“模糊”是人类感知万物,获取知识,思维推理,决策实行的重要特质。“模糊”比“清晰”所拥有的信息容量更大,内涵更丰富,更符合客观世界。
在日常生活中,民众的思维中有很多模糊的概念,如大、小、冷、热等,都没有清晰的内涵和外延,只能用模糊集合来描述。民众常用的经验规则均为用模糊条件语句表达,比如,当我们拧开水阀往水桶里注水时,有如此的经验:桶里没水或水较少时,应开大水阀;桶里水较多时,应将水阀关小些;当水桶里水快满时,则应把阀门关得很小;而水桶里水满时应快速关掉水阀。其中,“较少”、“较多”、“小一部分”、“很小”等,这些表明水位和控制阀门动作的概念都具有模糊性。即有经验的操作人士的控制规则具有很大的模糊性。模糊控制就是利用计算机模拟人的思维方式,依照人的操作规则执行控制,达到人的控制经验。
模糊控制理论是由美国著名的学者加利福尼亚大学教授Zadeh·L·A于1965年首先提出,它以模糊数学为基础,用语言规则表明方法和先进的计算机技术,由模糊推理执行决策的一种高级控制策略。
1974年,英国伦敦大学教授Mamdani·E·H研制成功第一个模糊控制器,充分展示了模糊技术的应用前景。
模糊控制概况
模糊逻辑控制(Fuzzy Logic Control)简称模糊控制(Fuzzy Control),是以模糊集合论、模糊语言变量和模糊逻辑推理为基础的一种计算机数字控制技术。1965年,美国的L.A.Zadeh创立了模糊集合论;1973年他给出了模糊逻辑控制的定义和有关的定理。1974年,英国的E.H.Mamdani首先用模糊控制语句构成模糊控制器,并把它应用于锅炉和蒸汽机的控制,在实验室得到成功。这一开拓性的工作标志着模糊控制论的诞生。
模糊控制实质上是一种非线性控制,从属于智能控制的范畴。模糊控制的一大特点是既具有系统化的理论,又有着大批事实应用背景。模糊控制的成长最初在西方遇到了较大的压力;但是在东方特别是在日本,却得到了快速而大量的推广应用。差不多20多年来,模糊控制不论从理论上依旧技术上都有了长足的进步,形成自动控制领域中一个非常活跃而又硕果累累的分支。其典型应用的例子涉及生产和生活的很多方面,比如在家用电器设备中有模糊洗衣机、空调、微波炉、吸尘器、照相机和摄录机等;在工业控制领域中有水净化处理、发酵过程、化学反映釜、水泥窑炉等的模糊控制;在专用系统和其它方面有地铁靠站停车、汽车驾驶、电梯、自动扶梯、蒸汽引擎以及机器人的模糊控制等。
模糊控制的基本理论
所谓模糊控制,就是在控制方法上应用模糊集理论、模糊语言变量及模糊逻辑推理的知识来模拟人的模糊思维方法,用计算机达到与操作者相同的控制。该理论以模糊集合、模糊语言变量和模糊逻辑为基础,用比较简单的数学形式直接将人的分析、思维过程表达出来,进而渐渐得到了普遍应用。应用领域包含图像识别、自动机理论、语言研究、控制论以及信号处理等方面。在自动控制领域,以模糊集理论为基础发展起来的模糊控制为将人的控制经验及推理过程纳入自动控制给予了一条便捷渠道。
1.模糊控制器的基本结构
如下图所示,模糊控制器的基本结构包含知识库、模糊推理、输入量模糊化、输出量精确化四部分。

2.知识库
知识库包含模糊控制器参数库和模糊控制规则库。模糊控制规则建立在语言变量的基础上。语言变量取值为“大”、“中”、“小”等如此的模糊子集,各模糊子集以隶属函数显示基本论域上的精确值属于该模糊子集的程度。所以,为建立模糊控制规则,需要将基本论域上的精确值根据隶属函数归并到各模糊子集中,进而用语言变量值(大、中、小等)代替精确值。这个过程代表了人在控制过程中对观察到的变量和控制量的模糊划分。受于各变量取值规模各异,故首先将各基本论域分别以不同的对应关系,映射到一个标准化论域上。一般,对应关系取为量化因子。为便于处理,将标准论域等分离散化,然后对论域执行模糊划分,定义模糊子集,如NB、PZ、PS等。
