首页百科金融金融理论文章详细

随机贴现因子

外汇网2021-06-18 22:42:33 325

随机贴现因子(stochastic discount factor,简称SDF)

随机贴现因子简述

随机贴现因子理论是最一般、最普遍适用的理论,无套利定价理论和风险中性定价理论均可以由随机贴现因子理论推导出来。

随机贴现因子的基础

基于消费的跨期资本资产定价模型(ICAPM)。Merton(1973)。

Campbell(2000)通过随机贴现因子对资产定价困难执行了分析和回顾。

Cochrane(2000)将所有的资产定价困难纳入到随机贴现因子的一般框架当中,建立了一个比较完整的随机贴现因子理论体系。

随机贴现因子的定义

假使一个贴现因子,能够满足:

p=E(mx)

或者用条件期望的形式:

pt = Et(mt + 1xt + 1)

则我们称m或mt + 1为随机贴现因子

随机贴现因子的提出[1]

提出的基本原则:基于消费的效用最大化

•基于消费的资产定价模型觉得,代表性投资人的效用来自于消费,其目标是终生效用最大化。为了达到其目标函数,投资人务必将财富在消费和投资之间执行分配。消费是为了满足当下的效用,而投资则是为了满足将来效用的需要。

汇外网 - 全球专业的黄金外汇门户导航行情资讯网站贴现因子

随机贴现因子和一价定律

定义:假使将来收益相同的资产具有相同的单价,则我们称一价定律成立。

定理1:一价定律等价于资产组合的单价是资产价格的线性组合。

定理2: 假使存在一个随机贴现因子,则一价定律成立。

定理3: 假使一价定律成立,则市场上存在一个随机贴现因子能够对资产定价。

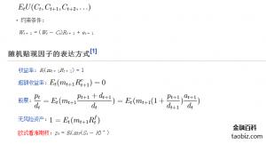
[编辑]随机贴现因子和其余定价模型[1]

从随机贴现因子也可以十分简单地推出贝塔定价模型。

从随机贴现因子理论中,还可以十分容易地推导出均值方差有限前沿理论。

CAPM理论、APT模型等,都可以在上述分析的基础上通过更深一步演化得到。所以,总体来看,随机贴现因子理论为资产定价给予了一个最一般、最通用的分析框架。

标签:

随机快审展示
加入快审,优先展示

加入VIP