资本结构是指企业各种资本的价值组成及其比例。
广义的资本结构是指企业全部资本价值的组成及其比例关系。
狭义的资本结构是指企业个中长期资本价值的组成及其比例关系,特别是指长期的股权资本与债权资本的组成及其比例关系。
">编辑]资本结构理论的成长
资本结构理论是西方国家财务理论的重要构成部分之一。资本结构理论历经了旧资本结构理论和新资本结构理论两个阶段。旧资本结构理论是基于一连串严格如果执行研究的,包含传统理论、MM理论和权衡理论等。首要的研究成果包含:
(1)在理想条件下,MM理论得出资本结构与公司价值无关的结论;
(2)存在公司所得税条件下,MM理论得出公司价值随负债的增长而增长的结论;
(3)存在破产成本的条件下,权衡理论得出达到公司价值最大化要权衡避税利益和破产成本的结论。
新资本结构理论是基于非对称信息执行研究的,包含代理理论、控制权理论、信号理论和啄序理论等。首要的研究成果就是分析了在非对称信息条件下资本结构的治理效应及对公司价值的影响。
资本结构的种类
资本结构可以从不同角度来认识,于是形成各种资本结构种类,首要有资本的属性结构和资本的期限结构两种。
1、资本的属性结构:资本的属性结构是指企业不同属性资本的价值组成及其比例关系。
2、资本的期限结构。资本的期限结构是指不同期限资本的价值组成及其比例关系。
资本结构的价值基础
资本的账面价值结构是指企业资本按历史账面价值基础计量反应的资本结构。 资本的市场价值结构是指企业资本按现实市场价值基础计量反应的资本结构。 资本的目标价值结构是指企业资本按将来目标价值计量反应的资本结构。 ">编辑]资本结构的层次组成
资本结构除显现为负债和所有者权益的关系外,还可以作更深一步的层次分类。企业负债又由流动负债、长期负债组成,相应形成流动负债结构和长期负债结构,所有者权益又由投入资本和企业积攒资本组成,相应形成投入资本结构和积攒资本结构。
企业负债的组成一般用来分析资本结构与资产结构的适应性及平衡性,借以能够表明资本的种类(保守型、中庸型和激进型)。对企业来看具有战略意义的是资本组成。所有者权益的组成及其比例关系具体提示了企业资本结构的成本水平、风险程度和弹性大小。这里需要表示的是,投入资本结构的构成内容表明了企业的性质,一般一个企业的投入资本不是单一途径的,对我国企业来看一般包含国家资本、法人资本、个人资本和外商资本。
假使是股份制企业则分为普通股和优先股,这是从股票性质上划分。不同途径的资本比例具体地规范了企业的性质,假使国家资本高达控股水平,该企业也就属国家所有企业了,相应其余各种资本高达控股水平,企业的性质也即确定。不同性质的企业研究角度也相应有所区别。
">编辑]资本结构的三要素
受于资本结构的组成内容及其性质不同而对企业生产运营造成不同的影响。该种影响首要通过下述三个方面体现,从而形成衡量企业资本结构能否优化的要素。
1.成本要素这里所说成本要素是指企业筹集资金的融资费用和运用费用,即资金成本。资金成本的高低是确定资本结构能否优化的基本根据,一个优化的资本结构首先是成本最低的结构,要表明这一点,务必先了解各种资金成本的特性。
企业内部生成资金一般是无偿运用的,它不须事实对外支付资金成本,但假使从社会平均利润的角度看,资本公积、盈余公积和未分配利润这类企业积攒资本也应于运用后获得相应报酬,也就是资金成本,该种资金成本事实上是一种机会成本,是假定这部分资金用于再投资所应得到的平均利润。另一部分内部生成资金如各种应付(应交)款项,因不是企业的专项融资,而仅仅是这些资金的暂不支付而用于企业周转并没有需要支付资金成本,因此这部分融资是企业真正地无成本型融资。在大批资本结构下,增长无成本型融资比例必然减弱企业平均资金成本。企业从外部融通的资金,都务必支付资金成本。一般来看,债务性融资的成本差于主权性融资成本,该种差别的原因首要在于风险特点以及税收政策的不同。具体表当下如下三个方面:
(1)主权性融资的收益是不确定的,不像支付利息那样按期偿付,而是依据企业的运营情况视盈利水平而定。而企业的运营受多种原因的影响使其盈利水平具有未知性,进而致使主权性融资收益具有更大风险。
(2)主权性融资是企业永久性的资金来源,这对投资人来看,其回收期是不确定的,当企业效益好时回收期短;反之,则回收期长。而且,当企业运营趋于恶化,甚至破产时投资人因其受偿顺序排在债权之后,不仅要承受亏损的风险,还或许承受破产的风险。而债权人只有在企业破产清偿不能还本付息时才承受第二破产人的风险。可见,主权性融资对投资人具有更大的风险。
