回归分析 。
7. 矢量动态模型法。
专利文献除反应科学技术的量变关系外,还隐含着科技发展的方向。所以借用矢量的概念来加以表明。应用矢量模型法就是把统计的动态报告实施矢量模型化,尔后对科学发展动向加以评价和预期。
8. 专利引文分析法。
对专利文献引用参考文献的现象执行分析研究,揭示其数量特质和内存规律,并据此执行技术发展趋势的评价。
9. 专题资料分析法。
所谓“专题资料分析法”,就是依据专利文献在国际发明分类表中的分散性,在某专题文献资料的地理分布、研究内容等执行排列组合和分析研究,从中预期世界上创造发明活动最活跃的国家以及侧重研究的领域等。
二、专利情报分析方法最新发展
伴随计算机的普及、信息技术和网络技术的成长,专利情报分析渐渐从手工处理过渡到了以计算机为工具的时代。这对专利情报分析给予了极大的便利条件,而且也促使专利情报分析方法向自动化、智能化、可视化方向发展。
1. 计算机的量化处理。
要对每个领域中所包含的成百上千专利文献执行量化分析,应务必对这些专利文献的申请日、主分类号、优先权申请国、申请人、公开号等著录项执行检索、过滤、统计,并绘制图表。用手工方法显然是极费时费力的。为此需要创建专利情报分析报告库,并采取计算机分析、数据统计库中专利文献著录项的方式对专利文献执行量化分析。
在专利情报分析报告库中,运用EXCEL 电子表格所具有的强大功能,对每一项著录项目执行排序,从中过滤出每年、各国、各公司的专利申请号,再对上述各类执行数量统计,就可有针对性地作出统计图表,从方方面面了解该领域的专利发展情形。具体来看,首要包含:①专利申请数量的年代分布,可以栅测出某技术领域的将来发展态势; ②专利文献的技术主题分类,可对技术主题执行分类统计并做成技术主题分布图; ③以优先权所属国统计各国的本国专利申请量,可以解析各国家在该领域的技术实力; ④各公司所拥有的专利数量统计,可了解各公司在该技术领域的技术经济实力; ⑤各公司国外专利申请情形,对具有两个国家以上的专利申请执行数量统计,画出各公司国外专利申请数量的分布图; ⑥各国专利申请数量的分布情形,查清在不同国家所面对的竞争对手,可以解析外国公司在这些国家的市场竞争程度; ⑦各国家专利的申请情形统计分析,可了解在每一个国家内各公司的竞争态势。
2. 基于类似函数的专利情报分析方法。
这里所述的类似函数包含:基于专利引文的类似函数和基于术语并发的类似函数,基于文献中术语的并发性的类似函数也是有效的。牢靠的报告源给予了每篇文献的统一的索引术语,这些用来建立基于术语并发的类似函数。
这个函数运用SQL 查询语句很容易实施。计算出文献间的类似值后,利用力定向配置法( force direct placement) 或自组织神经网络技术来将文献映射到二维空间中,形成文献聚类,以探索文献间的关系。力定向配置法就是在开始的时机,所有的文献都放置在平面中心位置,文献之间的作用力与它们的距离成反比,与它们的类似值成正比;假使类似值大于0 ,则为吸引力,否则为排斥力;力的方向遵守力学中库仑法则。此过程反复执行,直到形成一个平稳的文献映射图。自组织神经网络技术是以类似矩阵的举动输入变量,训练矩形的自组织神经网络。一般运用的是一个

的自组织神经元矩阵。在训练完成后, N维空间中的神经元连接权的密度分布与训练矢量的密度分布相匹配。
总体来看,专利分析分为定量分析与定性分析两种。
1、定量分析
定量分析首要是通过专利文献的外表特质执行统计分析,也就是通过专利文献上所固有的标引项目来识别相关文献,然后对相关指标执行统计,最后用不同方法对相关报告的改变执行解释,以获得动态发展趋势方面的情报。
(1)统计的对象与角度
