首页百科金融金融理论文章详细

Logit模型

外汇网2021-06-18 22:43:14 229

名称

Logit模型

有关介绍

Logit模型(Logit model,也译作“评定模型”,“分类评定模型”,又作Logistic regression,“逻辑回归”)是离散选择法模型之一,属于多重变量分析范畴,是社会学、生物统计学、临床、数量心理学、市场营销等统计实证分析的常用方法。

逻辑分布(Logistic distribution)公式

P(Y=1│X=x)=exp(x'β)/1+exp(x'β)

其中参数β常用极大似然预期。

Logit模型简述

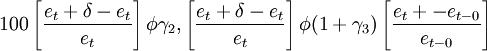
基于落后宏观经济和金融报告的Logit模型由Kumar,Moorthy和Perraudin在2003年提出,该模型基于利率调整引起的汇率贬值构建了两个投机打击预期模型:未预期到的贬值打击模型和总贬值打击模型。假使令et为在直接标价法下本币对外币的汇率;rt为本币的利率;汇外网 - 全球专业的黄金外汇门户导航行情资讯网站为外币的利率,γ1为未预期到的货币的贬值程度(5%或 10%)。则当:

汇外网 - 全球专业的黄金外汇门户导航行情资讯网站时,

即投资外国货币或资产的收益大于本币的贬值率时,投资人会抛售本币,导致货币危机。公式左边表明投资人降低国内货币的持有,投资于外币直到到期日时所得到的报酬。当

汇外网 - 全球专业的黄金外汇门户导航行情资讯网站时,

投机性打击也会发生,以至导致货币危机。其中:γ2指本币的汇率的贬值程度,值为5%或10%,γ3 = 100%

Logit模型的预警效果

Kumar等在2003年用该模型对32个低收入国家 1985年1月到1999年10月的危机执行验证,在较高的贬值水平上,两个打击模型发生的几率均在1994年一月份以后;在解释20世纪90年代早期的阿根廷危机和中期的墨西哥危机、1997年暴发的亚洲货币危机以及1998年俄罗斯、1999年巴西货币危机时,结果是让人满意的,而且样本内预期更为平稳。实证结果也显示,样本外预期对货币危机的发生同样具有较强的解释力,而且它也更深一步确认了早期理论研究中提出的致使货币危机发生的首要原因。模型结果表明,外汇储备和出口的下滑以及真实经济的虚弱是致使危机发生的最重要解释变量。另外,货币危机的传染性在货币危机中也起了重要作用。

Logit模型的优缺点

Logit模型的优点是:

(1)模型考察了对两种货币危机定义情形下发生货币危机的机会性,即利率调整引起的汇率大程度贬值和货币的贬值程度胜过了以往的水准的情形,而以往的模型只考虑一种情形。

(2)该模型不仅可以在样本内执行预期,还可以对样本外的报告执行预期。

(3)模型可以对预期的结果执行比较和检验,克服了以往模型只能解释货币危机的局限。

尽管Logit模型能够在一定程度上克服以往模型事后预期事前事件的缺陷,综合了FR模型中FR几率分析法和KLR模型中信号分析法的优点,但是,它导致在利率、汇率等几个首要金融资产或经济指标的基础上预警投机打击性货币危机,与我们所要求的一般货币危机预警仍有所差异。所以仅用几个指标来定义货币危机进而分析发生货币危机的几率就会存在一定困难,外债、进出口、外汇储备、不良贷款等原因对货币危机的影响同样非常重要。

标签:

随机快审展示
加入快审,优先展示

加入VIP