(3)主权性融资的资金成本也即投资人的收益是在税后支付,而负债融资的利息在税前支付,进而使企业得到适当的财务杠杆利益。
该种税收政策的差别致使企业事实支付的负债资金成本差于主权性资金成本。
负债融资内部也因偿还期限的不同使资金成本表现出差异。一般来看,流动负债成本差于长期负债成本,其原因可以归纳为下方四点:
(1)长期负债的运用相对于流动负债能形成较多的周转次数,每一次周转完成后再参与下一次周转,那么,长期负债运用后的事实盈利水平要好于流动负债运用后的事实盈利水平,该种差别为长期债权人要求更高的回报给予了或许。
(2)长期负债的偿还期限长,考虑复利的影响,长期负债的资金成本好于流动负债的资金成本,才可使两者的终值事实上等值。
(3)长期负债面对更大的通胀影响,依照公式:名义利率=事实利率+预期物价变动,长期负债的名义利率也必然要好于流动负债的名义利率。
(4)长期负债受于运用期限更长而受企业运营不平稳性的影响就更大,进而使长期负债面对更大的信用违约风险。
从财务管理的目标(企业价值最大化)出发,只有在风险不变的情形下,提升低成本的负债所占比例才可减弱平均资金成本,进而使自有资本收益率上升。而只有风险不变条件下的自有资本收益率上升,才会直接致使企业价值的提升。假使负债比率虽使全部资本利润率上升,但风险同期加大,那么,增长的利润率假使尚不足够弥补风险加大所需增长的成本时,企业自有资本收益率将下挫。总之,最优的资本结构是一个使企业价值最大的资本比例,而高达这个比例的条件就是加权资金成本的最低位。
2.风险要素在论述资金成本对企业资本结构的决定作用时,已涉及风险对资本结构的影响。成本的大小一般取决于风险的程度,两者是此消彼长的关系。
一般来看,主权性融资风险差于负债融资风险,这首要由下方两方面决定:
(1)债务融资方式下,资金不能按计划偿还的风险由企业本身承受,企业务必将到期债务如数偿还才可连续运营下去。否则,企业就要面对丧失信誉、负担赔偿甚至变卖资产的风险;而主权性融资一旦投入,就形成企业永久性资金,没有上述负债融资的偿还要求。
(2)对于债务性融资企业还面对不能付息的风险。企业支付债权人利息按约定利率定期支付不随企业运营优劣而更改,当企业运营亏损时,就面对着付息的风险。而对主权性融资的投资人的报酬依据企业盈利水平支付,当企业亏损时,企业没有务必分配利润的阻力。负债融资中长短时间负债的风险性也因其偿还期限不同而有所区别。一般来看,长期负债风险要差于流动负债风险,这首要决定于下方两方面:
①企业运用长期负债筹资,在既定的负债期内利息费用是确定的。但假使以短时间负债风险的连接来获得长期资金的运用权,则或许因利率的调整而产生利息费用的未知性。
②企业利用长期负债筹资,虽有风险,但相对要小。
由于企业可利用较长的运营期为偿还债务供应资金来源;而以短时间负债来筹措长期资金,或许会因频繁的债务周转而形成一时无法偿还的阻力,以致深陷财务窘境,甚至破产倒闭。
综上所述,企业的资本结构不同,所承受的风险阻力也不相同。企业建立资本结构所追求的目标应是在获得既定的资金成本下,尽或许得到风险最小的资本结构。
3.弹性要素所谓弹性,是指企业资本结构内部各类目的可调整、可转换性。一般来看,企业资本结构一旦形成就具有相对的平稳性,但过强的平稳结构很难适应瞬息万变的市场环境。所以,建立合理的资本结构,不应考虑弹性要素。
资本结构各类目按弹性大小可分三类。通过金融市场形成的融资,如债券、股票,当存在健全的二级市场时,企业可以快速清欠,偿还后转换,这类融资具有较高的弹性。仍有的借款一般是规定了最终的偿还期,此前企业可以依据资金的欠缺随时偿还,这类融资可立刻清欠、偿还但不能转换,这类融资不具有弹性。
企业总是期望在既定的资金成本和风险下,尽或许地得到弹性最大的资本结构。
上述三种要素对资本结构的影响在作用方面上并没有统一。一般风险小、弹性大的资本结构,资金成本高;反之亦然。企业无法使每一种融资都兼顾三者最优的特点。所以企业只能通过合理的方式,亦使各种融资得以优化组合,使资本结构在整体上达到三种要素的合理化。
">编辑]优化资本结构的原则
1.资金成本最低原则企业最优的资本结构首先应先使企业价值最大的结构,而企业价值最大的资本结构应满足加权平均资金成本最低的要求。从一定意义上讲,最优的资本结构,就是在不减弱运营企业的条件下使整个企业的平均资金成本最低。
