什么是均衡能力指数
均衡能力指数是对工程是否平稳的创造出合乎标准质量的产品予以分析和评价。
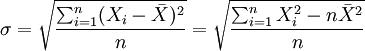
从生产过程来说,企业各生产环节在等量时期内应生产出等量的产品,这就是生产过程的均衡性。但事实上,受于种种原因(如设备故障、待料、质量原因等等)每天生产的产能不或许是完全一样的,它是由工程系统各要素(人、机、料、法、环)的变动而产生的,是不可避免的,这就是产能的必然性。但是它们的离散分布是有规律的,对于计量值来说,这个规律就是正态分布,其密度函数为:

由上试可知,当月产能
xi在μ±σ,μ±2σ,μ±3σ时的几率(如表1所示),它代表μ±Kσ之内曲线下包围的面积与曲线总面积之比,其分布曲线如上式所示。从管理的要求来说,某生产线的日产能的离差应是愈小愈好,假使这条生产线是处在平稳的生产状态下,则标准偏差σ,应无限靠近于一个常数。标准偏差σ可按下式计算。
表1 Kσ及Kσ外的几率
式中:
xi——事实日产能;

——日产能平均数;
n——天数。
由上式可知,标准差能真实反应日产能间的离散程度。
">编辑] 均衡能力指数的计算
对于大批或大批生产的企业、均衡能力指数可按下式计算。
CPi = (
x −
Se) / 3σ
n公式中:
Se——日计划产能;
σ
n——n个日产能的标准差。
对于单件或者小批生产的企业,可用生产周期的波动,或者单件产品所需要的期数或者工时数,来衡量产品的均衡情形,均衡能力指标可按下式计算。

公式中:

——单件产品事实所用的工期数或者工时数的平均值;
Su——单位产品计划工期日或者工时。
依据均衡能力指数计算可参照下列数值分析和分析产品的生产均衡值:
当
CPi < 0表明没有完成月生产计划;当0
CPi〈1表明完成了月生产计划,而且较为均衡;当1 < CPi < 1.33表明较为均衡完成了月生产计划,而且有超标;当1.33 < CPi < 1.67表明较为均衡完成了月生产计划,而且超标较多;当1.67 < CPi表明较为均衡完成了月生产计划,而且超标很多,可考虑适当提升计划指标。 参考文献 ↑ 1.0 1.1 季建华.《经营管理》.上海人民出版社,2007-4-1