现货期权简述
现货期权是以现货为标的资产的期权,期货期权是以期货为标的资产的期权。在交易所交易的期权首要有商品期权与金融期权两大类,其中所有的商品期权均为以商品期货作为标的资产的,所以均为期货期权;金融期权有的是以现货作为标的资产的(比如股票期权、指数期权、利率期权与外汇期权),所以属于现货期权范畴,有的是以期货作为标的资产的(比如指数期货期权、利率期货期权、外汇期货期权),所以属于期货期权范畴。
现货期权与期货期权的差异
全球在交易所交易的期权品种依照期权的有关产品分为商品期权、外汇期权、利率期货、指数期权与股票期权。商品期权的基础产品是农牧林、能源与金属产品。其中,农牧林产品包含大麦、菜籽油、菜籽粕、活牛、玉米、棉花、奶制品、亚麻、燕麦、橙、活猪、稻米、大豆、葵花籽、小麦、羊毛、可可豆、咖啡豆、食糖、木材等。这些商品期权品种的合约单位无一例外均为商品期货合约;外汇期权、利率期权品种的合约单位大部分是金融期货合约,少数品种的合约单位是货币或者债券;指数期权品种的合约单位绝大多是指数(事实上是指数所对应的一揽子基础产品),极少数品种的合约单位是指数期货合约;而只有金融期权中的股票期权的合约单位无一例外是股票。不同类别的期权,其合约单位这样泾渭分明,是有其适当的道理的。
一、在基础产品上的差异
在理论上,任何事物都可以形成衍生品的基础产品,但在事实上,衍生品的基础产品需要满足适当的条件。而且这些条件的相符程度越好,就越将对合约交易有利。
条件之一是基础产品要在一段时期内维持相对平稳的性质,比如商品期货就要求基础商品具有较长的保质期。同样道理,商品期权也要求基础产品的质地具有很好的平稳性。尽管很多商品现货(比如现货铜)也能够基本满足在质地平稳性上的要求,但比起无所谓保质期的商品期货合约来说要逊色一部分。所以,商品期权应当首选期货合约作为基础产品。而外汇、利率、指数、股票等产品就差不多不存在保质期的困难,所以这些产品方面的期权也会考虑直接采取现货作为基础产品。
条件之二是基础产品的品质易于划分,质量可以评价。很多商品现货的品质是比较容易划分的且质量可以评价的(比如现货铜),但这些商品现货毕竟需要一个分割与质检的过程,而商品期货作为一种标准产品是不需要考虑分割与质检的。从这个意义上来看,商品期权依旧应当首先考虑期货合约作为基础产品。外汇、利率、指数、股票相对商品来说,也是一种比较标准的产品,一般不需要考虑分割与质检的困难,所以在产品设计的时机也会考虑直接采取现货作为基础产品。
条件之三是基础产品的市场流动性好。场内的商品期货是一种标准化的产品,民众可以依据自己需求,仅用少量的保证金通过期货市场来锁定风险或者执行投资。而通过商品现货买卖来锁定风险或者执行投资,既需要占领大批资金,又需要通过繁琐的买卖事实手续,交易中还存在信用风险。这就致使很多商品的期货市场流动性要好于现货市场,所以商品期权相应采取期货合约作为基础产品就顺理成章了。
外汇、利率的投资人许多是银行如此的专业金融机构,外汇期货与利率期货予以了这些专业金融机构更便捷的风险管理工具,所以外汇期货市场与利率期货市场的流动性非常好,进而产生很多国家的外汇期权产品与利率期权产品采取期货合约作为基础产品。
指数、股票的投资人一般不再集中于专业金融机构,日常的流动性往往依靠普通投资人如此的911.html">小散支撑。而普通投资人看好于简单易懂的产品,加上他们较少关注于指数期货市场与股票期货市场,所以指数期权、股票期权往往被设计形成直接以指数或者股票作为基础产品的形式。
条件之四是要求基础产品价格波动频繁。一般来说,价格波动较大的现货,其期货价格波动也较大,反之亦然。但是,期货价格除了承受现货价格的影响之外,还承受利率等其它原因的影响,而利率等原因对商品现货价格影响较小,所以商品期货的单价波动往往比商品现货更为频繁。也是基于此原因,商品期权差不多选择商品期货作为基础产品。
二、在实施方式上的差异
现货期权的实施方式既有欧式也有美式,期货期权的实施方式同样既有欧式也有美式。但从经济意义上来说,欧式现货期权与美式现货期权的价值具有明显性差异,而一般情形下的欧式期货期权与美式期货期权的价值差不多没有差异。比如,对于股票期权这一现货期权来说,假使期权到期前股票有红利派发,则在红利除权日以前提早实施股票期权或许比等到期权到期日实施更有利。而期货期权除非利率发生很大的突变,其提早实施举动从经济意义上来说是无利可图的。导致,在期货期权市场流动性差于期货市场的情形下,美式期权予以了期权持有者锁定收益的便利而已。
