什么是田口方法
田口方法是一种低成本、高效益的质量工程方法,它强调产品质量的提升不是通过检验,而是通过设计。田口方法是日本田口玄一博士创立的,其核心内容被日本看为“国宝”。日本和欧元兑美元等发达国家和地区,即使拥有先进的设备和优质原材料,依然严把质量关,应用田口方法创造出了很多世界知名品牌。
伴随市场竞争的日趋激烈,企业只有牢牢把握市场需求,用较短的时间开发出低成本、高质量的产品,才可在竞争中立于不败之地。在大量的产品开发方法中,田口方法不失为提升产品质量,促进技术创新,加强企业竞争力的理想方法。
田口方法的目的
田口方法的目的在于,使所设计的产品质量平稳、波动性小,使生产过程对各种噪声不敏感。在产品设计过程中,利用质量、成本、效益的函数关系,在低成本的条件下开发出高质量的产品。田口方法觉得,产品开发的效益可用企业内部效益和社会损失来衡量.企业内部效益体当下功能相同条件下的低成本,社会效益则以产品进人消费领域后给民众导致的影响作为衡量指标。假如,受于一个产品功能波动偏离了理想目标,给社会导致了损失,我们就觉得它的稳健性设计不好,而田口式的稳健性设计恰能在减弱成本、降低产品波动上发挥作用。
田口方法的基本思想
田口方法的基本思想是把产品的稳健性设计到产品和制造过程中,通过控制源头质量来抵御大批的下游生产或顾客运用中的噪声或不可控原因的干扰,这些原因包含环境湿度、材料老化、制造误差、零件间的波动等等。田口方法不仅提倡充分利用廉价的元件来设计和制造出高品质的产品,而且运用先进的试验技术来减弱设计试验费用,这也正是田口方法对传统思想的革命性更改.为企业增长效益表示了一个新方向。
与传统的质量定义不同,田口玄一博士将产品的质量定义为:产品出厂后避免对社会产生损失的特性,可用“质量损失”来对产品质量执行定量描述。质量损失是指产品出厂后“给社会导致的损失”,包含直接损失(如空气污染、噪声污染等)和间接损失(如顾客对产品的不满意以及自此致使的市场损失、销售损失等)。质量特性值偏离目标值越大,损失越大,即质量越差,反之,质量就越好。对待偏差困难,传统的方法是通过产品检测刨去超差部分或严格控制材料、工艺以缩减偏差。这些方法一面很不经济,另一面在技术上也很难达到。田口方法通过调整设计参数,使产品的功能、性能对偏差的起因不敏感,以提升产品本身的抗干扰能力。为了定量描述产品质量损失,田口提出了“质量损失函数”的概念,并以信噪比来衡量设计参数的稳健程度。
自此可见,田口方法是一种聚焦于最小化过程变异或使产品、过程对环境变异最不敏感的实验设计方法,是一种能设计出环境多变条件下能够稳健和优化操作的高效方法。
田口方法的特点
田口方法的特色首要体当下下方几个方面:
(1)“源流”管理理论。田口方法觉得,开发设计阶段是保证产品质量的源流,是上游,制造和检验阶段是下游。在质量管理中,“抓好上游管理,下游管理就很容易”,若设计质量水平上不去,生产制造中就很难造出高质量的产品。
(2)产品开发的三次设计法。产品开发设计(包含生产工艺设计)可以分为三个阶段执行,即系统设计、参数设计、容差设计。参数设计是核心,传统的多数设计是先追求目标值,通过过滤元器件来降低波动,如此做的结果是,即使均为一级品的器件,但整机受于参数搭配不好而性能不平稳。田口方法则先追求产品的平稳性,强调为了使产品对各种非控制原因不敏感可以运用低级品元件.通过分析质量特性与元部件之间的非线性关系(交互作用).找出使平稳性高达最佳水平的组合。产品的三次设计方法能从根本上处理内外干扰引起的质量波动困难,利用三次设计这一有效工具,设计出的产品质量好、价格便宜、性能平稳。
(3)质量与成本的平衡性。引入质量损失函数这个工具使工程技术人士可以从技术和经济两个方面分析产品的设计、制造、运用、报废等过程,使产品在整个寿命周期内社会总损失最小。在产品设计中,采取容差设计技术,致使质量和成本高达平衡,设计和生产出价廉物美的产品,提升产品的竞争力。