①统计对象一般是以专利件数为单位。②统计可按专利分类、专利权人、年度、国别等从不同角度执行。当按分类对专利信息执行统计时,依据各个领域内专利数量的多寡,可得知哪些科技领域的发明举动景为活跃,哪一种技术将得到击穿,哪些是马上被淘汰的技术。假使对专利信息按国别执行统计,就可以发现被统计国家的科技发展战略及其在各个领域所处的地位。该种统计结果有利于民众了解某一期间各国科研和开发的着重。假使对专利按专利权人执行统计,可以发现某个领域重要的技术拥有者,或者哪个公司在该领域的具有重要地位。
(2)统计的首要指标
①专利数量。某一技术类别的专利数量可以用于衡量这一技术领域技术活动的水准;而某一公司或某专利权人历年申请的专利数量反应了其技术活动发生、发展的过程及发展趋势等。利用专利数量可以执行各国在不同期期、不同领域技术活动产出和谋求工业产权保护意愿的比较。② 同族专利数量。某一发明的同族专利数反应了这个公司专利申请地域的广度,也反应了此发明的潜在价值——受于需要翻译和专门的法律帮助等费用,在国外申请专利比在自己国家要昂贵得多,只有那些被公司认识到最有商业价值的发明才会在多国申请专利,以便保护今后的投资和产品输出的独占权。③专利被引次数。某一专利被后续专利引用的次数可以反应此专利的重要程度,由于一项重要的专利显现以后,会伴随显现大批的改进专利造成,这项重要专利会被改进专利重复引用。引用情形揭示了专利之间的联系,可用于追踪对应于不同技术的专利网络,发现处在不同技术交叉点上的专利。可惜的是我国的专利报告库不能供应专利的被引次数,这不能不说是个缺憾。④专利成长率。专利成长率测算的是专利数量成长随时间改变的百分率,可显现技术创新随时间的改变是增长依旧缓慢。比如专利季成长率是将一企业于某季所得到的专利数量与前一季所得到的专利数量对比较,计算出该季所获专利较前一季增减程度的百分比率。专利年成长率测算的是和上一年对比专利上涨改变的百分比,用来衡量一年来技术活动发展的改变情况。⑤科学关联性。科学关联性测算的是专利(标的专利)所引证的科研学术论文或研究数据数量,该指标衡量的是专利技术和前沿科学研究关系。科学关联性的数值具有产业依存性:机械行业的科学关联性平均数值将近为零,而高科技生化产业或许达到15。⑥ 技术生命周期。技术生命周期测算的是企业的专利在其申请文件扉页中所引证专利技术年纪的平均数。所以技术生命周期可以如此理解:是最新专利和最早专利之间的一段时间。假使技术生命周期较短,代表着正在着力研发一门相对较新的技术,而且这门技术发展创新的非常快。技术生命周期具产业依存性,相对火热的产业技术周期较短,如电子类的约3~4年,而制药类的约为8~9年,造船类的机会长达15年。⑦专利效率。专利效率测算的是适当的研发经费开支所创造的专利数量产出,此项指标用来评估企业在预定时期内专利数量产出的科研能力和成本效率。专利数量产出的越多,专利效率越高,则企业的技术研发能力越强。⑧ 专利实行率。专利实行率是否被有益地实行、是否导致科技创新对于那些仍未实行的专利技术来看依旧一个未知数。一般的发明专利的实行都还要经历一个开发过程,而开发不是都能成功的,有不少发明专利技术在开发过程中因技术难点处理不了或在现有技术条件下达不足预期效果,必须半途而废或最终放弃。可以通过技术性能、经济效益、社会效益、市场原因、产业化开发和生产量力、宏观环境以及产业化风险等多个角度对发明专利的实行执行衡量。专利实行率越高,则专利对于技术发展、技术创新作出的贡献越大,和技术发展结合得越紧密。我国的专利实行率仅仅保持于30%左右,远远差于欧元兑美元日各国的水准。⑨产业标准化指标。在跨产业横向比较的时机,产业之间的差异给不同产业之间的专利指标数值的比较导致了麻烦,为此需要运用产业标准化指标。产业标准化指标的数值是将一个企业的指标值除以企业所在产业该指标的平均值得出的。比如,在化学产业有30家企业,它们的科学关联性的平均数值为3.7,那么每一个化学企业科学关联性的标准指标值应当是通过各企业科学关联性的指标值除以3.7得到的。通过该种方式,可以清除不同产业所导致的不同影响,从而找出每个产业内表现最好的那个企业。
