昨日的基本分析美国着重报告集中发布,美国当周首次申请失业救济人数将到19.9万人,比预计的26万人要好不少,而凌晨时段的美联储会议纪要内容表明异常鹰派,其内容表明部分与会者推荐,有理由将每月净资产买入范围降低逾150亿美元,以便委员会能够更好地调动联邦基金利率计划区间。很多与会者表明,美联储或许需求提早加息。报告发布后美指更深一步推涨。点击上方头像获取名家联系方式!
星期三黄金现货跌向三周低位,盘中早些时候曾跌向11月4号迄今的最低水准1778.70美元每盎司;由于美国经济报告强势提升美元和美债收益率上升,市场对美联储早于预计升息的忧虑加重了悲观情绪。
这周稍早,黄金跌穿1800美元关键点位,因美联储主席鲍威尔得到提名连任,加大了民众对美联储将加速货币政策缩紧的押注,这提升了美元,从而令海外买家买入黄金的成本更高。
黄金趋势分析:昨日黄金多次显现回弹未能获得击穿的状态,价格环绕在1780-1795区间运行,多空助推力均大幅降低,日k线收一根标准的阳十字星,证明了市场多空深陷了临时的冲突状态。总体于以往接连四个交易日的单边暴跌,昨日十字星表明了波段急跌行情临时终结,黄金有希望面临调动回弹行情。但回弹程度能够有多高,强度如何?则受制于基本分析与技术分析的配合程度。技术形态上,急跌后,回弹到23.6%-38.2%区间即1800-1813区间,这是常见的。而当下巨大报告基本分析已经发布,黄金,没有显现更深一步下挫,表明前期暴跌已经差不多消化。而接下去最重要的事情,应当是美国财政耶伦最担忧的困难---美国美政府债务危机。12月份是美国美政府债务临时上限到期的最后时间。在美国通货膨胀率高企的环境下,美国美政府债务危机困难,或形成市场关注的新焦点,在一定程度上,临时可以抵消市场对美联储加息预计的恐惧。所以,伴随黄金跌入1800美元,并在1780美元这个前密集成交点区域得到支撑,临时持稳。这意味着黄金转入震荡局势的几率较大。但顾虑到近五个交易日迄今,黄金遭受卖方抛压的强度,我们差不多可以放弃黄金还复苏10月到11月中旬那种强劲上升的行情的分析。但多空的争夺必然会渐渐激烈起来。我们不妨以1780-1810区间作为急跌行情终结后多空冲突的过渡区间。与近期节假日较多的清淡交投意向现况相匹配。
今天亚洲市场开盘后,做多盘渐渐解脱了昨晚被抑制的状态,再次乐观进场,黄金重回1790美元以上,逐渐远离了昨日低位,表明了适当的上涨量能。在昨日十字星的提示下,今天亚欧市场应当能够达到对昨日1795美元关键点位的击穿,探向1810美元左右。但是因为于美股休市,恐怕美洲市场参与意向不强,黄金大约率反复震荡为主。
位置分析:依据黄金分割轴心点指标体系表明日间重要位置,以下支撑1780-1776-1770,上方压力1794-1798-1805.中轴水平1787。今天黄金存在打击R3水平的量能,但震荡属性偏多,预期在R3-S2区间运举动主。

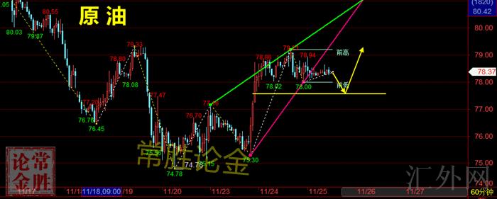
原油行情回顾:WTI原油星期三(11月24号)震荡,由于美国石油协会报告表明早上库存增长;星期二原油价格上升2.63%,为两周来最暴升幅,由于石油需求国联合放出的战略石油储备差于预计。
原油行情分析:原油日K线收录大阳线,日K线级别二连阳,移动平均线被卡住形成一个死叉,在好于原油价格80.6的线上运行。灵动指标sto超卖后,金叉往上发散,原油价格具有往上量能。从原油价格总的局势来说,原油在前期一路上升,在85-83的水准上显现了双顶回调。当前,正在执行n形调动。原油价格在第二次下挫74.6美元和75.28美元后得到支撑。存在往上量能和三轮结构,这段小级别上升多空分界线在77.0一线。假使原油价格平稳在这一水平,小五浪上升的几率会显现,上方压力位注意79.8-80.6。假使不能越过80.6线,原油价格持续下挫的机会性太高。总的来说,今日原油短线交易参考上推荐以高空为主,低多为辅。
原油交易参考:
上方短时间着重注意80.0-80.5一线压力
以下短时间着重注意76.0-76.5一线支撑

好好思考一下,为何大行情到来你总是把握不对,总是被深套亏损的悲惨教训。常胜论金可以很负责的告诉你,若你连续的亏损还不归纳,那就早点撤出这个市场,别拿自己的辛苦钱不当回事,毕竟一分一毫都来之不易。在这个市场博弈,常胜一直认为投资讲究的是一个学习参与的过程和后期长期稳健获利的结果。一旦造成亏损,就要及时归纳原因显现在哪里,要让亏损的资金造成它应有的价值。在常胜看来,假使你每做一笔交易,都能做到有理有据的进场,且严格遵守这个市场的规则,在一个合理的引导之下,达到长期稳健获利的计划是很容易达到的。点击上方头像获取名家联系方式!
全方位指导时间:早7:00┄次日淩晨2:00(周末也从不停歇,可供随时咨询)
全方位指导老师:常胜论金分析专员团队
撰稿人:常胜论金
作者赠言:愿你我始于文字,合于性格,深陷技术,久于善良,终于人品