同一个模糊控制规则库,对基本论域的模糊划分不同,控制效果也不同。具体来看,对应关系、标推论域、模糊子集数以及各模糊子集的隶属函数都对控制效果有很大影响。这3类参数与模糊控制规则具有同样的重要性,所以把它们归并为模糊控制器的参数库,与模糊控制规则库共同构成知识库。
模糊控制规则的来源有3条渠道:基于专家经验和事实操作,基于模糊模型,基于模糊控制的自学习。
3.模糊化
将精确的输入量转化为模糊量F有两种方法:
(1)将精确量转换为标准论域上的模糊单点集。精确量x经对应关系G转换为标准论域x上的基本元素,则该元素的模糊单点集F为
uF(u)=1 if u=G(x)

(2)将精确量转换为标准论域上的模糊子集。
精确量经对应关系转换为标准论域上的基本元素,在该元素上具有最大隶属度的模糊子集,即为该精确量对应的模糊子集。
4.模糊推理
最基本的模糊推理形式为:
前提1IF A THEN B
前提2IF A′
结论THEN B′
其中,A、A′为论域U上的模糊子集,B、B′为论域V上的模糊子集。前提1称为模糊蕴涵关系,记为A→B。在事实应用中,一般先针对各条规则执行推理,然后将各个推理结果总合而得到最终推理结果。
5.精确化
推理得到的模糊子集要转换为精确值,以得到最终控制量输出y。当前常用两种精确化方法:
(1)最大隶属度法。在推理得到的模糊子集中,选取隶属度最大的标准论域元素的平均值作为精确化结果。
(2)重心法。将推理得到的模糊子集的隶属函数与横坐标所围面积的重心所对应的标准论域元素作为精确化结果。
在得到推理结果精确值之后,还应按对应关系,得到最终控制量输出y。
模糊控制理论研究的现况
即使模糊控制理论已经获得了不错的进度,但与常规控制理论对比仍不成熟。模糊控制系统的分析和设计仍未建立起有效的方法,在很多场合下依然需要依靠经验和试凑。近年来,很多人一直试图将常规控制理论的概念和方法扩展至模糊控制系统,而模糊控制与神经网络相结合的方法已形成研究的热点,二者的结合有效地助推了自学习模糊控制的成长。
模糊控制易于得到由语言表达的专家知识,能有效地控制那些很难建立精确模型而凭经验可控制的系统,而神经网络则受于其仿生特性更能有效利用系统自身的信息,并能映射任意函数关系,具有并行处理和自学习能力,容错能力也很强。在集成大系统中,神经网络可用于处理低层感知报告,模糊逻辑可用于描述高层的逻辑框架。模糊逻辑与神经网络的结合有两种情形:一是将模糊技术用于神经网络形成模糊神经网络,一是用神经网络达到模糊控制。这两方面均见于大批的研究文献。
常范围糊控制的两个首要困难在于:改进稳态控制精度和提升智能水平与适应能力。从大批文献中可以看出,在事实应用中,往住是将模糊控制或模糊推理的思想,与其余相对成熟的控制理论或方法结合起来,发挥各自的长处,进而得到理想的控制效果。
如:利用模糊复合控制理论的分档控制,将PI或PID控制策略引入Fuzzy控制器,组成Fuzzy-PI或Fuzzy-PID复合控制;适应高阶系统模糊控制需要的三维模糊控制器;将精确控制和模糊控制结合起来的精确—模糊混合控制;将预期控制与模糊控制相结合,利用预期模型对控制结果执行预报,并依据目标误差和操作者的经验应用模糊决策方法在线修正控制策略的模糊预期控制等。
