首页百科金融金融理论文章详细

多重限制决策模型

外汇网2021-06-18 22:42:44 279
多重制约决策模型(Multicriteria Decision Models)

什么是多重制约决策模型

效率前沿模型、久期匹配模型和现金流量匹配模型均为单一目标模型,但在事实管理中或许会要求考虑一部分互相矛盾的目标。比如银行的目标或许会顾虑到期望收益、风险、流动性、资本足够率、上涨性、市场份额等。假使一一考虑这些目标并谋求最终处理的办法,模型将极为复杂而且处理的方法或许会有很多,制定人要执行有效分析将非常麻烦,所以就发展出多重制约决策模型。

以目标规划模型为例。该模型是最常用的多制约决策模型之一,其首要优点在于它的灵活性,它可以允许制定人同期考虑大量的制约和目标。

]多重制约决策模型的表明

我们可以将模型做如下表明:

目标:

汇外网 - 全球专业的黄金外汇门户导航行情资讯网站公式

制约:

汇外网 - 全球专业的黄金外汇门户导航行情资讯网站公式

(1)

Ax=b(2)

其中:

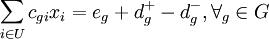
•U = {1,2,3,…I}为证券集;

•G = {1,2,3,…N}为目标集;

汇外网 - 全球专业的黄金外汇门户导航行情资讯网站公式

•xi:证券i的持有量

汇外网 - 全球专业的黄金外汇门户导航行情资讯网站公式

•eg:目标g的目的水准,

汇外网 - 全球专业的黄金外汇门户导航行情资讯网站公式

与目标g的目标水平的正负离差,

汇外网 - 全球专业的黄金外汇门户导航行情资讯网站公式

•cgi:目标g相对于证券i的系数。

目标函数为最小化与目标集的离差,两个制约条件决定了x的可行集。

标签:

随机快审展示
加入快审,优先展示

加入VIP