很多现货期权受于很难采集到统一而权威的结算价格,被逼采取现货交割方式。而采取现货交割方式的市场就难免有投资人利用现货需求或者供给有限的客观条件采取“2635">2635.html">多逼空”或者“空逼多”方式,进而致使市场风险放大。另外,这些很难采集到统一而权威的结算价格的现货期权,其产品形式也所以局限在基础期权产品形式上,很难拓展到亚式期权等奇异期权产品形式上。
期货期权在客观上允许现金交割方式,很多期货期权依然采取基础期货合约交割方式往往是承受当地法律制约或者仅仅由于市场习惯而已。但是这些采取基础期货合约交割方式的期货期权市场,除了很难避免“2635">2635.html">多逼空”或者“空逼多”致使的市场风险之外,也必须为期权实施转换形成期货头寸留出时间,致使期货期权的到期日要比基础期货合约到期日提早数周,影响了期货期权功能的充分发挥。
三、在定价机制上的差异
现货期权的基础产品是现货,欧式看多现货期权允许买方在期权到期时有权利依照事先约定的实施价格买进现货,欧式看空现货期权允许买方在期权到期时有权利依照事先约定的实施价格出售现货。以ST 指代期权到期时的现货市场价格,以K 指代期权合约事先约定的实施价格,则欧式看多现货期权的买方在期权到期日的收益是max[(ST − K),0] ,欧式看空现货期权的买方在期权到期日的收益是
max[(K − ( < math > ST),0] 。
我们假定现货价格遵循如下过程:
dS = μsSdt + σSdw
其中dw 是维纳过程,且σ为常数。构造避险证券组合Π 如下:
−1: 现货期权
:现货
避险证券组合Π 持有者从组合中的现货期权与现货得到的收益应当等于该避险证券组合价值的无风险收益,所以有:
(2)
α是单位时间每一元现货商品的储存费用减去便利收益。
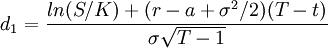
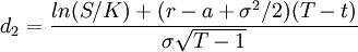
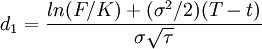
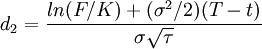
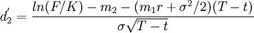
考虑欧式看多现货期权边界条件max[(ST − K),0] 与欧式看空现货期权边界条件max[(K − ST),0] ,则欧式看多现货期权价格为 cs = Se − a(T − t)N(d1) − Ke − r(T − t)N(d2)(3)
而欧式看空现货期权价格为
Ps = Ke − r(t − 1)[1 − N(d2)] − Se − a(T − t)[1 − N(d1)](4)
此处,


期货期权的基础产品是期货,欧式看多期货期权允许买方在期权到期时有权利依照事先约定的实施价格买进期货,欧式看空期货期权允许买方在期权到期时有权利依照事先约定的实施价格出售期货。以FT 指代期权到期时的期货市场价格,以K 指代期权合约事先约定的实施价格,则欧式看多期货期权的买方在期权到期日的收益是max[(K − FT),0] ,欧式看空期货期权的买方在期权到期日的收益是max[(K − FT),0]。
我们假定期货价格遵循如下过程:
dF = μFFdt + σFdw (5)
其中dw 是维纳过程,且σ为常数。
构造避险证券组合Π 如下:
−1: 期货期权
:期货合约
避险证券组合Π 持有者从组合中的期货期权与期货合约得到的收益应当等于该避险证券组合价值的无风险收益,而期货合约构建成本差不多可以看为零,所以有:
(6)
考虑欧式看多期货期权边界条件max[(FT −K),0] 与欧式看得期货期权边界条件max[(K − FT),0],则欧式看多期货期权价格为
c = Fe − r(T − t)N(d1) − Ke − r(T − t)N(d2) (7)
而欧式看空期货期权价格为
p = Ke − r(T − t)[1 − N(d2)] − Fe − r(T − t)[1 − N(d1)] (8)
此处,


期货期权定价与现货期权定价的差异
1973 年,Black F.与Scholes M.推导出了基于标的资产的任何衍生证券的单价务必满足的微分方程(即著名的Black-Scholes 微分方程),进而得出了现货期权定价模型。三年之后,Black F.在Black-Scholes 微分方程的基础上,针对期货期权推导出了Black 期货期权定价模型。但是Black 期货期权定价模型中没有考虑期货交易中保证金与期货交易手续费所导致的影响。
Black 期货期权定价模型
