大家好!我是常胜论金。不论当下的处境如何,不要太过于着急,只要你仍有期望仍有信心,那么一切全将朝着不错的方向发展,没有谁的人生是一帆风顺的,当你历经曲折,得到成功的那一刻,你会感激你今日所遭遇的一切挫折。想到我刚进入这个市场,老实说,承受到的挫折是自己所不能想到的,一路披荆斩棘走到当下,有想过放弃吗?诚然有,但是不服输的性格让自己咬牙坚持着,当下回过头去看,可以很淡定的说,感激当初的挫折造就了我当下的成绩。点击上方头像获取名家联系方式!
每天行情波折持续,我所能做的就是用我多年的实战经验,为大家策划专业的投资规划书,在每日的行情中供应简单,轻松的投资盈利技术服务体验。详情关注常胜论金官方获取每日策略指导和中线布局规划!
各周期美债收益率星期四(1月20号)全线走跌,其中长债收益率的回调程度尤为显著。当天发布的美国初请失业金报告表现不好,显示奥密克戎变异毒株受染患者猛涨正在冲击美国就业市场。而在债券市场新年头两周遭受大幅抛压,助推收益率刷新两年新高后,一部分美债买家如今也正被从新吸引入场。
行情报告表明,指标10年期公债收益率星期四下挫6.86个基点,盘尾报得1.810%。星期三曾最多刷新1.902%的高点,为2020年1月迄今的最高水平。
下周黄金行情分析
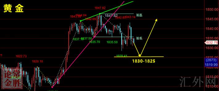
昨日星期五黄金整体也是走了一个震荡区间,星期五亚盘黄金适当回撤1835后回弹到1842今天白天的高位位置,日内就是从这个位置下挫的,白盘下挫美盘反抽后持续回撤!那么差不多星期五就是在一个区间内震荡走了!这周黄金从星期一最低1805回弹暴涨到1850区域,暴涨40多美金。那么下周黄金也是持续注意1830-1825这个区域的支持防守位置,一旦跌穿那么买方将宣称终结了!由于从星期四来说高位疑似稍微减缓的节奏了。那么我们随时要注意卖方的降临。那么常胜下周只要高位不破,中线开仓空即可!年初就是这一次高位了,机不可失时不再来。错过了就错过这段卖方利润了。
4小时来说,当前环球黄金高点盘整震荡,价格上升下挫都存在适当的或许。而4小时当前以下支撑在中轨附差不多1830一线,短时间支撑1836左右双底支撑。4小时指标macd高点金叉缩量粘合,灵动指标低点徘徊,代表4小时有回调的痕迹,依旧先得注意1830支撑情形。
1小时周期图来说,黄金涨破上方1830一线的阻力后,整体行情已经形成区间突破。隔夜环球黄金保持买方上升,刷新高峰,最高最多接差不多1850的重要心理关键点位,表明出买方行情强势。当前价格处在一条显著的通道线中,下周亚盘阶段价格轻微遇阻于通道线上缘,但通道线开口往上,代表着目前节奏处在上升通道中,黄金有又一次上冲通道线上缘的机会。以下得到支撑可斟酌买涨,下星期日间计划最远目睹最近重要的心理关键点位1850一线。

原油行情回顾:受于WTI原油库存适当上涨,沙特石油出口和产能高达2020年4月迄今的最高水平,星期五亚洲亚盘原油价格持续下挫到83.66美元每桶。美总统拜登允诺将设法控制原油价格。当前原油价格已从每桶87.10美元的七年高位回调。"我不觉得汽油提供增长是牛市杀手,"资深分析专员称。“我们将需求炼油厂持续炼油,以满足夏季驾车季节的汽油需求,这是即使汽油提供增长,但市场仍承受支撑的原因之一。”
原油行情分析:
日K线级别:原油价格接连两个交易日下挫,他们的热情长期受挫。上星期五亚洲股市下挫胜过3%后,一部分投资人持续得到理解。即使技术分析依然看多,但乐观原因已被充分消化。当前,原油价格疑似很难寻到许多的购入支撑,但不消除在修正完成后复苏上涨趋势的机会性。此时,看空者应避免轻易进入市场买跌,保守派应观望,激进派可试图持续购入。
下周原油交易参考:
上方压力注意10月25号高点85.41,更深一步注意1月20号高点87.10以及90.00心理关键点位
以下支撑注意10月11号高点82.18,更深一步注意10月28号低点80.58以及11月4号低点78.25

春节马上来临,实物金银面临销售旺季,金银交易市场也将越发热闹。为感激广大投资朋友的长期关注与支持,本分析团队开设黄金投资课程供大家交流、体验。这周会免费放开10名体验名额,每天早8点至凌晨2点实时在线指导,供应投资信息共享、行情分析、现价单布局、做单技巧、头寸管理及风险控制规划!操作不是很理想或是被套的朋友可以免费体验,对于想要学习黄金投资产品的朋友还将有较大帮助,机会难得,欢迎投资朋友们的来临!点击上方头像获取名家联系方式!
本人专注市场动态,注解世界经济要闻,对金银TD、纸黄金、沪银、股票、假使你做单不顺或投资经常资金缩水,那么你可以多关注本人投资是一个完整系统包含投资理念 ,资金管理 ,操作手法与思路,专业成就品质,实力铸就信誉。金融行业,博大精深,每天行情波折持续,我所能做的就是用我多年的研究经验,带领大家走在市场前端,给大家帮助。盘中策略及交流关注常胜论金本人!