市场犹如大海一般,而我们在市场中显的是那么的渺小,但是分析专员的显现就好比如一盏瞭望灯塔,指示方向,但是却不知指示的是天堂依旧地狱。在市场中不少朋友遭遇过遇人不淑的情形,不知自己遭遇的能否带着天使翅膀的恶魔,把你连哄带骗到了地狱时你才发现想出却出不了。天使们都给出过一句话:别让眼睛欺骗了你,别让愤怒迷惑了你,冷静,回想自己有什么可用的工具,能让你生存下来。点击上方头像获取名家联系方式!
基本分析:还得持续关注俄乌局势,俄罗斯和乌克兰在短时间内都不会显现太平,从昨天的俄罗斯进攻情形来说后期仍有持续发展下去的机会性,它支撑了美元买方,也支撑了原油、黄金,昨天美元也显现大涨,黄金和美元呈现出同步上升。
俄总统弗拉基米尔·普京24日宣称在顿巴斯地区发起特别行动后,乌克兰总统弗拉基米尔·泽连斯基宣称与俄罗斯断绝外交关系,北约发表声明说将增强在东欧的部署。当前,俄罗斯和乌克兰正在执行激烈的对抗。
黄金下周分析:昨天黄金先涨后调日间最大振幅将差不多100美金,黄金现货最高1974左右,最低1878左右,日K线报得十字阴K收线于1903左右。今日黄金行情依然符合预计,行情遇阻于1921展开回调,但是当前隔夜低位1878依然没有朝下击穿。后半夜仍需审慎对待,假使收盘前依然不破1878,那就需求做减仓处理。毕竟当下的行情消息面影响大于技术分析影响,注意周末出幺蛾子致使星期一跳空高开!
日K线级别:现货金昨日冲顶后大幅走跌,跌超90美金程度,示意买方已经多部分减退。预期将运行在布林带上缘之内。上方注意23.6%回撤线以及上缘压力,击穿则持续关注扩展线压力位置,以下则注意10日移动均线以及100%回撤线支撑。
具体点位来说,下周黄金上方注意1927美元左右压力,以及1937美元压力。以下注意1878美元左右支撑,以及1870美元左右支撑。

下周原油行情分析:从原油技术角度来说,原油昨日上升,收盘下挫。日收盘交叉K线和上阴影线较长。在此之前,它承受俄罗斯入侵乌克兰的消息的影响,拜登随后宣称对俄罗斯五大银行实行制裁,但表明当前不会将能源提供纳入制裁计划。
拜登还谈及了与其余国家合作从战略储备中放出许多石油的机会性。
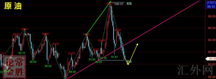
在接连4小时的正、暴涨后,连续的负转换回归区间震荡,反复上下冲刺,致使附图指标无法高达高点。迅速上升和下挫很容易偏离指数顶部,所以上涨力量降低,执行回踩修正。当前,它在4小时内回归中间轨道左右,而较低轨道的支持依然是89.0。该位置是短时间买方的临界点。只有当它坏了,它才可完全变空。假使它没有破裂,先看看震动。顾虑到每日收盘的弱点。
下周着重注意89支撑,压力注意95一线。击穿顺势为主!

文/常胜论金/18小时在线分析指导,特此放开VIP指导群有想进群的朋友关注常胜论金本人获取进群名额。针对事实市场参与者,顾虑到部分市场对于实盘交易具有适当的时效性可关注笔者,进而能够选择合适的策略执行操作。专注环球市场专业研究,环球境内经济行情。对黄金,外汇,白银TD,沪银,原油大宗商品有深入的研究,假使你做单不顺或投资经常资金缩水,你可以关注常胜论金本人。