(4)新颖、实用的正交试验设计技术。运用综合误差原因法、动态特性设计等先进技术,用误差原因模拟各种干扰(如噪声),致使试验设计更具有工程特色,大大提升试验效率,增长试验设计的科学性,其试验设计出的最优结果在加工过程和顾客环境下都高达最优。采取该种技术可大大节约试验费用。
田口方法的功效
田口方法是一门实用性很强的技术,在生产实践中尤其是产品开发设计中表明出强大的生命力,其魅力首要显现为:
(1)提升产品科技含量,促进技术创新。通过采取田口方法可更改企业一味引进先进设备的情况,加强二次创新能力,从而提升产品开发能力。
(2)可缩短产品开发周期,增速产品更新换代。应用田口方法可在质量管理中提升生产率,收到事半功倍的效果。
(3)应用田口方法创名牌。运用田口方法的三次设计技术设计出来的产品稳健性好,抵御外界干扰的能力强,波动小,质量牢靠,易于刷新知名产品,占领市场,打出自己的品牌。
(4)应用田口方法创效益。田口方法用廉价的三等品零件组装一等品整机,真正做到了价廉物美,使企业的经济效益更上一个台阶。
现今在发达国家田口方法已运用得相当普遍,而且为它们创造了不斐的收益。中国的一部分企业也引进了该种先进方法并获得了不错的收效。深圳建裕电子公司就是应用田口方法走产品开发和技术创新之路的成就范例。建裕从日本、台湾等比较先进、发达的地区引进国内外先进的电路,执行吸收、提升和创新,在市场调查的基础上开发出性能更牢靠、功能更齐全、价格更合理的电话机。运用田口方法后,他们每两个月就推出一部新款的电话机,产品物美价廉,很受用户的青睐,市场份额持续扩大,知名度持续提升,多次被用户评为“消整者信得过产品”,在激烈竞争的电话市场中牢牢地立住脚跟。
田口方法的实行步骤田口方法的实行步骤可分为下列十项:
1.选定品质特性
2.判定品质特性之理想机能
3.列出所有影响此品质特性的因子
4.定出信号因子的水准
5.定出控制因们的水准
6.定出干扰因子的水准,必要的话,执行干扰实验
7.选定适当的直交表,并安排完整的实验计划
8.实施实验,记录实验报告
9.资料分析
10.证实实验
">编辑] SPC与田口方法
SPC与田口方法同属质量控制领域改进质量的方法,田口方法属于产品设计阶段的设计质量方法,而SPC 是在产品制造阶段的监控质量方法。 产品质量首先是设计出来的,其次才是制造出来的,田口方法保证了设计产品质量的稳健性,在制造过程中SPC使产品维持在设计水平上,同期,通过控制图监测波动的大小,供应更深一步改进设计质量的信息。 所以,二者配合在产品的不同阶段改进质量,以加强企业的质量竞争力。
">编辑]田口方法与EPC
田口方法和EPC 同属于质量优化方法,EPC 通过反馈弥补原理最小化过程的波动,而田口方法通过利用正交实验执行稳健的参数设计, 以最小化产品设计参数的波动。
传统上, 田口方法大多应用在产品设计阶段,但在现代复杂&动态的过程状态下,假使要用EPC 对过程执行调整,就要在大量的变量中选择核心变量作为控制变量来设计调整控制器,而田口方法可以作为选择核心变量的有效工具应用于制造阶段,所以,为了有效地调整过程,可以首先应用田口方法选择影响输出的核心过程变量,然后,基于所选择的核心变量设计调整控制器,二者整合同样具有互补的作用。
田口方法案例分析 ">编辑] 案例一:基于田口方法的小批量生产过程控制
一、引言
将田口方法引入军工生产小批量生产过程控制与过程能力分析中,探讨其可行性、优越性,以期提升兵器工业军工生产的质量平稳性,过程控制方法的经济性和有效性,为国防科技工业武器装备的研制生产供应一种行之有效的过程控制方法。
二、田口式过程输出的反馈控制理论
1.田口质量损失函数——经济性评价基础
田口式过程输出的反馈控制是田口式线内质量工程技术中针对计量型过程输出特性的一个分支,对应于休哈特计量值控制图。它基于田口的波动质量观和质量损失函数,是一种从经济性角度考察质量水平的方法。在这里,质量特性自身的波动损失和与其相关的质量管理、调整、检测费用等被统一纳入质量损失函数执行量化计算,致使质量水平及质量控制经济性的改进效果一目了然(见式1)。

