利润表是喜剧片,越看越开心,资产负债表是生活片,看似平淡,却暗藏杀机。市场有时候就像上帝,拯救那些自救的人,但是,市场有时候又不是上帝,它不宽恕那些不晓得自己在做什么的人。人均为只乐于接受与自己看法统一的真相,恐怕对普遍人来说真相是什么并没有重要,重要的是他们愿意相信的真相是什么。震荡的盈利让你得瑟,单边市场会来归纳,盈利一定是规划后面的结果,并非是加仓摊低成本的交易,错误的方法偶尔得到理想的结果,只要显现一次逆方的交易,就会满盘皆输,没有人会在自己最得意的时机接受别人的推荐,顺势,市场造就你,逆势,市场就会教育你!点击上方头像获取名家联系方式!
在今年下半年的美国经济萧条的态势下,通胀和美国的债务危机疑似对黄金的支持作用不大,黄金价格一直在适当的区间规模内作波幅振荡,尽管有几次最多被市场觉得黄金将伴随经济环境变差而迈出一次大的趋势,但是在美国度过了最困难的时刻以后,环球金价下一步上升的机会性已经变得越来越低。该种分析缘于几个再加上的原因,美国的就业市场有转好的痕迹,能源价格上升也得到了减轻,这在一定程度上致使通货膨胀的阻力得到了减轻。
黄金行情分析:
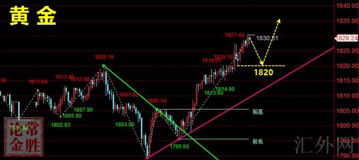
上周黄金强劲上升一路买涨,特别是在1792一线直接现价多,而且1800也是一个门槛,持稳1800就是多,直接加仓多,且1816公开思路多,大阳线全部到达1828左右。
黄金四小时线已经突破了,已经冲出了包围圈了,大阳线一路高歌猛进,前期压力1820直接被踩在脚下了,买方连续上探,特别是隔夜黄金一举攻下,当前买方剑指1876一线,以下支撑点一步步夯实,从1792,到1800,再到1815,最后到1820,显著的逐渐抬高支撑点,买方基础夯实,多,回调1820持续多。
从日K图向上瞧,星期四证实的看多交叉将帮助黄金保持向1825美元的升势,一旦上涨趋势线压力位和接差不多1820美元的月度高点汇合,黄金价格行情就将持续上升。21日均线(DMA)击穿100日均线,致使日K线收盘价好于100日均线。
1830个数字会是黄金买方的下一个关瞩目标。若环球黄金价格坚稳击穿这一水平,黄金价格或许会显现新的上涨趋势,并向11月22号高位1849美元接近。
黄金策略:回撤1820多,止损1814,计划看1835,击穿看1850

原油层面:上周原油又一次下探并刷新新低75.00,也完成了下挫的第一个阶段的引导楔形形态,符合图灵所认定的的转势阶段的第一个必要条件,受于筑顶阶段行情行情还存在反复,那么今日假使需求等候回弹到76.20才可又一次动手买跌,风控76.70上方,计划75.00~74.50。依照波浪交易体系的推演,B浪回弹上涨的行情大约率已经终结,当前进入到了C浪下挫的初始阶段,然而也需求行情又一次跌穿75.00才可愈加清晰后期的指向。目前C浪1的下挫仍未完成,整体的下挫需求目睹73.90和71.70两个计划位。

素不相识的投资朋友只因看了我的文章信任我,所以每位寻到我的投资朋友我全将予以最大的帮助,让该份信任变的更有价值。在市场经济中,只要你参与到经济中来,就是经济人了,经济人诚然就以盈利为目的,特别在资本市场中,没有慈善家,只有赢家和输家。无论你在其余层面如何成功,到了市场里,赢输就是唯一标准。有关当前火热的外汇、原油、黄金,白银TD,沪银等贵金属投资,感兴趣但是无从下手的,或者正在这一投资手里有套一单总的收益不理想的朋友都可以咨询, 佛渡有缘人,我带有心人!常胜论金期望与你形成朋友!点击上方头像获取名家联系方式!