货币流通速度(velocity of money circulation/Velocity of Circulation)
货币流通速度简述
货币流通速度是指单位货币在一定期间内的周转(或达到交换)次数。
商品达到交换后,一般会退出流通,进入生产或生活消费;而货币作为达到商品交换的媒介手段,是处在流通中持续地为达到商品交换服务。在一定时期内,多种商品交换活动持续继起,同一单位货币就可以为多次商品交换服务,进而达到多次周转。比如,在一定时期内,甲用10元向乙买花生,乙用这10元向丙买布,丙又用它向丁买衣服,这10元货币在一定时期内达到了30元的商品价值,其流通速度是3次。
影响要素
首要有经济和心理两个方面,其中经济原因是基本的,包含:
①居民的货币收入水平和开支结构改变的影响。一般情形下,收入水平既定,消费结构不会有大的改变。当收入水平有较大提升时,消费结构中用于高档消费品的部分会增长。在积储过程未达到买入力,居民持币率就呈上升趋势。这就会促成货币流通速度的放慢。
②产业结构及生产专业化情况的影响。不同生产周期、不同资本有机组成的产业部门之间的比重不同,以及社会生产的专业分工程度不同等,全将影响货币流通速度。生产周期长的部门,资金周转慢,其货币流通速度相对较慢;反之,则较快。资本有机组成高的部门,资金占用多,使货币流通速度放慢;反之,则加速。社会生产的专业化分工越细,进入市场交易的中间产品越多,生产效率越高,生产周期缩短,达到国民生产总值越多,流通速度就越快;反之,则较慢。社会再生产过程中所有这些方面发生改变,全将相应地影响货币流通速度发生快慢不等的改变。
③经济单位数量和金融市场发达情况的影响。参与运营及收入分配的个人和企业数量越多,社会整体效益提升,货币流通速度就加速,否则货币流通速度就慢。金融市场越发达,商品交易之外的货币交易占用量越多,货币流通速度越慢;反之,则相对加速。
④财务及结算制度的影响。如一定期间中分多次支付薪资,每项支付期短,会加速货币流通速度;反之,则慢。金融业发达,能采取多样灵活的结算方式,降低资金占用时间,可以加速货币流通速度;反之,则慢。
影响货币流通速度的心理原因首要是消费者对经济事态的预期和对信用货币及纸币的信任程度。心理原因包含民众的支付习惯、消费心理、价值观念,以及对通胀率、利率等变动的预期,还包含对政府的巨大政策改变和其余政治原因的预期等。心理预期致使的举动改变,会在一定程度上有时甚至是很大程度上左右民众的积蓄和买入举动,进而影响货币流通速度。
上述影响货币流通速度的诸多原因错综复杂地交织在一起,使货币流通速度在很大程度上形成很难考察和计算的变量。
计算公式
货币流通速度的计算公式,从K.马克思有关货币流通规律的公式变换得出。货币流通规律的基本公式是:
实施流通手段职能的货币必要量(M)=待销售商品数量(Q)×单位商品价格(P))/同名货币的流通次数(V)
即
将上式移项,即可得出货币流通速度的计算公式为:

根据这一公式,可以计算出任什么时候期的事实货币流通速度。对计划将来期间货币流通速度的改变,一般是以前期或正常年度的货币流通速度为基础,综合分析以上各类原因的影响,再做出预期。一般是排列一定期间中影响货币流通速度正、负改变的诸原因,最后预期出该期货币流通速度是呈加速或延缓的变动趋势。
计算货币流通速度,仍有两个著名公式,即现金交易方程式和剑桥方程式。现金交易方程式由美国经济专家I.费希尔提出,其公式为: MV=PT式中M表明流通中货币数量,V表明货币流通次数,P表明一般商品价格,表明最终产品和中间产品交易量的总和。在货币周转量V与其相对应的商品交易量PT 的概念范畴下所求出的货币流通速度可用V代表,又称货币的交易流通速度,它首要受支付制度和支付习惯的影响。剑桥方程式是在英国经济专家A.马歇尔的现金余额说基础上,由A.C.庇古用方程式首先提出,其公式为:M=kpy
式中M表明民众持有的货币量,k为货币量占国民收入或国民生产总值的比率,P为最终产品和劳务价格水平,y为按固定价格计算的国民收入或国民生产总值,P即为名义收入它是从其他角度来表明货币流通速度的依据剑桥方程式求得的货币流通速度,用V表明,又称货币的收入流通速度,是当代国际上相关货币流通速度的流行看法。
货币流通速度和货币乘数的关系
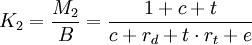
货币乘数是指在基础货币(高能货币)基础上货币供给量通过商业银行的创造存款货币功能造成派生存款的作用造成的信用扩张倍数。依据货币乘数理论其公式为:

其中,K2为广义货币乘数,c为现金漏损率.rd为活期款准备金率,t为定期和积蓄存款占活期存款的比重,rt为定期存款准备金率,e为超标准备率。
结合(1)和(2)得出:

不难看出,在适当的名义国内生产总值下,货币乘数B和货币流通速度V之间存在着反比关系,即在适当的产出水平下,货币流通速度放大,则货币乘数降低;反之亦然。所以要分析金融创新对货币流通速度的影响,只要找出影响货币乘数的原因,就可以得出相应的结论。