(3)统计的首要内容
①专利技术按时间的分布研究。即以时间为横轴、专利申请量(或准许量)为纵轴,统计专利量随时间的改变规律,一般用于趋势预期。任何技术都有一个造成、发展、成熟及衰老的过程,历年申请的专利数量、专利引文数量改变可以确定该技术的成长趋势及活跃期间,为科研立项、技术开发等巨大决策供应根据。而对不同技术领域的专利执行时间分布的对比研究,可以确定在某一期间内,哪些技术领域比较活跃,哪些技术领域处在停滞状态。②专利技术按空间的分布研究。即通过不同公司、企业间的专利数量对比,来反应他们的技术水平与实力。空间分布一般用于识别竞争对手,分析其技术策略等。将某一技术类别的专利申请按专利权人执行统计,可以得到某项技术在不同公司或企业间的分布,了解哪些公司或企业在该领域投入较多、专利活动较活跃、技术水平较领先;而对不同技术类别各公司的专利频数执行统计,可以解析各公司最活跃的领域,即其开发的着重领域。此外,通过检索某一专利的同族专利,可以得到这些专利申请的地理分布,进而分析其商业价值,了解某公司技术输出的着重领域;也可以为技术引进供应根据,为产品出口避开对方的保护区供应情报。
(4)度量技术发展不同阶段的统计参数。
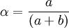
技术生长率V:

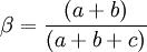
。其中a:当年发明专利申请数(或准许数);A:追溯5年的发明专利申请累积数(或准许累积数)。接连计算数年,V值递增,表明该技术正在萌芽或生长阶段。技术成熟系数α :

。其中a同上,b为当年实用新型专利申请数(或准许数)。接连计算数年,α值递减,反应技术日趋成熟。技术衰老系数β:

。其中a、b同上,c为当年外观设计专利或商标申请数(或准许数)。接连计算数年,β值递增,预示该技术日渐陈旧。新技术特质系数N:
N = υ2 + α2。其中υ为技术生长率,α为技术成熟系数。是反应某项技术新兴或衰老的综合指标,N值越大,新技术特质越强,预示它越具有发展潜力。
2、定性分析
定性分析也称技术面,是以专利的技术内容或专利的“质”来识别专利,并按技术特质来归并相关专利使其有序化。这和统计分析仅依靠专利文献外表特质是有很大区别的。定性分析一般用来得到技术动向、企业动向、特定权利情况等方面的情形。可以从发明的用途、原理、材料、结构和方法等5个方面来考虑重要专利的内容,并将重要专利依照内容的异同分类。假使专利内容以原理为主,表明这项技术仍未成熟;假使专利内容以用途的多样性为主,则表明技术已能实用。此外,将某技术领域各首要公司的专利按专利内容列表分析可以看出各公司的技术特色及开发着重;将相关专利按技术内容的异同分成各个专利群,对某一公司拥有的不同专利群或对不同期期专利群改变情形执行分析,可以对某项技术或产品发展过程中的核心困难、今后发展趋势及应用动向、与其余技术的关系等执行分析与预期。
受于涉及到技术的具体内容,定性分析的工作比较繁重、复杂。至于用定量分析依旧定性分析,应视所期望处理的困难和掌握的专利报告而定。实际上,经常需要将定性分析与定量分析结合起来才可高达好的效果。比如,可先通过定量分析确定哪些公司在某一技术领域占有技术优势(专利申请量或准许量可以反应技术活动水平),辨别这一技术领域的重要专利(某一专利被后续专利的引用数反应专利的重要性),然后再针对这些公司的重要专利执行定性分析。
专利信息的定量分析与定性分析,一个是通过量的改变,一个是通过内在质的改变来反应技术的成长情况与发展趋势。两者既有区别,又存在必然的联系。量的分类需要依据质,质的体现又要通过量。所以在事实工作中,将两者配合运用会得到更好的效果。
">编辑]专利情报分析指标体系建构