2.筹资机会适宜原则机会是企业筹资时务必考虑的原因。如发行股票增资时,最好选择股价上涨期间。一面可以顺遂发行;另一面可以使企业得到溢价收入。
假使筹资机会选择不当,就有机会因募股不足很难筹措到充足的资金,或者即便筹措到充足的资金也或许持有资金而无法及时、有效地投入运用。
所以,企业在筹资时,务必依据本身的事实情形随时调查国内外政治经济环境以及国家的财税政策、金融政策和主业政策的改变,捕捉到适宜的机会筹措资金。
3.最优筹资组织原则资本结构是一个由点到面逐层展开的扇形结构,每一层次都有各自的组成项目。可以说资本结构是一个系统,要使这个系统发挥最佳功能,不仅要求资本结构第一层次的两大融资结构之间维持合理的比例,而并要求第二层次、第三层次各种融资之间也应维持合理的比例关系。最佳筹资组合包含筹资范围的确定,资金成本的取舍,风险的衡量以及财务杠杆的运用等。这些内容都要通过资本结构内部各组成以及项目的有机配合才可达到最优化。具体说来,就是要求在企业筹资总范围的基础上维持内外结合的策略;在偿还方式上选择最低成本方案;在偿还期限上采取分散化方式;在资金形态上坚持长短时间相结合的方针等等。
资本结构的意义
1、合理安排债权资本比例可以减弱企业的综合资本成本率。
2、合理安排债权资本比例可以得到财务杠杆利益。
3、合理安排债券资本比例可以增长公司的价值。
">编辑]资本结构与公司治理结构的关系
1.资本结构对公司的治理效应。资本结构影响着企业的委托代理关系、控制权转移和债权人的相机治理等诸多方面,从而对公司治理有着巨大的影响。
(1)股权结构的治理效应股权结构具体包含两个方面:一是指公司的股份由哪些股东持有,是股权结构质的体现:二是指各股东持有的股份占公司总股份的比重有多大,是股权结构量的体现。公司的股东一般分为个人股东和法人股东。个人股东的持股动机是追求短时间投资收益的最大化,缺乏对企业的运营者执行监督与约束的激励,一般采取“搭便车”的举动,采取“用脚投票”的方式来参与公司治理。法人股东则与个人股东不同,他们一般是公司股份的长期持有者,注重公司业绩的长期平稳与发展,一般采取“用手投票”的方式参与公司治理,对公司的治理具有举足轻重的作用。股权结构对公司治理效率的影响不仅体当下股权结构的质上,还体当下股权结构的量上。即股权集中或分散的程度。股权高度集中的情形下。能较好地处理传统的代理困难。但该种类型的公司易造成大小股东之间的利益矛盾和代理困难。股权高度分散的情形下。运营者和股东之间的代理困难较为严重,另外。分散的股东的“搭便车”动机不利于对运营者执行有效监督.易显现内部人控制的困难。在存在相对控股股东和其余大股东的情形下,有助于公司治理机制的发挥。公司业绩也比其余两种股权集中度情形下的公司业绩要好。
(2)负债的治理效应负债的治理效应可以分为两个方面:负债对运营者的激励机制和负债对运营者的约束机制。JensenandMeckling的代理成本模型表示,在经理人士非100%拥有股权的情形下.其余下索取权将伴随公司债务的增长而增长。这就致使经理人士的利益和股东利益趋于统一,从而可以激发经理人士的工作积极性。GrossmanandHart的债务担保模型觉得债务是一种担保机制。能够激励运营者付出工作,节制个人消费,对投资管理与决策愈加负责,进而减弱“两权”分离而造成的代理成本。负债对运营者的约束机制体当下下方几个方面:首先。债务是需要还本付息的。从而将引起许多的现金流出。公司一旦运营不好,就会面对破产清算。而债权人对公司的控制一般是通过受法律保护的破产程序来执行的。所以对经理人士形成硬性约束。其次。债务可以在一定程度上压抑经理人士的过分投资和盲目投资。JensenandMeckling表示。债务合约的签订可以降低运营者对自有现金流的滥用.从而压抑经理人士的过分投资举动,在一定程度上减弱了代理成本。最后,债务的存在有助于企业控制权的让渡。AghionandBolton(1992)提出的模型觉得,资本结构的选择就是控制权在股东与债权人之间的配置。最优的资本结构就是在适当的负债水平上致使公司破产时控制权由股东转移给债权人,进而达到债权人的控制。与股东控制对比。债权人的控制对运营者愈加残酷。所以。负债能更好地约束运营者。
2.治理结构对资本结构的影响。公司治理结构对资本结构的影响可从内部治理结构和外部治理结构来分析。公司的内部治理结构首要包含大股东治理、机构投资人治理、管理者持股、董事会治理等。公司的外部治理结构首要包含债权人市场、控制权市场、经理人市场等。
