金融市场,明星逐渐增多,但寿星却越来越少,有人美到惊人,有人丑到勾魂,其实都一样,是个普通人,认知决定了人生的高度和层级,市场不会眷顾任何人,也不会怜悯任何人,市场不会有错,错的是交易的人,涨跌之间有人笑,有人怒,趋势已来,行情已到,剩下的就是抓住机会,重在参与。
基本分析还得持续关注俄乌局势,俄罗斯和乌克兰在短时间内都不会显现太平,从昨天的俄罗斯进攻情形来说后期仍有持续发展下去的机会性,它支撑了美元买方,也支撑了原油、黄金,昨天美元也显现大涨,黄金和美元呈现出同步上升。
俄总统弗拉基米尔·普京24日宣称在顿巴斯地区发起特别行动后,乌克兰总统弗拉基米尔·泽连斯基宣称与俄罗斯断绝外交关系,北约发表声明说将增强在东欧的部署。当前,俄罗斯和乌克兰正在执行激烈的对抗。
黄金下周分析:昨天黄金先涨后调日间最大振幅将差不多100美金,黄金现货最高1974左右,最低1878左右,日K线报得十字阴K收线于1903左右。今日黄金行情依然符合预计,行情遇阻于1921展开回调,但是当前隔夜低位1878依然没有朝下击穿。后半夜仍需审慎对待,假使收盘前依然不破1878,那就需求做减仓处理。毕竟当下的行情消息面影响大于技术分析影响,注意周末出幺蛾子致使星期一跳空高开!
日K线级别:现货金昨日冲顶后大幅走跌,跌超90美金程度,示意买方已经多部分减退。预期将运行在布林带上缘之内。上方注意23.6%回撤线以及上缘压力,击穿则持续关注扩展线压力位置,以下则注意10日移动均线以及100%回撤线支撑。
具体点位来说,下周黄金上方注意1927美元左右压力,以及1937美元压力。以下注意1878美元左右支撑,以及1870美元左右支撑。

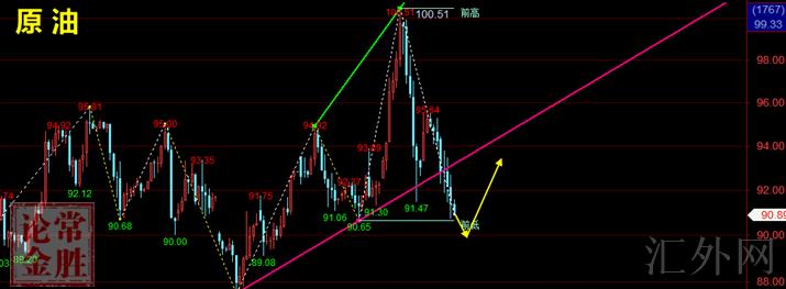
下周原油行情分析:从原油技术角度来说,原油昨日上升,收盘下挫。日收盘交叉K线和上阴影线较长。在此之前,它承受俄罗斯入侵乌克兰的消息的影响,拜登随后宣称对俄罗斯五大银行实行制裁,但表明当前不会将能源提供纳入制裁计划。
拜登还谈及了与其余国家合作从战略储备中放出许多石油的机会性。
在接连4小时的正、暴涨后,连续的负转换回归区间震荡,反复上下冲刺,致使附图指标无法高达高点。迅速上升和下挫很容易偏离指数顶部,所以上涨力量降低,执行回踩修正。当前,它在4小时内回归中间轨道左右,而较低轨道的支持依然是89.0。该位置是短时间买方的临界点。只有当它坏了,它才可完全变空。假使它没有破裂,先看看震动。顾虑到每日收盘的弱点。
下周着重注意89支撑,压力注意95一线。击穿顺势为主!

素不相识的投资朋友只因看了我的文章信任我,所以每位寻到我的投资朋友我全将予以最大的帮助,让该份信任变的更有价值。在市场经济中,只要你参与到经济中来,就是经济人了,经济人诚然就以盈利为目的,特别在资本市场中,没有慈善家,只有赢家和输家。无论你在其余层面如何成功,到了市场里,赢输就是唯一标准。有关当前火热的外汇、原油、黄金,白银TD,沪银等贵金属投资,感兴趣但是无从下手的,或者正在这一投资手里有套一单总的收益不理想的朋友都可以咨询, 佛渡有缘人,我带有心人!常胜论金期望与你形成朋友!