导语 :把自己的欲望降到最低位,把自己的理性升华到最高位,投资之路不平直,行情会有很多转折点处。没有拐然而去的点,只有拐然而去思路的人。天有不测风云,人有旦夕祸福。遭遇市场的转折点,学会给心灵松绑,想得开,悟得透,给转折点一个微笑。软弱时变得勇敢,颓废时变得乐观,痛苦时变得欢愉,对任何事拿得起放得下。投资就像一场舞会,教会你开始舞步的人却未必能陪你走到散场。
美联储星期三加息50个基点,符合市场预计,然而在后面的新闻公布会上,美联储主席鲍威尔发言,清晰消除了在望将来临的会议上加息50个基点的机会性,在6月以及7月会议上,制定人准备也加息50个基点,而在此之前市场押注美联储或许在6月更大程度加 息,这致使美元指数盘中跳水,创下近两个月最大单日降幅,创下近期一周新低。
黄金层面,昨日亚盘先下挫,失守凌晨盘整支撑1865一线,但欧盘仍未保持,而是反抽破高,然而1878压力通道仍反压存在,美盘抑制回测再回归1860逢低一线起涨点,整体来讲,加息宣称前,就是区间性1860-1870之间的窄幅震荡。
黄金日K线级别,1850低点承受前期通道上缘衍生转换支撑回弹,昨夜加息落地,有好处空头出尽,保持连阳回弹推涨,目前击穿了10均线1891,代表着短时间由弱势抑制转为看多回弹,上方核心遇阻点则留心中轨处,也刚好是19年迄今的趋势线反压衍生点1930一线,此位置得失决定后市多空更深一步的成长,目前先保持看回弹修正对待,只有立住1930上方,回到上涨通道之内,才可正式转多上涨。
操作上,1890及以下仍持续多,计划1905-1906、1915-1916,低点波段多单计划先设在1930-1935。

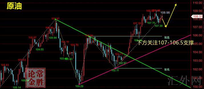
原油行情回顾:今天(5月5号),在亚欧时段,WTI原油在窄幅震荡,持有多部分隔夜升幅。即使美国股指期货下挫,美元回弹,但市场仍对夜间的OPEC会议感觉到忧虑。OPEC+将答应在6月份每天增产43.2万桶,这会在短时间内给原油价格导致阻力。但是,在欧盟提议对俄罗斯实行新的制裁,包含在6个月内逐渐终止进口俄罗斯原油后,提供阻力任然很大,短时间买方机会更深一步增长。
原油行情分析:日K线级别:震荡上升;MACD金叉,KDJ金叉,短时间看多信号有所增长,目前正试探布林线上缘109.58左右压力。诚然,因原油价格已经在110关口下方运行了一个多月,在击穿布林线以前,原油价格依然或维持震荡趋势,即短时间内仍有震荡和下挫的风险。较低的5日移动平均线支撑当前约为105.63,布林线中轨支撑约为102.53。假使跌穿这个位置,短时间看空信号将令加强。压力:109.58;111.05;114.12;116.64;支撑:105.63;102.53;100.00;97.07;
原油交易参考:
短线策略逻辑:保守派观望;逢低买涨。

当前本团队VIP实盘指导群这周免费放开体验名额,每天早7点至凌晨2点实时在线指导,供应现价分析单,控制风险;操作不是很理想的朋友可以免费进群体验, 欢迎咨询。
体验群内免费薪酬:手机APP点击上方头像获取名家联系方式!
①、每日更新:盘面行情、盘中警示,建仓机会。
②、特色栏目:私聊答疑,解τ,解析当天行情。
③、薪酬放送:黄金短中线机会布局,连续追踪(波段开仓)。
④、新粉薪酬:交易战法《K线交易之王》,教你如何做好短线。
细节交易参考咨询常胜老师获取实时策略、黄金解壹套。
假使你从未做过投资,想学习了解或者做单不顺,投资经常资金缩水,想学技术面看盘,那么你就得去我们群内考察看看。金融行业,形态万千。我所期望的就是用自己的专业知识和多年的经验,为你的资金保驾护航。假使你此时正在纠结亏损,或者这么多策略该跟随哪一单,你可以选择观察一下我们每日群内的操作,群内的操作有理有据,实时现价单,收益也是很显著 欢迎各位同学前来考证。