期货期权的标的是期货,欧式期货认买期权允许买方在期权到期时有权利依照事先约定的实施价格买进期货。假使期权到期时的期货市场价格好于实施价格,期权买方就实施期权进而通过低价买进期货得到收益,假使此时的期货市场价格差于或者等于实施价格,期权买方就放弃实施的权利。以指代期权到期时的期货市场价格,以FTK 指代期权合约事先约定的实施价格,则欧式期货认买期权的买方在期权到期日的收益是max[(FT −K),0] 。
欧式期货认卖期权允许买方在期权到期时有权利依照事先约定的实施价格 出售期货。假使期权到期时的期货市场价格差于实施价格,期权买方就实施期权 进而通过高价价出售期货得到收益,假使此时的期货市场价格好于或者等于实施价格,期权买方就放弃实施的权利。以FT指代期权到期时的期货市场价格,以K指代期权合约事先约定的实施价格,则欧式期货认卖期权的买方在期权到期日的收益是max[(K − FT),0] 。
我们假定期货价格遵循如下过程:
dF = μFFdt + σFdw
其中dw 是维纳过程,且σ为常数。
构造避险证券组合Π 如下:
−1: 期货期权
:期货合约
避险证券组合Π 持有者从组合中的期货期权与期货合约得到的收益应当等于该避险证券组合价值的无风险收益,而Black F.觉得期货合约构建成本为零,所以有:
(2)
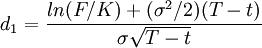
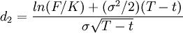
考虑欧式期货认买期权边界条件max[(FT − K),0]与欧式期货认卖期权边界条件max[(K − FT),0],则欧式期货认买期权价格为
c = Fe − T(T − t)N(d1) − Ke − r(T − t)N(d2)(3)
而欧式期货认卖期权价格为
p = Ke − r(T − T)[1 − N9d2)] − Fe − r(T − t)[1 − N(d1) (4)
此处,


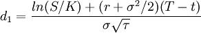
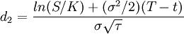
而欧式现货认买期权价格为
c = SN(d1) − Ke − r(T − t)N(d2) (5)
欧式现货认卖期权价格为
p = Ke − r(T − t)[1 − N(d2)] − S[1 − N(d1)](6)
此处,


考虑期货保证金与交易手续费影响的Black 期货期权定价模型
在事实市场交易中,期货的买入不是一个纯粹信用交易,在买入期初就需要缴纳一定量的保证金(假定保证金率为m1),尽管交易所在期货交割或者平仓时会归还保证金给投资人,但投资人事实上损失了保证金的利息。同期,执行期货交易仍需要缴纳一定量的手续费(假定手续费率为m2)。
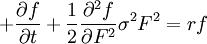
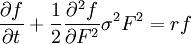
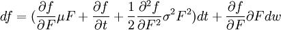
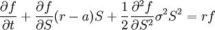
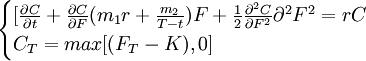
受于期货期权价格f = f(F,t)是F与t的函数,依据Itô 定理,它满足:
(7)
构造避险证券组合Π 如下:
−1: 期货期权
:期货合约
由于期货合约的初始价值为零,所以该避险证券组合的价值为:
Π = − f (8)
定义Δf 与ΔF 分别为期货期权价格f 与期货价格F 在时间Δt 内的改变。在Δt 时期内,该避险组合的持有者从期货期权中获取的收益为−Δf 。考虑期货保证金的利息损失与交易手续费,则该避险组合的持有者在Δt 时期内从期货合约中获取的收益为:
|=\frac{\partial f}{\partial F}" />|m_1 rF-\left|
|=\frac{\partial f}{\partial F}" />| \frac{m_2}{T-t}F-\triangle f" />|m_{1}rF-\left|
|=\frac{\partial f}{\partial F}" />|m_1 rF-\left|
|=\frac{\partial f}{\partial F}" />| \frac{m_2}{T-t}F-\triangle f" />|\frac{m_2}{T-t}F" />|m_{1}rF-\left|
|=\frac{\partial f}{\partial F}" />|m_1 rF-\left|
|=\frac{\partial f}{\partial F}" />| \frac{m_2}{T-t}F-\triangle f" />|m_{1}rF-\left|