为使专利分析人士更深入地对专利信息执行有效分析,为领导层供应更精准、贴切的信息,以便为企业将来研发规则和专利策略的策划供应支持。本文在美盈CHI公司提出的专利分析指标的基础上,将专利分析指标从公司方面和技术方面两个方面详细分类。
1.公司方面专利分析指标体系
在公司方面从专利活动和专利品质两个方向人手,来衡量公司在某一产业领域的专利表现(见下表)。以专利件数、专利占公司比率和专利成长率三项专利指标,取代传统方法仅以专利申请数来衡量专利活动;以被引用次数、目前影响力及科学连接三项专利指标,取代以往资料很难获得的有效专利比率等四项专利指标来衡量专利品质。为避免重复计算及维持分析结果的有效性,如技术力度(专利件数与目前影响力的乘积)和科学力度(专利件数与科学连接的乘积)等可以由以上基本专利指标衍生出的指标没有纳入专利活动和专利品质的衡量。

2.技术方面专利分析指标体系
在技术方面对专利执行的分析是对某一技术领域所包含的具体技术类别的专利分析,本文拟以专利件数、专利成长率、被引用次数、技术影响力、技术生命周期、科学连接、技术活动年限等七项等利指标来衡量企业在某项技术领域的研发重心及技术能力。为避免重复计算及维持分析结果的有效性,支口技术力度(专利件数与目前影响力的乘积)和科学力度(专利件数与科学连接的乘积)等分析指标,没有纳入技术层诬的专利分析指标体系。

">编辑]专利情报分析应注意的困难
1.一件专利或许只在发明它的同一企业或行业内应用,也或许对若于企业和行业都故意义
在讨论创新对生产率上涨的贡献时,比如行业层次的讨论就应该注意找出发明和应用发明的行业关系,找出具有跨行业影响的技术,特别是创新很难得到保护而又被普遍应用的技术,为此有必要依据经济活动领域对专利分析作行业归类。
2.要会充分利用失效的专利及其专利文献
专利要想得到保护,除了处在法定保护期限内这个条件外,还要定期缴纳年费,如不按期缴纳年费,看为自动放弃专利权。国内外的专利都存在提早失效的情形,而且国外的情形比国内还要严重。专利失效并没有等于失去价值,有很多失效的专利的技术含量和市场价值依然很高,假使能对这部分专利加以开发利用,既是对科技资源的再利用,又可最大限度地节省开发时间和经费,同期还可为企业节约巨额专利转让费。所以在执行专利情报分析的时机,对这部分的情报也应引起充足的重视。
3.应深入研究竞争对手在国外申请专利的意图
有时候竞争对手向一国申请专利,并没有是直接为了占领该国市场,而是为了在技术上控制在该国的竞争对手,使其无法生产出与自己竞争的产品,进而在国际市场竞争中处在有利地位。
4.通过分析要能够发现竞争对手的潜在市场及其市场合作策略
竞争对手受于某种特殊需要研制的发明专利,刚刚显现时,常会局限在非常狭窄的应用领域内,伴随技术的完善和时间的推动,就或许扩大应用领域。应仔细研究竞争对手该种专利的实行利用情形,观察环绕该种专利能否相关联的实用新型和外观设计专利显现,并与其余行业、部门联系,探求应用的渠道,进而发现该种专利的潜在市场。
专利情报分析的案例分析">编辑]专利情报分析案例一:华为公司
如:深圳市华为技术有限公司重视专利文献与信息的研究,他们运用定量、定性分析方法的基本原则,结合本单位事实,将专利文献与信息中的技术内容、人(专利申请人、发明人)及时间(专利申请时间、专利公告日)与地点(受理局、指定国、同族专利项)四个方面分析研究专利文献,并分别从每个方面为主,执行统计分析及研究,进而从下方几方面为本公司的研究开发和策略策划供应根据。
(1)依据专利申请量(专利申请总量或年度申请量)随时间的改变情形,分析该技术的成长史、发展总趋势和当下所处阶段(技术成熟度)。(2)依据各产品或分技术领域的专利申请量预期新技术发展方向和市场趋势,为公司发展策略的策划供应参考。(3)从各厂商在不同分领域,不同技术路线上的专利量分析出该厂商的技术策略。(4)从各厂商在不同分领域,不同技术路线上的专利量分析出该厂商的技术策略。(5)对核心技术困难执行专利分析,找出不同的技术路线和技术处理方案。(6)对中国专利的特别分析,找出或许与之矛盾的专利执行分析,提出规避、无效、撤消专利权的意见,防止侵犯他人专利权。(7)通过有关专利技术的分析比较来确定技术保护策略,或分析技术的专利性。(8)检索分析技术贸易中涉及的专利技术的法律情况和可性利用,防止欺诈。(9)对各国的专利申请和授权情形执行分析,确定产品的市场规模。
