什么是二元对比系数
比较劳动生产率、二元对比系数和二元反差指数是二元经济结构的三个首要测度指标。
二元对比系数又称“二元生产率对比系数”,即第一产业比较劳动生产率与第二、三产业比较劳动生产率的比率。二元对比系数理论上处在0-1(小数)之间,当为0时,显示第一产业比较劳动生产率为0,经济二元性最明显;而为1时,第一产业和第二、三产业的比较劳动生产率相同,二元经济完全转变成了一元经济,经济的二元性消失。低收入国家的二元对比系数一般为0.31—0.45,发达国家一般为0.52—0.86(小数)。
该指标与经济结构二元性的力度呈反向变动的关系,二元对比系数越大,两部门的差别越小:反之则两部门的差别越大。二元对比系数在理论上的最大值为1.但一般总是差于1。所以,二元生产率对比系数的变动在总的上呈现出“U 型”特质。
二元对比系数的计算公式
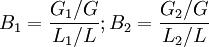
设G为总产值(或总收入),L为劳活力总数,
G1为农业部门产值(或收入),
G2为非农业部门产值(或收入),
L1为农业部门劳活力数,
L2为非农业部门劳活力数。又设
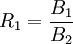
R1为二元对比系数。很显然
G1 +
G2 =
G,
L1 +
L2 =
L。则,比较劳动生产率的数学计算公式:

得出,二元对比系数的数学计算公式为: