假使你刚刚入市,来找我,我教你;假使你已经身在其中却并没有理想,来找我我拉你;假使你已经在这个市场摸爬滚打却遍体鳞伤,来找我我帮你。不能保证你一夜发家致富但期望能细水长流,汇聚江海,用心做事,立场做人,期望能形成良师益友。套一单的朋友,假使止损点位已经历了,行情已经反转,就没必要再去硬抗。不要由于一次的失误影响你的心情,小损一单安全退场,盯准计划恐会力挽狂澜。解一单和应急补救不是一句两句能说的清楚,不同头寸不同点位策略不尽相同,本文不作一一阐述,可详询。点击上方头像获取名家联系方式!
在机会面前:聪明人永远是宁可抓错,决不放过!
俄乌双方证实第四轮会谈将在14日(星期一)以视频的方式举办,双方有希望促成共识。在此之前,俄乌协商俄罗斯代表团成员斯卢茨基表明,在同乌克兰的协商中获得了“本质性进度”。他预期这能转化为双方代表团的共同态度,并转化为“将要签署的文件”。乌克兰协商代表也觉得,将来几天与俄罗斯的协商或许会有结果。上星期五,俄总统普京称,与乌克兰的协商显现了一部分乐观的转变。
上周末消息表明,乌克兰和俄罗斯有希望促成协议,这是一个好消息,假使协商促成或者挺火,黄金避险将不在,下挫是大约率。而且本星期四是美联储会议,加息25个基点是确定的,那就看会以后鲍威尔的发言,能否愈加鹰派。
黄金行情分析:日线图来说,黄金亚盘大幅回调,最低刷新1970.39美元每盎司,上星期五黄金适当收盘下跌,早间开盘即是日K线高位,夜里最多下探刷新1958.61后止跌回弹,最终收盘在1987.77美元每盎司,日K线报得一根带有长下影线的中阴线。黄金当前运行在10日移动均线以下,KDJ随机指标死叉信号保持,同期,承受俄乌协商正面消息刺激,市场避险情绪遇冷,黄金短线存在更深一步走跌的风险,以下支撑首先注意1780-2070上涨趋势的38.2%回撤位支撑在1960.08,若跌穿,则支撑直接看到3月1号高位1950.19。然而,由于俄乌局势任然存在较大的未知性,且黄金依然运行在20日移动均线上方,所以在朝下击穿20日移动均线以前也需求小心买方反扑,上方压力首先注意1990和2000关口,若黄金从新运行在2000关键点位(5日移动均线)上方则有希望重拾上涨趋势。
黄金技术上也是遇阻于月线的布林上缘阻力,随后上周以高点十字星收盘,看空的信号,这周思路将以高空为主。短线向上瞧,黄黄金格保持1960-2010的区域震荡,然而回弹高位持续的减弱,4小时也是一直遇阻于中轨的阻力。而日K线上,黄金的支持是1930左右,这周回踩起码是此位置。
黄金日间交易参考是回弹1985-1988区域内进场空,以下注意1960的支持能否突破,临时依照震荡看空思路高空看空,突破后择机跟进。

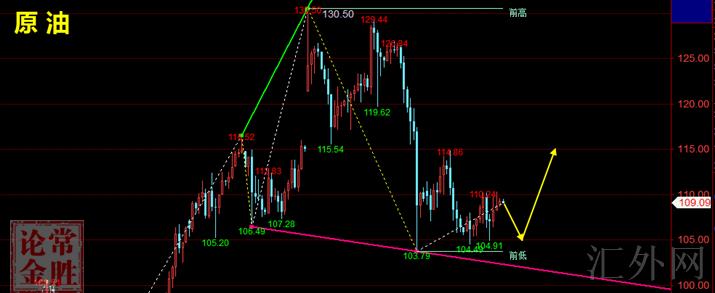
原油行情分析:上个星期,油价高开低落。这周初,该指数攀升到130.50点,在中途和周末都屡屡命中高位,未能击穿。这周末,该指数下挫,收盘走跌。收盘接差不多107.0点。周收盘线是一条大的阴K线。开始终止上涨和下滑,把短时间变成卖方。
日K线回到阴联型,双阴加阳型朝下调动。在接连4小时跌穿前一个低位115.70后,该指数回调114.80以承受阻力。上星期五,该指数一直保持在114.80的次高下方的疲软运行状态。经确认,布林道中轨低位下方的阻塞打击被朝下压抑,4小时看跌。1小时图表被看为一个下滑通道,也是C波朝下调动的延伸。即使没有打破低位,但它正在酝酿中。
所以,在综合分析和操作层面,推荐首要是回弹买跌。
原油交易参考:
上方注意108-110压力
以下注意102-100支撑

本人专注市场动态,注解世界经济要闻,对金银TD、纸黄金、沪银、股票、假使你做单不顺或投资经常资金缩水,那么你可以多关注本人投资是一个完整系统包含投资理念 ,资金管理 ,操作手法与思路,专业成就品质,实力铸就信誉。金融行业,博大精深,每天行情波折持续,我所能做的就是用我多年的研究经验,带领大家走在市场前端,给大家帮助。盘中策略及交流关注常胜论金本人!点击上方头像获取名家联系方式!