机将对于不能利用它的人又有什么用呢?正如风只对于能利用它的人才是活力,想哪天干,那天就是吉日,没有哪种教育能及得上逆境,胸无大志,枉活一世,高峰只对攀登它并非是仰望它的人来看才有真正意义。花盆里长不出苍松,鸟笼里飞不出雄鹰,局势决定了结局,立场决定了高度,我永远均为你的插曲,但是我会用我只有的双手为你弹出最动人的旋律,风筝在阴天搁浅,翻蓓也许仍在等候救援,我拉着线复习你给的信任,合作就像是乘法,只要一方为零,结果就一定是零!
手机APP点击上方头像获取名家联系方式!
这周市场需着重关注美联储5月议息会议,高通货膨胀、劳活力匮乏、市场需求下滑等等多重原因下,美联储为避免导致经济衰退,或许会减弱通货膨胀率,更快更大程度的加息,以达到风险的转移,然而当下的世界已不再是以前的世界,曾经这一招帮助美国度过危机,故技重施,未必能如其所愿,但无论结果如何,短时间内全会导致金融市场的强烈震动,留心做好风险控制。
黄金后市分析:多空分界线1985一线没有没升破以前,那就只有一个方向,那就是干空。所以等黄金价格回弹到1885左右,我们持续放空黄金。再者,底部转折点也不是如此样子的,底部必然伴伴随痛跌和大涨,但当下导致蓄量,代表着黄金价格还要痛跌。美元在上升周期中,一直涨破了103,从而黄金价格持续走跌。历经过一次50美金的回弹洗盘,最高涨到1920一线,但洗盘就是洗盘,洗完黄金下挫更顺畅。美元进入加息周期,黄金价格这次是要跌到1800的。
黄金从当前盘面行情来说日间一路下探当前临时保持在低点的窄幅箱体震荡中,在日K线行情跌穿前期的宽幅震荡区间完成一次回弹证实后面迈出保持下挫,当前依然遇阻短周期均线偏空运行,当前或许正处在下挫C浪中,日K线上关注下1950一带的支持点。
在H4级别行情上当前差不多是贴着短周期均线在走震荡下挫,日间差不多没有像样的回弹行情连续偏空。一般在该种弱势下探行情中迈出迅速的摸底回弹或者接连的推涨才有机会转变该种偏空的行情,以当前的技术形态来说前期1870一带的支持或许保不住。
操作上推荐持续持仓1916空单,1983-4左右持续空,止损1988,计划1860-1850,实时行情盘中指导。

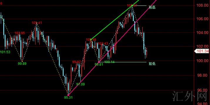
原油当前在日K线行情上保持在108-95的宽幅震荡区间当中,当前的短周期均线差不多粘合在一起。原油当前仍需要一个引爆点得走出目前的行情区间。在H4级别行情上原油日间连续回调当前的偏离率略微有一部分偏大,价格也快刷新到前期100一带的支持点左右。在短线行情上或许需求略微调动一下。
操作上推荐99.6-8左右多,止损99.1。或者102.8-103左右空,止损103.6.实时行情盘中指导。

文/常胜论金/专注市场动态,注解世界经济要闻,对金银TD、纸黄金、沪银、股票、假使你做单不顺或投资经常资金缩水,那么你可以多关注常胜论金。投资是一个完整系统包含投资理念?,资金管理?,操作手法与思路,专业成就品质,实力铸就信誉。金融行业,博大精深,每天行情波折持续,我所能做的就是用我多年的研究经验,带领大家走在市场前端,给大家帮助。盘中策略及交流关注常胜论金本人!点击上方头像获取名家联系方式!