机将对于不能利用它的人又有什么用呢?正如风只对于能利用它的人才是活力,想哪天干,那天就是吉日,没有哪种教育能及得上逆境,胸无大志,枉活一世,高峰只对攀登它并非是仰望它的人来看才有真正意义。花盆里长不出苍松,鸟笼里飞不出雄鹰,局势决定了结局,立场决定了高度,我永远均为你的插曲,但是我会用我只有的双手为你弹出最动人的旋律,风筝在阴天搁浅,翻蓓也许仍在等候救援,我拉着线复习你给的信任,合作就像是乘法,只要一方为零,结果就一定是零!点击上方头像获取名家联系方式!
这周黄金现货大幅震荡,由于它依然是对风险认知改变最敏感的资产。星期四,黄金价格最多大幅上升到1974美元,刷新2020年9月迄今的最高水平,但星期五(2月15号)金价跌穿1900美元,终结了接连三周的上涨趋势。
下周下半周,美国经济数据将在下星期四发布ISM服务业PMI,下星期五发布非农报告。更重要的是,联邦公开市场委员会(FOMC)主席鲍威尔将于美国参众两院的银行委员会作证,看看鲍威尔如何回答相关俄乌战争对政策展望的潜在影响的困难,会是一件有趣的事情。鲍威尔很或许会重申,他们的首要任务是控制通胀。假使鲍威尔示意3月份加息50个基点的机会性,现货金或许会开始走跌。另一面,市场当前的预计是,3月升息50点的机会性异常小,假使鲍威尔反对大幅升息,对美元的抛压应当是有限的。
黄金技术面
这周黄金现货走了一次过山车,先是受避险情绪助推,本星期最多刷新到1974,在1974停滞了上涨趋势开始拐头朝下,高点1974一带摔出日间低位到1877,从高位至低近乎100美元的降幅,收盘价1888,收盘长上影阴线。单从K线来说,现货金短时间来说已有到顶的痕迹。
4小时一次连阳再配合一次连阴近数吐回,1887也被突破,尽管收盘收盘在1887之上,但4小时线已经有刺穿的痕迹,且是迅速的冲顶回调走法,并非是整理回踩后再启稳,短线结构上总体于周初的强劲有所转变。短线或许伴随二次回调,当前处在回弹回补证实上影线压力当中,而震荡基数加大,星期四单日差不多100美元的震荡区间,星期五转为震荡。
综上所述,下周黄金交易思路高空为主,低多为辅,上方着重注意1900-1907一线压力,以下短时间着重注意1877-1870一线支撑。

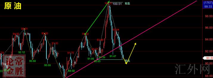
下周原油行情分析:从原油技术角度来说,原油昨日上升,收盘下挫。日收盘交叉K线和上阴影线较长。在此之前,它承受俄罗斯入侵乌克兰的消息的影响,拜登随后宣称对俄罗斯五大银行实行制裁,但表明当前不会将能源提供纳入制裁计划。
拜登还谈及了与其余国家合作从战略储备中放出许多石油的机会性。
在接连4小时的正、暴涨后,连续的负转换回归区间震荡,反复上下冲刺,致使附图指标无法高达高点。迅速上升和下挫很容易偏离指数顶部,所以上涨力量降低,执行回踩修正。当前,它在4小时内回归中间轨道左右,而较低轨道的支持依然是89.0。该位置是短时间买方的临界点。只有当它坏了,它才可完全变空。假使它没有破裂,先看看震动。顾虑到每日收盘的弱点。
下周着重注意89支撑,压力注意95一线。击穿以顺势为主!

责任编辑:常胜论金/ 目前事态明朗,黄金,白银TD、纸黄金,沪银无不是跟随环球趋势而行,投资,无非就是顺势者昌,逆势者亡!谋事在人、成事在天,顺势而为,落袋为安。当我们由于行情失利而止损的时机,不要畏惧行情,勇敢的去面对,冷静的去分析。心不乱,则神不乱,神不乱,则气不乱,有心有神有气,信心不丢,我们就大胆的去随心操作,相信自己,最后我们一定就能找回我们曾经失去的东西!点击上方头像获取名家联系方式!