存款创造乘数即货币扩张乘数,描述商业银行体系供给货币的机制,它衡量了商业银行体系内增长货币供给的数量。为了控制这个体系创造的货币量,中央银行给商业银行设置严格的预案金比例,中央银行只允许商业银行的初级存款的一部分用于放贷,这也称作现金准备比例。
简单的存款创造乘数
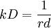
如果客户将一切款项都存入银行并没有提取现金,银行没有超标准备金,银行活期存款总额是初期存款的1/rd倍。 1/rd称为存款创造乘数,用kD表明,它是法定存款准备率的倒数,即
法定准备率与存款创造乘数
法定准备率在银行存款创造中起着控制器的作用。较低的法定准备率对应着一个较大的存款创造乘数,活期存款总额就较多;较高的法定准备率则对应着一个较小的存款创造乘数,活期存款总额就较少。这是由于,rd的值越大,每一次可用于贷款的金额越少,也就是每一次“漏出”的金额越多,因此每一次由存款创造的金额越小,进而各轮派生存款之和越小,所以乘数之值越小。这也就为中央银行控制货币供给给予了一个或许。中央银行提升或者减弱法定准备金率,就能控制商业银行创造活期存款的倍数,进而控制货币的供给。所以民众把货币供给看成是由中央银行或政府的政策决定的。
还要注意两种特殊的情形:比如rd=100%,这就是说银行务必留存的存款准备金等于它吸收的存款,此时存款创造乘数等于1。也就代表着在这个场合,受于银行新添存款全部用于准备金,因此没有新的贷款,进而没有派生存款。在其他极端情形下,假使法定准备金为零,即银行新添存款可以全部贷出,即每一次贷款所“漏出”的金额为零,在该种场合下,存款创造乘数为无穷大,即派生存款将无限扩大。幸亏现实的生活中不或许发生该种情形,民众出于各种目的而需要持有现金,从银行贷出的货币也不会再全部存回银行,银行的法定准备金率也不或许为零,所以银行不或许创造出无穷大的货币供给。
复杂的存款创造乘数
前面的分析隐含有两个假定:第一,商业银行没有超标储备。第二,银行客户将一切货币存入银行,支付完全以支票执行。显然该种假定很难符合现实经济生活。在现实经济生活中,每一名银行客户全将顾虑到日常生活中的零星支付而保留一部分现金;每一个商业银行顾虑到要应付客户的经常性的提取现金而保留有一部分超标储备。如此的结果务必使货币乘数下滑。
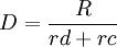
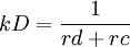
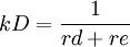
1.现金漏出的影响。事实上,银行多数客户都有提取现金的举动。假使发生客户提取现金的漏出,并如果现金漏出率为rc(rc=提取的现金/活期存款总额),那么存款总额为
,存款创造乘数变为
。
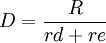
2.超标准备金的影响。实际上,银行或许为了应付各种意料之外的情形而持有少量的超标准备金。受于银行持有超标准备金,银行用于放款的资金就会降低,银行存款创造的能力就会降低进而引起存款创造乘数的变动。用re表明超标准备率(re= 超标准备金/活期存款总额),则存款总额为
,存款创造乘数相应地变为
。
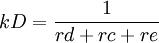
假使以上两种漏出同期发生,则银行存款创造乘数为
。显然,存在漏出时的存款创造乘数差于没有漏出时的存款创造乘数。