专利的定性分析要有很强的针对性。比如,为了扩大出口,占领国外市场,所以在执行专利文献与信息的研究分析时,除了要重视对国内专利技术信息和专利法律信息的研究外,还要增强对国外专利文献中的技术信息、经济信息的研究。还要依据其开拓与发展海外市场的需要,针对不同的产品和技术,追踪国外竞争厂商在世界各国的市场活动情形,或者针对具体确定的厂商,追踪其在世界各国市场中的技术与产品情形。通过如此全面的研究,策划公司在海外生产或向海外输出产品的成长策略。
兰州化学工业公司化工研究院在利用专利文献过程中,对苯、乙苯、苯乙烯和聚苯乙烯的国外生产技术及设备执行专利分析。其中包含专利申请和专利保护分布,专利技术总括,以及专利要点分析。通过统计、分析、研究,掌握了上述化学产品及技术发展的历史、现况及发展趋势,进而依据国内的苯、乙苯、苯乙烯和聚乙烯的生产及技术现况,提出并策划了今后发展的运营策略。
">编辑]专利情报分析案例二:海尔集团专利情报分析在企业创新中的运用:海尔集团
专利情报分析最直接的应用就是在企业创新研 发当中,下方便是专利情报分析在企业创新中运用的成就例子。
海尔集团是当前我国最为知名的企业之一,也 是当前中国运营最为成功、管理水平最高、最为国 际化、最具亲和力的企业。海尔以近乎完美的形象 形成中国成功企业的典范,其对于专利情报分析的 重视以及自此在研发创新中的应用也是企业可借鉴 的典范。此前,第21届电子信息百强企业名单揭 晓,依据信息产业部发布的结果,海尔集团在代表 科研实力的专利榜上,截至2006年底,海尔拥有 专利数7008项,第二名叫华为公司,其专利数仅 为2575项。在综合实力上,努力于创世界化品牌 的海尔集团仍居中国企业榜首,在衡量企业市场创 新能力、自主创新能力和盈利能力的三个重要指标 中呈现均衡良性发展态势。
海尔集团有如此的成就,其首要一个秘诀就是 重视专利情报分析。海尔很早就意识到这一点并加 以了充分利用。海尔集团早在1988年就建立了一 套简便易查、全面实用的检索专利卡片系统(又称 专利文献人工检索系统)。该系统搜集了1974年~ 1986年世界25个首要工业国家相关冰箱的1.4万 多条专利文献题录。这些题录涉及所有与冰箱制造 相关的内容,供科技人士运用。而当前,海尔对已 有的产品项目执行国内外技术动态信息监控,从项 目涉及的有关专利和技术领域、国内外目标公司等 不同角度执行专利追踪,形成一个重大的综合的专 利情报资料库,做到随查随用。于是技术人士执行 专利情报分析愈加方便,促进了技术开发的效率, 大批科技成果及新产品的推出,为海尔成功的向多 元化发展给予了有效的专利信息支持。
正由于海尔对专利情报分析在企业创新决策中 有着决定性作用这一点有着清醒的认识,在对某个 技术领域有一个基本的认识之后,便利用专利情报 分析更深一步评估技术热点和前景,寻求某领域内的 技术空隙,并在研发项目的实行中执行技术创新和 回避设计。一般可通过专利组合分析的方法辅助确 定企业研发方向。
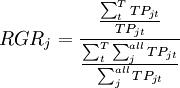
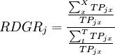
