股票评价是对股票的对股票投资价值和投资风险的总的评估。
股票评价的首要方法是计算其价值,然后和股票市价比较,视其差于、好于或等于市价,决定购入、出售或继续持有。
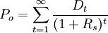
股票评价的基本模式
股票评价的基本模式:

式中:
P0──当前普通股市价;Dt──t年的股利;Rs──贴现率即必要的收益率;t──年份;
其中Dt的多少取决于每股盈利和股利支付率两个原因;贴现率可以依据股票有记录以来长期的平均收益率确定,也可以参照债券收益率加之适当的风险报酬率确定,更常见的方法是直接运用市场利率。
股票评价与股票评级
股票评价一般被定义为对股票投资价值和投资风险的总的评价,而股票评级则是根据对股票投资价值和投资风险的分析给出其投资级别。顾虑到均为对股票投资价值和投资风险的评价或评级,事实上两者从其内容和方法上来讲是统一的。但是,从其结果表现形式来说,前者没有适当的严格形式,后者有适当的严格形式,其结果显现为适当的投资级别。如美林公司将股票简单地分为"买进、中性与出售",以及摩根士丹利将股票分为"增持、中性与减仓"。所以,我们可以觉得,前者强调的是一种过程和内容,而后者强调的则是一种结果和形式。
当前,在追求结果精准的刺激下,股票评价过程与方法越来越复杂,而股票评级的结果表现却越来越简单。尤其是在网络泡沫破灭后,大量投资人的指责致使国外一部分有名的证券咨询机构都看好于给投资人一个最简单的评级结果。
假使我们关注于股票的投资价值,那么我们可以将股票评价(或股票评级)称之为股票价值评价(或价值评级)。诚然,假使仅局限于公司的财务分析,可称之为财务评价(或财务评级)。对于股票的投资风险,一般应当将它区分给市场风险与财务风险(或系统风险与非系统风险)。市场风险是指股票价格随市场波动而导致的风险,财务风险是指公司财务情况反应出的因公司运营困难导致的风险。总的来说,绝大部分的评价者(或评级者)往往给出的是一种综合性评价或评级,也就是说,评价或评级结果反应的是股票投资价值和投资风险两个方面的综合情形。