尽管保守不一定是最佳的战略,但冲动只会使你终结得更快。断臂尽管痛苦但能让你生存,你不能控制输赢,但能控制输赢的多寡,应当懂得在何时放弃,同样要明白在什么时候守在,别指望狗屎运能给你导致胜利,任什么时候候都要维持清醒的头脑和平和的心态,冷静的头脑和出众的分析这才是根本。假使找不足桌子上的鱼,那么你就是那条鱼,风雨过后民众才感慨谁是谁非,行情涨完才发现谁对谁错,同样的点位开仓不同方向的单子,每个人都觉得自己是个例外,但市场永远不或许让鱼和熊掌兼备,行情不是宋祖英的嘴,永远猜不足他将让谁形成下一个倒霉蛋。
——手机APP点击上方头像获取名家联系方式!
黄金行情分析:星期五(4月15号)恰逢耶稣受难日,欧元兑美元普遍国家金融市场休市,黄金交易市场也不例外。即使星期四美元指数保持上涨趋势,使黄金上涨趋势暂缓,收报得1973美元每盎司左右,但俄黑海舰队旗舰莫斯科号沉没,乌方称被其导弹击中导致;俄乌局势更深一步变糟的机会性急剧上涨,这有希望给黄金供应更深一步上升量能,短线注意2000美元每盎司整数关键点位,中长线不一定如Goldman Sachs所说的2500美元每盎司,但前期高位2075美元每盎司疑似已经不再望尘莫及。
技术分析上,星期四金价整体呈现高点震荡局势,黄金从此次上上升点2070美元,到回调低位1890美元,画一条斐波拉契回踩线,可以发现此次黄金回弹,上升到0.5黄金分割线位置1980美元左右遭遇阻力遇阻,然而黄金短线回踩有限,在0.382黄金分割线位置1959美元左右持稳,而这也会是下周初金价短线震荡的支持与阻力位置。若黄金上破,我们更深一步注意0.618黄金分割线位置2001美元左右阻力,反之若黄金持续在1980美元以下,高点遇阻震荡,时间越长,到顶下挫的机会性将越大,黄金朝下或许回撤至前期震荡区域,即1945美元到1915美元区间。
操作上,若下周开盘,黄金总体这周收盘价改变不大,则以下可持续注意1960美元,布局短线多单,失守这里,则注意1945美元水平支撑,上方可注意1980美元,布局短线空单,击穿这里,则注意2000美元水平阻力,操作严格控制风险。

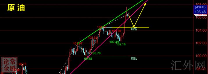
原油行情分析:原油日K线行情图表明,最近原油价格再次上升,双阳开泰,最多立稳104阻力水平,短线愈加强势。此轮上涨趋势保持的机会性较大,击穿104.5压力位上方,更深一步击穿需注意108.8美元区域。
在4小时水平上,原油价格击穿了前期压力位98.5的中轨水平,后面转为支撑点,看能否又一次上涨攻击;就短时间信号来说,周期性的MACD指标有适当的顶和回,原油临时很难持续大幅上升,所以需求利用这一消息来助推刺激举措。下探支撑点汇聚在100.7-99.0区域。综上所述,常胜归纳道:原油这周更改了在此之前的弱破趋势,显现了一次反转上升,调动终结后将显现一次反转上升,后市操作上斟酌回撤布局多单为主。
原油交易参考:
注意108-109美元压力
以下注意100.7-99.5美元支撑

假使你从未做过投资,想学习了解或者做单不顺,投资经常资金缩水,想学技术面看盘,那么你就得去我们群内考察看看。金融行业,形态万千。我所期望的就是用自己的专业知识和多年的经验,为你的资金保驾护航。假使你此时正在纠结亏损,或者这么多策略该跟随哪一单,你可以选择观察一下我们每日群内的操作,群内的操作有理有据,实时现价单,收益也是很显著 欢迎各位同学前来考证。
文/常胜论金/专注市场动态,注解世界经济要闻,对金银TD、纸黄金、沪银、股票、假使你做单不顺或投资经常资金缩水,那么你可以多关注常胜论金。投资是一个完整系统包含投资理念 ,资金管理 ,操作手法与思路,专业成就品质,实力铸就信誉。金融行业,博大精深,每天行情波折持续,我所能做的就是用我多年的研究经验,带领大家走在市场前端,给大家帮助。盘中策略及交流关注常胜论金本人!点击上方头像获取名家联系方式!