专利组合分析是企业研发策略规划以及专利投 资组合布局的根据,它一般以矩阵图的方式,描绘 该产业的领导厂商在竞争中的相对专利地位和领域 内技术自身的相对发展优势。专利组合分析包含公 司层次的矩阵分析和技术层次的矩阵分析。对于技 术层次的专利组合分析,对企业在研发导向决策中 具有较好的辅助作用。技术层次的专利组合分析 (见下图),是以技术相对成长率RGR(在某研究期 问在某技术层次之专利成长率相对于此阶段的所有 技术层次之专利成长率之值)和技术相对成长潜力 率RDGR(对于某技术层次来说,以第t年为分界 年,求其前半部与后半部专利成长率比值)作为专 利地位的指标。由于仅凭某个技术RGR高低,未 必能作出其相对技术潜力高低的分析。所以。由 RDGR来分析此技术是位于技术生命周期的成长期 依旧已高达成熟期,能否有继续大范围投入开发的 价值,通过RDGR来弥补RGR的不足。


注:
TPjt表明t公司的j技术;all表明所有技术。

在上图中,区域I处在技术生命周期的增速上 升部分,技术研发上涨率高而且仍有很大潜力,是 当前企业关注的技术着重。在区域Ⅱ,尽管也处在 技术生命周期的增速上升部分,技术研发上涨率 高,但技术潜力指标有所减弱,技术很或许是着重 技术,但技术已经发展的比较成熟。在区域Ⅲ,技 术研发上涨率低,处在生命周期的顶部,但开发潜 力也低,表明该技术并没有是首要的研发着重技术, 而属于从属的补充技术,也或许是已经很成熟的技 术。在区域Ⅳ,技术上涨率低,处在技术生命周期 的上升部,潜力率高,很或许是个朝阳技术,需要 企业有前瞻性的关注。
通过系统的分析后,海尔集团的首要目标就是 放在I和Ⅳ区域上,比较关注潜力大和将来有机会 是朝阳技术的产品创新,以此作为企业创新的重要 根据,并在这两个方面的研发经费占的比例也比较 大。
如海尔针对韩国市场研制开发出韩式双活力洗 衣机,并在产品上市以前,得到KIPO(韩国知识 产权局)的PCT发明专利授权。早在2002年,海 尔双活力洗衣机就申报了国际PCT发明专利,使 “双活力”洗衣机形成继波轮式、搅拌式、滚筒式 洗衣机后的第四种洗衣机。通过对韩国市场的分 析,海尔了解到韩国消费者对于节能型产品的需求 以及韩国双活力产品市场依旧一片空白。所以,这 一产品经历分析后应为朝阳产品,有着很大的潜 力。海尔结合韩国消费者喜爱大容量产品的特点, 设计开发出“韩式双活力洗衣机”,并得到韩国知 识产权局的认可及授权保护。2007年中旬海尔得 到韩国知识产权局的授权,保证其研究成果及时得 到保护,为海尔洗衣机在国外市场的竞争赢得了重 要筹码。同期,海尔洗衣机在美国也马上得到专利 保护,这对其拓宽国外市场、创新研发技术都有着 重要指导意义。
再如海尔集团通过细致的专利情报分析后,发 现专门洗农作物根茎的洗衣机在我国依旧个空白, 海尔研发人士从中捕捉到了新的需求商机,开发出 能洗地瓜、土豆的洗衣机,这对于我国占人口基数 较大的农民来讲是性价比较高的产品。于是产品投 放后立刻形成自己独特的市场。可见,海尔创新点 也同样立足于市场潜力较大的产品上。
另外,海尔与多家企业联合通过双方技术优势 的合力得到一种“升值效应”。海尔已与多个企业 建立了不同的技术联盟,如从日本引进三菱重工空 调技术,从意大利梅洛尼公司引进滚筒洗衣机技 术。海尔还同国内外多家大公司以项目领头的形式 成立了若干联合研究中心以执行联合研究,合作伙 伴有东芝、飞利浦、迈兹、朗讯等,这些多角化的 企业技术联盟大大提升了海尔本身的技术应变能 力。海尔在技术及信息多而活跃的发达国家和地区 设立的几大信息站,也是其技术协作点,它们定期 地搜集所在地区的全方位信息,向海尔供应及时、 全面、精准、动态的世界专利情报动向,才致使海 尔具有强大的竞争优势和创新意识。
参考文献
↑ 韩彩云 龚勋.专利情报分析技术及其分析指标体系建构.情报杂志.2007年第10期
↑ 王庆民.专利信息的情报功能和专利情报分析.现代情报.2OO7年7月第7期
↑ 曹文康.谈谈专利文献的研究与应用
↑ 于潇 孙英隽.专利情报分析对企业创新的影响研究.情报科学.2007年11月第11期第25卷