接连复利(Continuous compounding)
什么是接连复利
复利就是复合利息,它是指每年的收益还可以造成收益,具体是将整个借贷期限分割为若干段,前一段按本金计算出的利息要加入到本金中,形成放大了的本金,作为下一段计算利息的本金基数,直到每一段的利息都计算出来,加总之后,就得出整个借贷期内的利息,简单来看就是俗称的利滚利。
而接连复利则是指在期数趋于无限大的极限情形下得到的利率,此时不同期之间的间隔很短,可以看作是无穷小量。
接连复利的计算公式
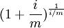
设本金为p0 ,年利率为i,当每年含有m个复利结算周期(若一个月为一个复利结算周期,则m=12,若以一季度为一个复利结算周期,则m=4)时,则n年后的本利和为:

当复利结算的周期数
(这代表着资金运用率最大限度的提升)时,
的极限为e,即

所以当
接连复利本利和公式为:
(1)
即:pn = p0eni
式中eni形成瞬间复利系数,或称一元钱的瞬间复利本利和