这周市场需着重关注美联储5月议息会议,高通货膨胀、劳活力匮乏、市场需求下滑等等多重原因下,美联储为避免导致经济衰退,或许会减弱通货膨胀率,更快更大程度的加息,以达到风险的转移,然而当下的世界已不再是以前的世界,曾经这一招帮助美国度过危机,故技重施,未必能如其所愿,但无论结果如何,短时间内全会导致金融市场的强烈震动,留心做好风险控制。
黄金后市分析:多空分界线1985一线没有没升破以前,那就只有一个方向,那就是干空。所以等黄金价格回弹到1885左右,我们持续放空黄金。再者,底部转折点也不是如此样子的,底部必然伴伴随痛跌和大涨,但当下导致蓄量,代表着黄金价格还要痛跌。美元在上升周期中,一直涨破了103,从而黄金价格持续走跌。历经过一次50美金的回弹洗盘,最高涨到1920一线,但洗盘就是洗盘,洗完黄金下挫更顺畅。美元进入加息周期,黄金价格这次是要跌到1800的。
黄金从当前盘面行情来说日间一路下探当前临时保持在低点的窄幅箱体震荡中,在日K线行情跌穿前期的宽幅震荡区间完成一次回弹证实后面迈出保持下挫,当前依然遇阻短周期均线偏空运行,当前或许正处在下挫C浪中,日K线上关注下1950一带的支持点。
在H4级别行情上当前差不多是贴着短周期均线在走震荡下挫,日间差不多没有像样的回弹行情连续偏空。一般在该种弱势下探行情中迈出迅速的摸底回弹或者接连的推涨才有机会转变该种偏空的行情,以当前的技术形态来说前期1870一带的支持或许保不住。
操作上推荐持续持仓1916空单,1983-4左右持续空,止损1988,计划1860-1850,实时行情盘中指导。

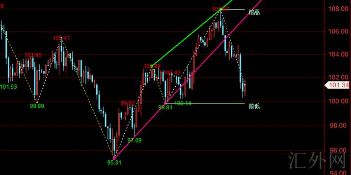
原油当前在日K线行情上保持在108-95的宽幅震荡区间当中,当前的短周期均线差不多粘合在一起。原油当前仍需要一个引爆点得走出目前的行情区间。在H4级别行情上原油日间连续回调当前的偏离率略微有一部分偏大,价格也快刷新到前期100一带的支持点左右。在短线行情上或许需求略微调动一下。
操作上推荐99.6-8左右多,止损99.1。或者102.8-103左右空,止损103.6.实时行情盘中指导。

当前本团队VIP实盘指导群这周免费放开体验名额,每天早7点至凌晨2点实时在线指导,供应现价分析单,控制风险;操作不是很理想的朋友可以免费进群体验, 欢迎咨询。
体验群内免费薪酬:点击上方头像获取名家联系方式!
①、每日更新:盘面行情、盘中警示,建仓机会。
②、特色栏目:私聊答疑,解τ,解析当天行情。
③、薪酬放送:黄金短中线机会布局,连续追踪(波段开仓)。
④、新粉薪酬:交易战法《K线交易之王》,教你如何做好短线。
细节交易参考咨询常胜老师获取实时策略、黄金解壹套。
假使你从未做过投资,想学习了解或者做单不顺,投资经常资金缩水,想学技术面看盘,那么你就得去我们群内考察看看。金融行业,形态万千。我所期望的就是用自己的专业知识和多年的经验,为你的资金保驾护航。假使你此时正在纠结亏损,或者这么多策略该跟随哪一单,你可以选择观察一下我们每日群内的操作,群内的操作有理有据,实时现价单,收益也是很显著 欢迎各位同学前来考证。