消息层面:当地时间12月14号,即债务上限截至日期的前一天,美国参议院以50票赞成、49票反对通过了一项法案。该法案将债务上限提升了2.5万亿美元,并将其延长到2023年,以避免债务违约,该法案将提交众议院表决。点击上方头像获取名家联系方式!
在此之前,国会通过了一项协议法案,允许参议院只要简单普遍票即可提升美国债务上限。依据该法案条款,民主党将得到一次性的迅速审批权力,以更快提升美国债务上限,增长的金额或许足够支付到2022年的借款。
北京时间星期四(12月16号)凌晨3点整,美联储将发布最新利率决定,同期发布经济预期摘要。美联储主席鲍威尔将令在30分钟后面发表发言。市场预期,美联储将宣称加速削减购债范围。
黄金趋势分析:昨日黄金价格在亚欧市场保持弱势回调,表明了买方无力。而进入美洲时段,市场借助生产价格指数报告,忽然放出卖方情绪,促进黄金价格大幅下挫,探至最近箱体震荡的极限支撑区域,日k线收一个实体总体较长的阴线,覆盖了上周的震荡回弹空间,显示卖方力量骤然加强,最近多空冲突局势有机会被打破。至此,上星期五美洲时段买方反扑的量能完全耗尽。昨日的下挫,表明市场焦点已经锚定美联储政策会议上来依据上一次美联储主席的鹰派言论,和最近美国通货膨胀水平的连续攀升背景。我笃定12月美联储货币政策或有较大的缩紧转变,会后美联储主席鲍威尔的发言将保持上一次的鹰派言论,对黄金交易市场会导致较大的有好处空头影响。基于这一个如果,我觉得黄金昨日的下挫已经是卖方行情的提早起步。今夜至明日或许会显现胜过50美元以上的下挫行情。进而打开年内最后一次单边下挫行情趋势。
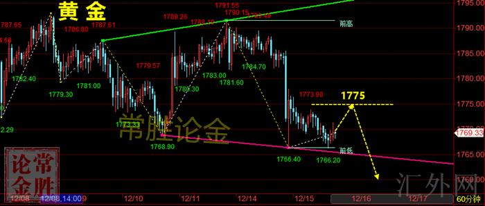
今天亚洲市场开盘后,黄金价格从昨日的低位回弹,价格在1773美元左右。很多还停留在最近的震荡思维的投资人,正在冒险“捡便宜”。但预期这个回弹不会连续太久,1775-1780区间将组成回弹的强压力。黄金ETF的减仓+美联储议息会议,这充足抑制市场买方幻想。当下的回弹,只然而为下一次卖方集中抛抑制造更不错的高台。预期行情在欧洲市场即或许起步。
4小时kd曲线保持了星期二的趋势,增速突破50刻度,当前仍未抵达20刻度。斟酌的基本分析的巨大有好处空头性,kd曲线在20刻度很难重演以往两周的反转表现,而以单边卖方行情的角度,kd曲线穿越20刻度,表明卖方行情的增速起步。
位置分析。依据黄金分割轴心点指标体系表明日间重要位置,以下支撑1766-1761-1752,上方压力1784-1789-1798.中轴水平1775。今日回弹买跌的最佳机会。中轴水平至R1区间将组成强阻挡。

白银趋势分析:昨日白银跟随黄金大幅下挫,横盘突破了前低位,探到21.60美元,接近年内低位。日k线收一根实体和下影都较长的阴线。表明目前卖方阻力任然沉重。当前白银市场回弹力量已经脆弱,顾虑到美联储议息会议或许对市场没好处,白银仍有最后的崩跌行情。假如市场主力机构要买涨白银,必然会执行暴挫暴拉的手段。所以白银最终或许会显现一根大阴线突破年内低位,随后在急拉的行情。所以我们将银价或许存在的终极支撑下探到19.68-20美元区间。
4小时kd曲线昨日按计划冲80刻度上方掉头下穿,当前仍未抵达20刻度,。预期卖方力量仍有更深一步放出的过程,kd曲线最终要穿越20刻度,持续向10刻度方朝下探。也就代表着白任然存在持续摸底的行情行情。
位置研判。黄金分割轴心点指标体系展示日间三大支撑分别为21.70-21.55-21.31,上方压力为22.21-22.37-22.60.中轴21.99。预期今日白银很难显现回弹力量,持续朝下需求新的支持。

假使你从未做过投资,想学习了解,又或做单不顺,投资经常资金缩水,想学技术面看盘,那么你就得去我们群内考察看看。金融行业,形态万千。我所期望的就是用自己的专业知识和多年的经验,为你的资金保驾护航。假使你此时正在纠结亏损,或者这么多策略该跟随哪一单,你可以选择观察一下我们每日群内的操作,群内的操作有理有据,实时现价单,收益也是很显著 欢迎各位同学前来考证。点击上方头像获取名家联系方式!
全方位指导时间:早7:00┄次日淩晨2:00(周末也从不停歇,可供随时咨询)
全方位指导老师:常胜论金分析专员团队
撰稿人:常胜论金
作者赠言:愿你我始于文字,合于性格,深陷技术,久于善良,终于人品