模糊控制的成长过程中,提出了多种自组织、自学习、自适应模糊控制器。它们依据被控过程的特性和系统参数的改变,自动生成或调整模糊控制器的规则和参数,高达控制目的。这类模糊控制器在达到人的控制策略基础上,又更深一步将人的学习和适应能力引入控制器,使模糊控制具有更高的智能性。自校正模糊控制器、参数自调整模糊控制等控制方法也都较大地加强了对环境改变的适应能力。
模糊控制与其余智能控制方法的结合构成的模糊控制,如专家模糊控制能够表达和利用控制复杂过程和对象所需的启发式知识,重视知识的多层次和分类的需要,弥补了模糊控制器结构过于简单、规则比较单一的缺陷,赋予了模糊控制更高的智能。
二者的结合还能够拥有过程控制复杂的知识,并能够在更为复杂的情形下对这些知识加以有效利用。
基于神经网络的模糊控制能够达到局部或全部的模糊逻辑控制功能。
模糊控制器正向着自适应、自组织、自学习方向发展,致使模糊控制参数、规则在控制过程中自动地调整、修改和完善,进而持续完善系统的控制性能,高达更好的控制效果,而与专家系统、神经网络等其余智能控制技术相融合形成其发展趋势。
模糊控制基础
模糊控制的基本思想是利用计算机来达到人的控制经验,而这些经验多是用语言表达的具有很大模糊性的控制规则。模糊控制器(Fuzzy Controller,即FC)得到重大成功的首要原因在于它具有如下一部分突出特点:
模糊控制是一种基于规则的控制。它直接采取语言型控制规则,出发点是现场操作人士的控制经验或有关专家的知识,在设计中不需要建立被控对象的精确数学模型,因此致使控制机理和策略易于接受与理解,设计简单,便于应用。
由工业过程的定性认识出发,比较容易建立语言控制规则,因此模糊控制对那些数学模型很难获取、动态特性不易掌握或改变非常明显的对象非常适用。
基于模型的控制算法及系统设计方法,受于出发点和性能指标的不同,容易致使较大差异;但一个系统的语言控制规则却具有相对的独立性,利用这些控制规律间的模糊连接,容易寻到折中的选择,使控制效果好于常规控制器。
模糊控制算法是基于启发性的知识及语言决策规则设计的,这有助于模拟人工控制的过程和方法,加强控制系统的适应能力,使之具有适当的智能水平。
模糊控制系统的鲁棒性强,干扰和参数改变对控制效果的影响被大大降低,尤其适合于非线性、时变及纯落后系统的控制。
模糊控制的特点
简化系统设计的复杂性,特别适用于非线性、时变、模型不完全的系统上。 利用控制法则来描述系统变量间的关系。 不用数值而用语言式的模糊变量来描述系统,模糊控制器不必对被控制对象建立完整的数学模式。 模糊控制器是一语言控制器,致使操作人士易于运用自然语言自然语言执行人机对话。 模糊控制器是一种容易控制、掌握的较理想的非线性控制器,具有较佳的适应性及强健性(Robustness)、较佳的容错性(Fault Tolerance)。模糊控制的缺点
1.模糊控制的设计尚缺乏系统性,这对复杂系统的控制是很难奏效的。所以如何建立一套系统的模糊控制理论,以处理模糊控制的机理、平稳性分析、系统化设计方法等一连串困难;
2.如何得到模糊规则及隶属函数即系统的设计办法,这在当前完全凭经验执行;
3.信息简单的模糊处理将致使系统的控制精度减弱和动态品质变差。若要提升精度则必然增长量化级数,进而致使规则搜索规模扩大,减弱决策速度,甚至不能实时控制;
4.如何保证模糊控制系统的平稳性即如何处理模糊控制中有关平稳性和鲁棒性困难。
模糊控制理论首要研究内容
模糊控制理论首要研究内容:模糊控制平稳性,模糊模型的辨识,模糊最优控制,模糊自适应控制,与其余控制结合等。如将智能控制与传统控制方法相结合,造成了模糊变结构控制(FVSC),自适应模糊控制(AFC),自适应神经网络控制(ANNC),神经网络变结构控制(NNVAC),神经网络预期控制(ANNPC),模糊预期控制(FPC),专家模糊控制(EFC),模糊神经网络控制(FNNC),专家神经网络控制(ENNC)等方法。
