抓不住的行情别纠缠,留不住的利润别在乎,忘不掉的回忆别较真,错了的方向别逗留,长大后,民众全将辜负小时候的梦想,未能活成那时想象中的人,反而活成了自己讨厌的样子,交易的过程就是自我的修炼,没人知道你历经了什么,但走过的每一步都算数,做市场的舞者,只要行情仍在,演出就没有落幕!
今夜鲍威尔携耶伦齐发言!
星期二夜里23:00,美国财长耶伦将和鲍威尔将一起在参议院银行委员会作证。作为2020年3月经济救助法案的一部分,美联储主席和财长每个季度都务必向国会数据,该法案扩大了美联储的紧急贷款规划。
最新发布的证词表明,美联储主席鲍威尔觉得,奥密克戎变体和近期新冠病毒患者的增长对美国经济组成了威胁,并使本已不确定的通货膨胀展望变得愈加混乱。
鲍威尔定于星期二向参议院议员发表的发言中预期会说,近期冠状肺炎患者的增长和奥密克戎变种的显现对就业和经济活动组成了下探风险,并增长了通货膨胀的未知性。对病毒的更大忧虑或许会减弱民众现场工作的意向,这会减缓劳工市场的进度,并加重提供链的中止。
鲍威尔还对通货膨胀发表了更直接的观点!他表明称,预期提供制约的连续时间和影响是有考验性的,但当下看来,“助推通货膨胀上涨的原因将连续到明年。
黄金行情解析
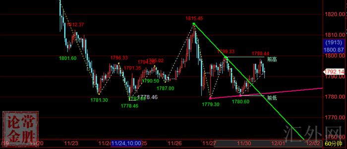
昨天黄金整体冲顶回调行情,许多是被白银的极弱下探局势动员黄金走软,黄金依旧总体抗跌的,起码白银接连性破底回撤期间,现货金任然在1778底部之上运行于1780上方整理,并没有保持性跟随白银破底回撤。
日K线级别:黄金最近连续盘整,上方未能击穿1800关键点位,下跌趋势也临时止步,市场正在对新病毒的影响做更深一步的评估。
技术分析来说,上涨趋势线的支持以及黄金超卖的风险有希望支持现货金上涨,然而当前空方依然占领盘面主动,买方想逆转局势或许需求许多时间。黄金行情更深一步明朗需求等到市场对新病毒的认知尘埃落定,这关系到美联储下一步的货币政策迈向,从而影响黄金行情。假使有效跌穿11月24号低点的支持1778.70,则更深一步看到6月17号低点1767.35以及76.4%回撤位1758.42。
假使有效涨破1800关键点位,则更深一步向上瞧10月22号高点1813.82以及8月30号高点1823.31。

原油行情分析:原油昨日先回弹后下挫,与预计吻合。亚盘高开先保持回弹。由于星期五单次负下挫后的回弹修正,大幅下挫回弹。回弹后,有两次下挫,差不多是在一个迅速而大范围的市场浪潮中,这是经常发生的。首先是在横向弱势巩固后持续下挫。第二种是回弹,先拉动指数,随后再下挫。第一种是极弱的行走法,在持续击穿低谷。第二种是修正方法,在新闻层面快速衰落后面,影响了普通技术形式。首要指标是头部的转动,回弹空间的大小决定了当天能否会有朝下击穿的强度。
原油4小时图连阴下探,随后回弹。修正后,它暂停横盘,第二次下挫未能直接击穿低位。最后的回弹在中立位置终结。1小时图二次回调后,能收回部分失地,从一个小循环开始,打击修正阶段在局部执行。请注意,日K线是第二个交易日的修正。弱势然而三,过三转震荡。短线首先被看为短时间下挫趋势中的修正潜力,是否又一次下探,关注日K线最终整理后能否能收盘击穿67.40低位。所以,综合分析,今日推荐原油高空为主,回踩低多为辅。
原油交易参考:
上方短时间着重注意72.8-73.3一线压力
以下短时间着重注意66.0-66.5一线支撑

假使你从未做过投资,想学习了解,又或做单不顺,投资经常资金缩水,想学技术面看盘,那么你就得去我们群内考察看看。金融行业,形态万千。我所期望的就是用自己的专业知识和多年的经验,为你的资金保驾护航。假使你此时正在纠结亏损,或者这么多策略该跟随哪一单,你可以选择观察一下我们每日群内的操作,群内的操作有理有据,实时现价单,收益也是很显著 欢迎各位同学前来考证。
全方位指导时间:早7:00┄次日淩晨2:00(周末也从不停歇,可供随时咨询)
全方位指导老师:常胜论金分析专员团队
撰稿人:常胜论金
作者赠言:愿你我始于文字,合于性格,深陷技术,久于善良,终于人品