市场是无情的,假使对市场完全都不了解,还不晓得最差不多的分析知识与技巧就盲目进场,对于这一类的投资人我是既心疼又气愤的,这一类的投资人就犹如没有带上盔甲就去打仗,后果不堪设想,不仅伤身伤心还伤财。对常胜来看,尽管常常熬夜至凌晨4点仍在为客户分析谈心,早上6点又规划收益情况,报告分析及画图是一项十分繁杂枯燥的事项,但每当一次次反复证实及认真复盘后的精准率给客户导致收益,那种满足感就完全取而代之乏味的报告,每次客户的赞美及衷心的感激均为给我精神上最大的慰藉,也是常胜接下去无多个披星戴月废寝忘食的源源活力。点击上方头像获取名家联系方式!
星期五(3月11号)环球黄金上升疲软,地缘局势的忧虑和美联储加息预计共同附近黄金行情,市场情绪多变,短线黄金仍倾向宽幅震荡运行,环球货币基金组织(IMF)总裁格奥尔基耶娃星期四表明,顾虑到俄乌矛盾的经济后果,IMF或许会向下调整世界经济上涨预计。乌俄局势连续紧俏中,美国制裁的越厉害,表明俄罗斯的反击越有效,同期美国在乌克兰的生物研究被俄罗斯截取,当前更深一步针锋总体中,黄金持续呈现避险。
下周着重关注美联储利率会议,当前,投资人当下等候美联储将在3月16号公布的新政策声明,预期美联储将于下周的会议上起码加息25个基点。上周,美联储主席鲍威尔在国会作证时表示,美联储将于本月会议上加息,并通过年内多次加息来限制通货膨胀,即使俄乌战争代表着该中央银行将审慎行动。
环球黄金技术面
从技术分析看,黄金行情显现了显著遇阻信号,但是最近首要是承受基本分析消息面统治,所以即便显著遇阻,也不一定能即将下挫,仍有机会在10日移动均线和趋势线支撑上方持稳后又一次推涨。乌俄协商仍无进度,所以日K线依然会在高点区间震荡,日K线注意1950-2070区间震荡。
从短时间结构上来说:下周黄黄金格以下着重依旧注意10日K线1970-60区域支撑试探,此位在前期也是有多次争夺的,假使此位失守,则或预示技术回踩的开始,到时以下甚至可期1950甚到20日K线1930左右的回撤。上方则持续关注星期四高位以及5日K线2010左右短压,经历星期四的争夺,2010短线阻力也差不多锁定,假使黄金行情立住其上,则买方或许死灰复燃,但假使环球黄金连续遇阻其下,那么强则或许环绕2000上下震荡,弱则或许退守到1965-70。
黄金四小时线显著的止住下跌趋势,大阳线直接在1960左右止住下跌趋势,大阳线强劲反攻,50均线显现显著的掉头往上的痕迹,k线显著收一根大阳线,同期显现下影线,大阳线直接拔高,布林带轨道也是显著的往上倾斜,k线全部位于中轨上,持稳就是多,布林带开口连续加大,多,1970持续多
操作策略:黄金1970多,止损1960,计划2000,2030

下周原油预期
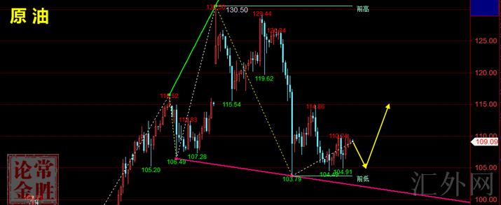
星期五原油价格盘中整体保持上升,尽管盘中显现了一次较大的回撤,但是收盘依然强劲将原油价格推涨回来。首要是由于伊朗核协议面对破裂威胁,令原油价格上升。同期尽管星期五俄乌层面传来了有好处空头原油价格的消息面,但是地缘局势继续会对原油价格形成适当的支撑。技术分析MACD有转为金叉的趋势,CCI转为上涨趋势,同期前期的低位也构筑起了一同买方的防线,所以接下去原油价格有希望复苏上升行情。
交易参考:回调106——105.5一线买涨,止损50点,止盈看110——113——115——117左右
上方117.5——117.8一线买跌,止损50点,止盈看115——113左右。
如原油价格跌穿104后,则顺势进场买跌,止损50点,止盈看100——95

文/常胜论金/18小时在线分析指导,特此放开VIP指导群有想进群的朋友关注常胜论金本人获取进群名额。针对事实市场参与者,顾虑到部分市场对于实盘交易具有适当的时效性可关注笔者,进而能够选择合适的策略执行操作。专注环球市场专业研究,环球境内经济行情。对黄金,外汇,白银TD,沪银,原油大宗商品有深入的研究,假使你做单不顺或投资经常资金缩水,你可以关注常胜论金本人。点击上方头像获取名家联系方式!点击上方头像获取名家联系方式!