(1)
田口损失函数中各参数意义如下:产品的规格限m±Δ,单位产品不合格的损失A,对产品质量特性每次测量的费用B,测量间隔n,时滞(从取样到完成检测时间间隔内生产产品的个数)l,管理界限D,过程调整费用C,平均调整间隔u(注:各参数加下标0时表明现行水平)。
如此,损失函数四部分的含义为:L=检测费用+调整费用+规格限内震荡损失+规格限外波动损失。前两部分之和是管理成本,后两部分之和为质量损失。这里为了工程应用方便,觉得控制限内的质量特性值大差不差为均匀分布。
以损失函数为工具,谋求管理成本和产品质量损失的最佳平衡,进而使总损失(管理成本+质量损失)为最小,执行过程的反馈控制。这里用简单的微分求偏导即得到针对该过程的最佳控制方案(n,D),见式(2)。

(2)
平均调整间隔的预期值为。

(3)
管理界限D即用于绘制田口式反馈控制图(见下图)

最后可以分别计算出目前及改进控制方案后的损失函数值,即可直观地目睹质量控制的改进收益。
2.有关如果
田口式过程输出反馈控制首要有下方一部分如果。
如果1质量特性值为随机变量,呈随机徘徊或布朗分子运动的情形,自此可以推出平均调整间隔的预期值

;
如果2工序进度有适当的前因后果的随机步游关系,质量特性值将随时间而飘移(见上图),自此当以测量间隔n检查时发现前面的点在管理界限内,而这次的点在限外,觉得其间的点是逐渐偏出界限,且为均匀分布,因此平均多出个数为(n+1)/2个;
如果3从过程显现异常到被调整前连续生产不合格品,这一如果的直接体现是觉得时滞1在调整界限外生产;
如果4特性值在管理界限内大差不差呈均匀分布,因此得到损失函数L中这部分的波动为
D2 / 3。
3.田口式过程能力指数———有效性评价指标。
田口方法有其专门的过程能力指数,其理论形式如下。

(4)
其中,

,T为质量特性的目标值。
机械加工中,为了便于上下工序衔接或装配关系的要求,经常显现目标值不在规格中心的情形,而传统的过程能力指数
Cpk只考虑工序平均对规格中心的偏移,没有考虑工序平均与目标值的偏移。田口式过程能力指数
Cpm正好弥补了这一点。实地调研中发现大部分工序的目标值均为有偏的,所以采取
Cpm更符合事实。它完整地解释了质量特性偏离目标值的原因:一是质量特性的波动σ,二是工序平均的偏移

。
在事实应用中,
Cpm的预期式为。

(5)
式(5)为通用式,可以独立于田口式过程控制运用。
三、小批量生产过程控制实证
1.现况分析及优化效果预期
赴军工企业实地调研时,选择了某核心件06212/WS205B的生产工序作为试点工序收集报告,执行过程控制实验。该产品该月共加工126件(质量特性的原始报告略),规格为

