大家好!我是常胜论金,今天是周末,也是元旦假期,常胜祝大家节日快乐!口说不如身逢,耳闻不如目见,留得五湖明月在,不愁无处下金钩,闹里有钱,静外安身,酒中不语真君子,财上分明大丈夫。静下心来去揣摩,放心浮躁去研究,金融市场,走过的每一步都算数,不要在一个地方多次的跌倒,解脱诱惑,从容淡定,抛弃世俗的羁绊,守在精神的阵子,假使输了,不是输给市场的诱惑,而是倒在了自己的欲望中。手机APP点击上方头像获取名家联系方式!
本月稍早,美联储的政策策划者答应加速终结其新冠疫情期间的债券买入规划,并规划在明年3月终结资产买入,以便为明年的3次升息留出时间,他们当下觉得这3次升息是明年所需求的。
利率上涨会增长持有无收益黄金的可能成本,并推升了美国国债和美元,对黄金价格的影响无处不在。路透10月调查表明,分析专员预期2022年黄金价格均价将于1750美元附近,调降在此之前预期,因隐藏的升息导致阻力。
黄金下周分析:
在2021年的最后一个交易日,星期五(12月31号)环球黄金正在上一日回弹的基础上持续升高,并击穿了1830美元关键点位。市场情绪任然审慎,支撑了美元。但是,在最近收益率走软期间,看多黄金投资人仍未承受影响。
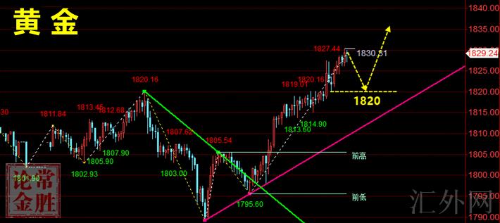
2021年已过,黄行情整体高点盘整,波幅接差不多300美金,2022年黄金行情倾向先涨后跌。黄金现货上方强压力在1906左右,以下支撑1750左右,年初先关注这个大区间。月线收实体阳线,月线上方能目睹的压力在1906左右,前提是要破前高1877。周线长下影阳线,典型的看涨行情,支撑1807左右,也是日K线的强支撑。周线压力1844左右,现货金一旦立住还会去1866甚至更高。日K线星期五也是收阳,1825是支撑,假使走高也许1827就会推涨。仍有1830是这段618的位置,也要防止周初小破一下再回调。单看大周期k线,1830挡不住。
下周策略:1820多,止损1814,计划看1840,击穿看1850上方

原油行情回顾:星期五(12月31号),环球原油价格总的企稳,在世界经济重新冠流行病衰退中恢复和产油国审慎放出产量的助推下,原油价格有希望报12年来的最大年度升幅,即使世界受染人数猛涨至前期高位。洲际交易所brent原油期货全年有希望上升54%,而NYMEX原油期货有希望上升59%,这会是从2009年迄今的最大年度升幅。伴随旅行需求回涨,预期2022年世界原油价格将更深一步上升。
原油行情分析:从日K线行情图向上瞧,日K线收录一个小阳线,高价破前高,低价破新低显现了摸底回涨,均线运行在原油价格以下形成金叉往上,原油价格整体处在接连上升中。
从四小时行情向上瞧,原油在二次刷新66.2美元后显现了一次接连上升,当前原油价格在刷新77水平后运行了一个震荡平台77.3-75.3区间,在一次接连上升后原油价格显现震荡,更深一步显示了原油价格上升显现冲突,又一次击穿有希望显现买方保持,假使遇阻下探,将显现保持卖方反一行情。综合分析,原油价格终结接连震荡后显现了区间震荡,有机会显现一次卖方下挫,短线交易参考上推荐斟酌高空低多策略。
原油交易参考:
1、上方注意77.3一线压力;
2、以下注意75.3一线支撑。

不论当下的处境如何,不要太过于着急,只要你仍有期望仍有信心,那么一切全将朝着不错的方向发展,没有谁的人生是一帆风顺的,当你历经曲折,得到成功的那一刻,你会感激你今日所遭遇的一切挫折。想到我刚进入这个市场,老实说,承受到的挫折是自己所不能想到的,一路披荆斩棘走到当下,有想过放弃吗?诚然有,但是不服输的性格让自己咬牙坚持着,当下回过头去看,可以很淡定的说,感激当初的挫折造就了我当下的成绩。点击上方头像获取名家联系方式!
每天行情波折持续,我所能做的就是用我多年的实战经验,为大家策划专业的投资规划书,在每日的行情中供应简单,轻松的投资盈利技术服务体验。点击上方头像获取名家联系方式!
全方位指导时间:早7:00┄次日淩晨2:00(周末也从不停歇,可供随时咨询)
全方位指导老师:常胜论金分析专员团队
作者赠言:愿你我始于文字,合于性格,深陷技术,久于善良,终于人品