(1)内部治理结构对资本结构的影响首先,具有大股东的公司对经理人士的监督比较有效。而经理人士受于承受大股东的有效监督.其投融资决策将反应大股东的意志。受于债务的存在可以减弱大股东的风险.所以大股东的存在同公司的债务呈正比。
其次,机构投资人受于持股数量大、专业水平高,致使其对公司管理层的监督比一般的股东更有效率。Prevost,Roaand Hossain(1994)对机构投资人监督与公司资本结构、管理者持股之间的关系执行了实证研究。结果表明公司债务比率、管理者持股数量与机构投资人持股比率成反比。
又一次,Kimand Sorensen(1986)的实证研究发现,管理者持有的股权和企业的杠杆比率呈现明显的正有关。最后,董事会的范围、组成等全将对公司的融资决策造成正面或负面影响,最终体当下资本结构上。
(2)外部治理结构对资本结构的影响首先,公司债权人特别是银行对企业资本结构有重要的影响。Smith.Cliff 0rdand Warner(1979)觉得,公司债务对于企业管理层的约束作用来自于债权人,特别是银行的监督和严厉的债务条款。债务合同中的保护性条款对于企业运营者在投融资决策、股利分配和经理薪酬等方面的制约会有效影响企业融资举动,从而影响到企业的资本结构。
其次,控制权市场的存在致使经理方面临丧失控制权及其导致的收益的风险。债务杠杆是一种重要的抵御并购策略,Palepu(1986)发现公司被接管的机会性和企业的杠杆比率呈明显的负有关。可见,控制权市场的存在对资本结构具有重要影响。
又一次,经理人市场的存在致使经理面对两方面的阻力:更换和声誉。为此,经理人士在策划投融资方案时就会看好于采取有助于减轻这两方面阻力的投融资方案.进而影响企业的资本结构。
">编辑]资本结构的案例分析
以广东开平春晖股份有限公司为例,来分析其资本结构。广东开平春晖股份有限公司的相关资料。得到的报告如下:
公司2000年预期利润总额为109834000元,税后利润73589000元,所得税税率为33%。公司向社会公开发行流通股7000万股,发行价格8.68元,发行费17640000元,实募资金589960000元。公司无债券和优先股。
由以上报告计算其负债成本和股票成本。
1.长期借款成本
式中R1——借款年利率
F1——借款筹资费用率
T——企业所得税税率
又受于长期借款的筹资费用首要是借款手续费,一般数额很小。有时可忽视不计。
所以K1 = R1(1 − T)

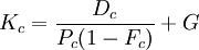
2、股票成本
其中Dc——发放的股利
Pc——普通股筹资额
Fc——普通股筹资费用率
G——股利上涨率
如果该公司的股利全部发放,则:
Dc为公司的税后利润Dc = 6125.3295万元
Pc(1 − Fc)为公司的实募金额58996万元
所以
3.公司的加权平均成本:

自此可以看出,公司加权平均资本成本差于公司的股票成本,可见适当运用债务可以减弱资本成本,如该公司将负债数额愈加大一部分还可使资本成本下滑。
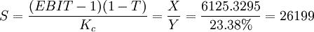
4、公司的价值V=B+S
B——债务价值
S——股票价值
万元。(注:X:税后利润,Y:股票成本)
B=5084.456万元
所以V=B+S=5084.456+26199=31283.456万元
计算所得报告与公司发行股价相差较大,首要原因是受于中国当时的证券市场的情形是上市公司发行股票的市盈率均多出国际平均水准(10—15)的市盈率,而该公司发行的市盈率为
倍,远大于其上限15。假使该公司以国际上的平均水准13倍市盈率发行的话,其发行价格为o.374×13=4.86元,与计算值靠近以10倍市盈率发行,则发行价0.374×10=3.74元,与上述理论计算值相等。
由以上的计算,理论分析可知该公司的资本结构是合理的,具有适当的投资价值。
对上市公司来说。分析企业资本结构的核心是谋求使公司的市场价值是大化的资本结构,进而使公司的股票价值最大化,投资人获取最大的投资回报。最优资本结构是指在适当的条件下使企业加权平均资本成本最低、企业价值最大的资本结构,从理论上讲,最优资本结构是存在的,但受于内部条件和外部环境经常发生改变,寻求最优资本结构十分问题。所以,最终的目标资本结构的确立,除了运用科学的理论计算,还应结合其余原因,加之分析性的思维以便使资本结构趋于最优。