当你的才华还撑不起你的野心的时机,你就应当静下心来学习;当你的能力还驾驭不了你的计划时,就应当沉下心来历练;梦想,不是浮躁,而是沉淀和积攒,只有拼出来的美丽,没有等出来的辉煌,机会永远是留给最希冀的那个人,学会与内心深处的你对话,问问自己,想要怎样的人生,静心学习,耐心沉淀!手机APP点击上方头像获取名家联系方式!
美国提供管理协会(ISM)星期二发布的经济报告表明,受尽关注的美国2021年12月制造业指数从11月的61.1%下滑到58.7%,创11个月来的最低涨幅。在此之前接受调查的经济专家平均预计该数字将下滑到60%。世界最大黄金ETF—SPDR Gold Trust昨日增持4.65吨黄金。为202年第一次增持。仍有就是今夜的ADP小非农报告发布需求着重关注!
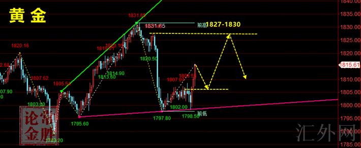
黄金趋势分析:昨天黄金价格在亚欧市场连续萧条横盘。进入美洲时段,由于黄金ETF的大举增持,黄金价格从1800美元左右强劲回弹回涨到1815美元之上。日k线收一根中阳线,但未能抵达前一个交易日痛跌的黄金分割61.8%水平,显示市场依然处在卖方阻力之下。新年的两个交易日,一个痛跌,一个强涨,多空的冲突性赫然展示。但是 总体于上一个交易日的大痛跌,昨日的回弹依然是有限度的。我觉得是12月短时间买方的最后挣扎。1800美元一线,让2021年12月15号迄今没有能够及时入场的看多买方造成了又一次抄底的期望。但是该种炒冷饭的力量,往往忽略了原来助推黄金价格上升的首要力量其实已经获利退场。而这股力量的短时间性愈加不会持久的助推黄金价格上升。这也是我们在以往的历史行情中常常目睹行情到顶暴跌后,往往有一股力量将价格推涨到前高位左右随后又一次掉头下挫,进而确定了双顶或W顶部形态。当下距离星期五美国非农就业报告发布只有不足三个交易日时间,而今天又将发布ADP美国12月小非农就业人口(万),明日凌晨则发布美联储FOMC发布货币政策会议纪要。市场有好处空头的阻力是重大的。在这个环境下,我们没有理由相信黄金交易市场买方仍有太多的力量更改2022年第一天确定的卖方趋势。尽管昨天上升,但是假如我们把这个上升看做是痛跌后面的短时间回弹,那么回弹终结后面,更深一步突破下挫就顺理成章了。
所以,我们不会由于一天的回弹更改我们对黄金全年看跌的首要看法和策略。我们任然坚持昨日的首要结论:黄金价格并没有脱离美联储政策周期统治的轨道。新年第一天的痛跌这是卖方的一个宣示!!!1830美元高位将形成2022年黄金熊市的起点!!!当下回弹上来将形成买跌的最好时间窗口。
今天亚洲市场开盘后,黄金价格临时深陷了盘整状态。市场的迷惑性极强,亚洲人无所适从,既害怕错失买涨机会,又害怕黄金价格暴跌。依照我们的多年的差不多逻辑和经验。在宏观基本分析有好处空头的环境下,前一个交易日痛跌28美元以上,我们只需求在回弹50%水平(不少时候都只回弹到38.2%或23.6%)坚定买跌,那么胜率可达75%以上。这是适合博弈的可能。今天起码还会持续试探1800美元一线的支持效果,让美洲时段小非农报告发布后美洲机构作出选择。
依据黄金分割轴心点指标体系表明日间重要位置,以下支撑1803-1798-1791,上方压力1816-1821-1827.中轴水平1809。今天今天R1和R2区间完全有充足的压力挡住黄金价格的回弹,而以下S3与四小时长期隧道重合存在较强支撑。

白银趋势分析:昨日银价连续萧条后,面临强势回弹行情,日k线收一根下长影的阳线,但是回弹差于上一个暴跌的50%水平,显示痛跌依然统治着市场方向。银价的次级回弹行情已经终结。当下银价只有横向震荡和下挫的两种机会。顾虑到这周进入重量级报告核心窗口,市场有好处空头阻力更深一步加强,白银最直接有机会从新下探22美元一线以谋求有效的买方支撑。
黄金分割轴心点指标体系展示日间三大支撑分别为22.74-22.62-22.45,上方压力为23.08-23.19-23.36.中轴22.90。预期今日银价任然倾向震荡下挫的机会性。
4小时kd曲线昨日迅速从20刻度推涨到80刻度以上,表明了短时间回弹的力量较强。但是顾虑到综合背景的有好处空头性,kd曲线从80刻度再次下穿20刻度的几率更高。

文/常胜论金/18小时在线分析指导,特此放开VIP指导群有想进群的朋友关注常胜论金本人获取进群名额。针对事实市场参与者,顾虑到部分市场对于实盘交易具有适当的时效性可关注笔者,进而能够选择合适的策略执行操作。专注环球市场专业研究,环球境内经济行情。对黄金,外汇,白银TD,沪银,原油大宗商品有深入的研究,假使你做单不顺或投资经常资金缩水,你可以关注常胜论金本人。