当你的才华还撑不起你的野心的时机,你就应当静下心来学习;当你的能力还驾驭不了你的计划时,就应当沉下心来历练;梦想,不是浮躁,而是沉淀和积攒,只有拼出来的美丽,没有等出来的辉煌,机会永远是留给最希冀的那个人,学会与内心深处的你对话,问问自己,想要怎样的人生,静心学习,耐心沉淀!
最强壮的狼也有它脆弱的地方,要想做到最佳,只靠自己是不行的。只有持续地取长补短,才会持续地进步。成功就是不懈的付出加之一点点机会,付出是加法,机将是乘法,两者兼备才会得到最大的结果。点击上方头像获取名家联系方式!
在这周开局不好后,环球黄金上涨趋势强势,星期三击穿核心压力位,星期四刷新近两个月新高,接差不多1850美元。此后,黄金进入横盘模式,吐回这周部分升幅,但仍报得接连第二周收盘上涨,下周美联储将发布其利率会议,这会是黄金击穿依旧又一次深陷盘整行情的核心。
下周着重关注美联储利率会议
当前,市场预期2022年将有四次加息,而且逐渐增多的人预期3月份将加息50个基点。就在此时,美联储规划在3月份终止每月的债券买入,并或许在年末前开始削减资产负债表。
但是,伴随下周美联储终结静默期,发布其利率会议,市场将紧密关注美联储对于通货膨胀的立场以及应付规划。在此之前,面对攀升的通货膨胀水平,美联储主席鲍威尔很不错的安抚了市场情绪,对于美联储最终能够控制通货膨胀的看法在长时期内制约了黄金的升幅。所以,投资人依然需要维持小心并紧密关注美联储会议的进度。
美联储会议后面,美联储主席鲍威尔将举办记者招待会,这是下周最重要的宏观事件。预期,美联储将于3月第一次加息层面放出许多鹰派线索,并更深一步清晰或许的资产负债表结果。当前,市场预期2022年将有四次加息。
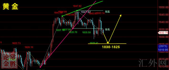
下周黄金技术面
这周早些时候,黄金曾跌到200日移动平均线,但在该水准之上并没有遭遇问题,示意卖家还在观望。日K图上的总体强弱指数(RSI)指标确认了看多的倾向,该指数舒适地位于50上方。
环球黄金在1850美元处疑似形成了静态压力。假使黄金上涨到这个水平之上并开始将它作为支撑,那么其或许会锁定1870美元区域。理想的情形是,此举将伴伴随美联储平和风格下10年期美国国债收益率的又一次走跌。
下探方向,1830美元(10月开始、11月中旬终结的上涨趋势中23.6%的斐波那契回档位)为首个支撑点。假使日K线收盘价差于该水准,或许会致使黄金更深一步回调到1815美元(38.2%的斐波那契回踩水平)。除非黄黄金格跌穿1805美元/1800美元区域,即上涨趋势线与200日均线相交的区域,否则最近展望或许仍为看多。

原油行情回顾:受于WTI原油库存适当上涨,沙特石油出口和产能高达2020年4月迄今的最高水平,星期五亚洲亚盘原油价格持续下挫到83.66美元每桶。美总统拜登允诺将设法控制原油价格。当前原油价格已从每桶87.10美元的七年高位回调。"我不觉得汽油提供增长是牛市杀手,"资深分析专员称。“我们将需求炼油厂持续炼油,以满足夏季驾车季节的汽油需求,这是即使汽油提供增长,但市场仍承受支撑的原因之一。”
原油行情分析:
日K线级别:原油价格接连两个交易日下挫,他们的热情长期受挫。上星期五亚洲股市下挫胜过3%后,一部分投资人持续得到理解。即使技术分析依然看多,但乐观原因已被充分消化。当前,原油价格疑似很难寻到许多的购入支撑,但不消除在修正完成后复苏上涨趋势的机会性。此时,看空者应避免轻易进入市场买跌,保守派应观望,激进派可试图持续购入。
下周原油交易参考:
上方压力注意10月25号高点85.41,更深一步注意1月20号高点87.10以及90.00心理关键点位
以下支撑注意10月11号高点82.18,更深一步注意10月28号低点80.58以及11月4号低点78.25

春节马上来临,实物金银面临销售旺季,金银交易市场也将越发热闹。为感激广大投资朋友的长期关注与支持,本分析团队开设黄金投资课程供大家交流、体验。这周会免费放开10名体验名额,每天早8点至凌晨2点实时在线指导,供应投资信息共享、行情分析、现价单布局、做单技巧、头寸管理及风险控制规划!操作不是很理想或是被套的朋友可以免费体验,对于想要学习黄金投资产品的朋友还将有较大帮助,机会难得,欢迎投资朋友们的来临!点击上方头像获取名家联系方式!
本人专注市场动态,注解世界经济要闻,对金银TD、纸黄金、沪银、股票、假使你做单不顺或投资经常资金缩水,那么你可以多关注本人投资是一个完整系统包含投资理念 ,资金管理 ,操作手法与思路,专业成就品质,实力铸就信誉。金融行业,博大精深,每天行情波折持续,我所能做的就是用我多年的研究经验,带领大家走在市场前端,给大家帮助。盘中策略及交流关注常胜论金本人!