模糊控制系统
模糊控制以现代控制理论为基础,同期与自适应控制技术、人工智能技术、神经网络技术的相结合,在控制领域得到了空前的应用。
Fuzzy-PID复合控制Fuzzy-PID复合控制是模糊技术与常规PID控制算法相结合,以高达较高的控制精度。当温度偏差较大时采取Fuzzy控制,响应速度快,动态性能好;当温度偏差较小时采取PID控制,使其静态性能好,满足系统控制精度。所以它比单个的模糊控制器和单个的PID调节器均有更好的控制性能。
自适应模糊控制该种控制方法具有自适应自学习的能力,能自动地对自适应模糊控制规则执行修改和完善,以提升控制系统的性能。对于那些具有非线性、大时滞、高阶次的复杂系统有着更好的控制性能。
参数自整定模糊控制也称为比例因子自整定模糊控制。该种控制方法对环境改变有较强的适应能力,在随机环境中能对控制器执行自动校正,致使被控对象特性改变或扰动情形下控制系统维持较好性能。
专家模糊控制EFC(Expert Fuzzy Controller)模糊控制与专家系统技术相结合,更深一步提升了模糊控制器智能水平。该种控制方法既维持了基于规则的方法的价值和用模糊集处理导致的灵活性,同期把专家系统技术的表达与利用知识的长处结合起来,能处理更大量的控制困难。
仿人智能模糊控制其特点在于IC算法具有比例模式和维持模式两种基本模式。这两种特点致使系统对误差绝对值改变时,可使系统处在闭环运行和开环运行两种状态。如此能妥善处理平稳性、精准性、迅速性的冲突,能较好地应用于纯落后对象。
神经模糊控制(Neuro-Fuzzy Control)该种控制方法以神经网络为基础,利用了模糊逻辑具有较强的结构性知识表达能力,即描述系统定性知识的能力以及神经网络的强大的学习能力与定量报告的直接处理能力。
多变量模糊控制该种控制适用于多变量控制系统。一个多变量模糊控制器有多个输入变量和输出变量。
模糊控制理论案例分析
案例一:模糊控制理论在经济预期中的运用
一、前言
1965年美国控制论专家Zadeh教授创立了模糊集理论,为描述和研究模糊现象给予了有力的数学工具。1974年英国自动控制专家E.H.Mamdani教授成功地将模糊语言逻辑运用于工业过程,标志着模糊控制的诞生。差不多40年来,模糊控制理论获得了很大的成长,在大量领域得到了大量的应用。
在经济领域,经济计量学中是依据经济学和统计学理论,利用给定的报告建立模型,用于经济预期、策略评估等。所谓预期就是利用样本报告和样本预期模型来预期系统将来时刻的预期值。到迄今为止,经济计量学中差不多所有的预期模型都把经济现象看为一种随机现象,依据统计学理论为之建立预期模型。但是很多经济现象不仅仅具有随机性,同期也具有模糊性。比如,当我们说某商品的质量好时,术语“好”就是一个模糊概念。对这类经济现象,假使仅考虑其随机性而忽视其模糊性,显然所建立的模型预期效果不会太理想。此外,有些经济现象中的相关原因不一定存在统计关系,如此就很难对它们建立统计模型。有时为了得到较高的模拟效果,常常增长外生变量的数目来建立多变量模型,如此不但增长了计算量,而且积攒了误差。但是将某些原因适当地执行模糊化处理就可提升预期精度。
针对以上几个困难,本文提出建立模糊控制模型来执行经济预期。首要思想是:在影响内生变量的大量原因中,突出首要原因,把外生变量和内生变量之间的关系看作模糊关系,运用模糊控制的基本理论和方法建立模型。
二、模糊控制系统在经济领域的应用
模糊控制理论已成功地运用于大量领域,包含经济领域,这里将利用模糊控制理论来建立一个模糊控制模型,用它来对一类具有模糊性原因的经济现象执行经济预期。
