菲波纳契数列又称“菲波纳契神奇数列”,是由13世纪的意大利数学家菲波纳契提出的,当时是和兔子的繁殖困难相关的,它是一个很重要的数学模型。这个困难是:有小兔一对,若第二个月它们成年,第三个月生下小兔一对,以后每月生产一对小兔,而所生小兔亦在第二个月成年,第三个月生产另一对小兔,以后亦每月生产小兔一对,假定每产一对小兔必为一雌一雄,且均无死亡,试问一年后共有小兔几对?
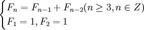
对于n=1,2,……,令Fn表明第n个月开始时兔子的总对数,Bn、An分别是未成年和成年的兔子(简称小兔和大兔)的对数,则Fn = An + Bn。
依据题设,有:
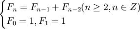
显然,F1 = 1,F2 = 1,而且从第三个月开始,每月的兔子总数正好等于它前面两个月的兔子总数之和,于是按此规律我们得到一个带有初值的递推关系式:

若我们规定F0 = 1,则上式可变为:

这就是Fibonacci数列的一般定义,也就是数列1、1、2、 3、5、8、13、 21、34、55、89、144、233、377、610、987、1597……,直至无限。这串数列的特点是:其中任一个数均为前两数之和。从上述数字看,系列由1、2、3开始,继而造成无限数字系列;这与《道德经》第四十二章:“道生一,一生二,二生三,三生万物”所包含的道理不谋而合。由神奇数字演变出来的比率(即黄金比率,golden ratio),是 0.236、0.382、0.5、0.618、0.764、1.618、2.618 等,上述比率有助推断将来高位或低位。
这个兔子困难是意大利数学家莱昂纳多·菲波纳契(Leonardo Fibonacci)在他所著的《算盘全集》中提出的,所以这个数列称作菲波纳契数列,其中每一项称作Fibonacci数。
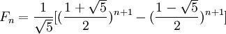
它的通项是
,由法国数学家比内(Binet)求出的。
菲波纳契数列的特点
菲波纳契数列既谓神奇数字,上述数字自有神奇之处,其特点包含:
1、从第三项起,任何一个数字均是其前两个数字的和数,比如1+1=2;1+2=3;2+3=5;3+5=8;5+8=13;8+13=21;13+21=34等。
2、任何两个相隔的数字彼此顺序相除或倒转相除,所得数字分别靠近0.382及2.618。
靠近0.382比率,比如:8÷21=0.381;13÷34=0.382;21÷55=0.382等。
靠近2.618比率,比如:21÷8=2.625;34÷13=2.615;55÷21=2.619等。
3、除首四个数字(1、1、2、3)外,两个相邻数字彼此相除,所得数字分别靠近0.618及1.618比率。
靠近0.618比率,比如:5÷8=0.625;8÷13=0.615;13÷21=0.619等。
靠近1.618比率,比如:8÷5=1.6;13÷8=1.625;21÷13=1.615等。
在股市中,菲波纳契数列的作用在于预期将来行情的升降幅。若配合波浪理论,可以神奇数字计算出预期的升降幅度;藉此,投资人可推测短线、中线或长线行情的支持位或压力位,及早趁低吸纳或趁早沽出。