|=\frac{\partial f}{\partial F}" />|m_1 rF-\left|
|=\frac{\partial f}{\partial F}" />| \frac{m_2}{T-t}F-\triangle f" />|\frac{m_2}{T-t}F" />|\frac{m_2}{T-t}F" />(9)
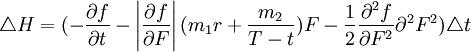
定义ΔH 为该避险组合的持有者在在Δt 时期内的资产改变,则有:
|=\frac{\partial f}{\partial F}" />|m_1 rF-\left|
|=\frac{\partial f}{\partial F}" />| \frac{m_2}{T-t}F-\triangle f" />|m_{1}rF-\left|
|=\frac{\partial f}{\partial F}" />|m_1 rF-\left|
|=\frac{\partial f}{\partial F}" />| \frac{m_2}{T-t}F-\triangle f" />|\frac{m_2}{T-t}F" />|m_1 rF-\left|
|=\frac{\partial f}{\partial F}" />|m_1 rF-\left|
|=\frac{\partial f}{\partial F}" />| \frac{m_2}{T-t}F-\triangle f" />|m_{1}rF-\left|
|=\frac{\partial f}{\partial F}" />|m_1 rF-\left|
|=\frac{\partial f}{\partial F}" />| \frac{m_2}{T-t}F-\triangle f" />|\frac{m_2}{T-t}F" />| \frac{m_2}{T-t}F-\triangle f" />(10)
式(3)与(9)的离散形式如下:


其中
,ε是标准正态分布的随机抽样。则有:
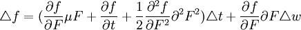
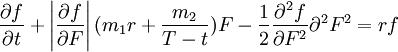
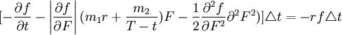
|=\frac{\partial f}{\partial F}" />|(m_1 r+\frac{m_2}{T-t})F-\frac{1}{2}\frac{\partial^2 f}{\partial F^2}\partial^2 F^2)\triangle t" />
由于这是一个无风险的证券组合,所以下列等式是成立的:
ΔH =rΠΔt
而Π = − f ,所以有:
|=\frac{\partial f}{\partial F}" />|(m_1 r+\frac{m_2}{T-t})F-\frac{1}{2}\frac{\partial^2 f}{\partial F^2}\partial^2 F^2)]\triangle t=-rf\triangle t" />
则有:
|=\frac{\partial f}{\partial F}" />|(m_1 r+\frac{m_2}{T-t})F-\frac{1}{2}\frac{\partial^2 f}{\partial F^2}\partial^2 F^2=rf" />(11)
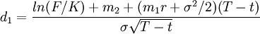
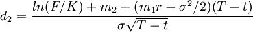
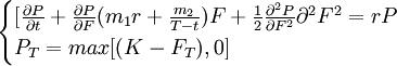
令FT为认买期权到期时的期货价格,K为认买期权的实施价格,则欧式期货认买期权持有者在到期时达到的收益是max[(FT − K),0],且|=\frac{\partial f}{\partial F}" />|=\frac{\partial f}{\partial F}" />,则求解欧式期货认买期权的偏微方程式为:
(12)
求解上式得到欧式期货认买期权价格为:
(13)
此处,


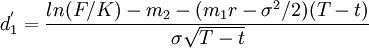
|=\frac{\partial f}{\partial F}" />|=\frac{\partial f}{\partial F}" />,则求解欧式期货认卖期权的偏微方程式为:
(14)
求解上式得到欧式期货认卖期权价格为:
(15)
此处,