依据统计分析方法中的主元素分析法,从与内生变量有关的大量原因中选取首要原因作为输入变量。建模步骤如下:步骤一:把输入输出空间划分为模糊空间建立模糊控制模型时,所有的输入输出变量都需要模糊化,用模糊集合来表明。如选一变量z,将其论域等分为k个子区间,定义k+1个模糊集合,为计算简便起见,这里选三角形隶属度函数。
步骤二:建立模糊规则首先,依据给定的报告对生成模糊规则。具体做法为:对每组输入输出报告
确定
和yp分别隶属于模糊集
和
的隶属度值,Ni和Ny分别表明依据步骤一在变量xi和y论域上定义的模糊集的数。选择致使
具有最大隶属度值的模糊集
,相似的选择
,则得模糊规则:假使x1为A1j * 且…且xn为
,则y为
。
(注:若由输入输出报告对生成矛盾规则,即规则的“IF”部分相同而“THEN”部分不同,这时可为每条规则赋予一个力度,然后从矛盾的规则群中选择力度最大的一条。)其次,在实践中,输入输出报告对比较少时,生成的规则也比较少,会致使模型达不足预期的精度。这时可以请该领域的专家依据他们的经验给出一部分控制规则,这也是模糊控制的特点,即结合专家经验。
直观上,可以把一个模糊规则库描述成一个两维输入的表格,每一个空格对应着一条规则。该种建立模糊规则库的方法可以看作是用恰当的规则来填表格,故称其为查表法。
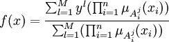
步骤三:构造模糊系统依据步骤二中生成的模糊规则库,选用带有单值模糊器、模糊规则库规则、乘积推理机和中心平均解模糊器的模糊系统,其模型为:
。
其中,是外生变量,f(x)是内生变量。
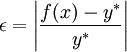
由模型公式(1)可见,输出f(x)是一个精确值,但在事实应用中不或许精准无误地预期一个值,必定带有误差。设真值为y * ,则可用相对误差
衡量预期的精准度。
三、实例分析
众所周知,商品的销售与商品的单价、广告促销费、信誉、品牌等大量原因相关。为了检测本文设计的模糊控制模型的效果,这里选择一种商品,其销售首要受广告促销费和信誉(其评定是模糊的)影响。报告调查如下:
2003年到2007年报告
选广告促销费和信誉为输入变量,销售收入为输出变量。信誉已经是一个模糊变量,设B1={低},B2={较低},B3={一般},B4={较高},B5={高},将其定义在上。分别将广告促销费和销售收入划分为7个模糊集
和
。三个变量均取如(13)的三角隶属度函数。
依据建模步骤中的第二步建立规则库,得模糊规则如下表:
表:模糊规则
(注:表中黑体的规则是由报告对生成,其它来自专家经验)现已知2008年该商品的广告促销费为7789百万美元,信誉评价为高,则依据本文建立的模糊控制预期模型,应用Matlab编程计算2008年的销售收入为79998百万美元。经调查知2008年该商品真正收入为80853,相对误差为1.06%,易见预期结果比较好。
注:本文为了表明所设计模糊控制模型如何工作,为简便起见,所选实例考虑原因较少,在具体运用该模型执行经济预期时,可考虑更全面,多选几个有关原因作为输入变量,则预期结果将令更好。
应用模糊控制的基本理论和方法建立的模糊控制模型,与用经济学和统计学原理所建立的模型对比较,可以更简单方便地对一类具有模糊性有关原因的经济现象执行比较精准的预期。模糊控制充分考虑了专家的知识经验,对具有模糊原因的系统具有其它控制无法比拟的优越性。伴随模糊控制理论的成长与完善,模糊控制在自然科学和工程实践中也将得到越来越大量的应用。