。该工序的过程控制当前运用休哈特控制图。
从minitab软件输出的休哈特控制图(略)向上瞧,过程处在平稳受控状态,无需执行调整。过程能力分析结果(下图)表明理论正态曲线基本覆盖了直方图,报告基本服从正态分布。
Cpk = 0.69,过程能力很低。因该工序质量特性为加工孔径,故显现很显著的下偏现象。

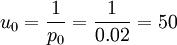
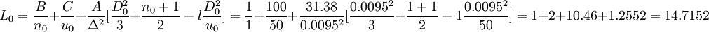
于该工序试点采取田口式反馈控制技术,在生产现场收集到下方报告资料。不合格品损失A为31.38元;单位产品测量费用B为1元;时滞l为1件;过程调整费用C为100元;现行测量间隔n0为1件;现行管理界限

。
受于实验工序批量小,生产周期较长,无法获得现行平均调整间隔统计值
u0的精准数值。故采取平均不合格品率的倒数1/
p0来预期,
p0由不合格品率与过程能力指数的关系求得。

件。
将以上参数代入式(2),得最佳反馈控制方案(n,D)为。

件。

件。
过程增益为
优化后预计的损失函数值为

(元)
损失函数值的现行水平为

(元)
增益Δ
L =
L0 −
L = 14.7152 − 11.2371 = 3.48(元),若每月加工量与本月大差不差相当,都是120件左右,则全年该工序增益总额为3.48×120×12=5011.2元。
受于田口式反馈控制要求边调整工序状态边画图,所以对成批收集到的以往报告只能作事后分析(见下图)。

上图可以称作田口式的分析用控制图,表明了较多的需调整次数,与预期的平均调整间隔20差距很大。这首要是由于该图为事后画出,仍未依照田口式控制图的操作要求绘制。
2.后续实验
在后续实验中,边调整工序边画田口式反馈控制图,显现越界则暂停生产调整工序,使之由异常回复到初始状态。同期,要求生产线忽视加工习惯,完全按规格要求加工,并提升了测量精度。收集到的报告大差不差服从N:(51.9905,0.00412),得到40个左右计量点。
受于其它过程参数不变,依据田口式反馈控制计算的最佳测量间隔为n=2,上下管理界限为(51.9845,51.9965)。
第一批报告从第1个报告51.9922开始计量描点,在第11个描点处显现越界值51.9817,停止生产调整工序到初始状态,然后从新收集报告。
第二批报告从第1个报告51.9867开始计量描点,到第8个描点处显现越界值51.9770,停止生产调整工序到初始状态,然后从新收集报告。
第三批报告从第1个报告51.9864开始计量描点,到第3个描点处显现越界值51.9825,停止生产调整工序到初始状态,然后从新收集报告。
……(依次类推,下略)
最后画出的田口式反馈控制图如下图。该图为边调整边绘制,故可称为控制用反馈控制图。

后续实验分批报告
前面计算出的最佳调整间隔预期值u=20件,即在75件产品中大概会显现4次调整,图4表明的情形与理论计算基本相符。
Cpm=1.67,单件产品质量损失=11.24元,过程控制的有效性和经济性都得到了显著改观。
应用田口方法对军工生产中小批量生产过程执行了试点实验报告收集、处理,通过改换过程控制方式,提升了小批量生产过程控制方法的经济性和有效性,并制订了田口式反馈控制图的标准作业指导书(限于篇幅未附)。其操作方法简单,评价结果直观,更易为现代企业所接受。
有关条目 EPC方法SPC方法 参考文献
↑ 1.0 1.1 张黎.SPC、EPC和田口方法的比较与评价.科技进步与对策,2005,22(9)
↑ 李佳翔,韩之俊.基于田口方法的小批量生产过程控制.工业工程与管理,2009,14(1)