满期偿还法又称到期偿还法,是指借款人在贷款期满时一次性偿还贷款的本金和利息。
满期偿还法是最简单的清偿办式,其基本原理是依据贷款额、贷款利率以及贷款期限,依据复利计算公式直接计算出满期时的本利和,在贷款未到期前不用支付任何款项给贷款人,到期满时再以本利和数额支付。
满期偿还法的利息计算
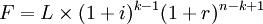
设L为贷款额,n为贷款期限(或还款次数),i为贷款利率,F为本利和¨, 则有:

这是在整个贷款期限内,假如利率恒定不变时,借款人最终要还款的额度。
利率向上调整后的计算
当下假定从第K个计息期开始利率上升为r,即r>i, 则有:

如此,假使借款人选择的是满期偿还法,那么,在利率向上调整后,他要多支付的利息为:

即:
