前言导读:
一样的行情,不一样的指导,不一样的人生。新手的特点就是不懂技术,盲目进场。他们每次交易只斟酌一个困难:觉得只要预判了市场涨跌就可以去做这笔交易。该种重方向、轻位置的做法致使交易者一败涂地。其实,顺势而为的“势”跟“方向”是有很大差别的,由于市场的运动方向呈现震荡的形态运行,而市场的趋势往往是全局性的。在我这里,我能做的是帮你正确的把控头寸,利用支撑和压力位下单,让每一单有理可依,有迹可循。买卖点位不应当是随意进场,请对自己的资金负责。假使你对行情真的无法把握,可以前来寻到鑫顺,多一个分析专员对你来看没有任何损失,永远记住一句话,专业的人做专业的事,一切实战只为盈利,合作只为双赢。

关注最新进展动态,剖析世界投资大趋势,黄金后市多空该如何研判?
黄金价格星期三(11月17号)上升,因对通货膨胀的忧虑令一部分投资人紧俏恐慌,而对通货膨胀上升或许促进各国中央银行加息的预计,也让美元走高,并制约黄金价格的上涨。
美市盘中,现货黄金价格保持上涨趋势并创下日内新高到1867.96美元,较日低推涨逾18美元。
美国10月新屋开工数据意料之外的下跌,因材料匮乏、土地和劳活力稀缺仍制衡房屋营建活动。
美国商务部星期三表明,经季节调动后,美国上个月新屋开工年率为152万户,环比下滑0.7%。9月报告向下修正到153万户,差于在此之前发布的155.5万户。路透调查的分析专员在此之前预期,房屋开工将回涨到157.6万户。
10月份,营建许可增长4.0%,高达165万套。
美国10月新屋开工数据意料之外的下跌,因材料匮乏、土地和劳活力稀缺仍制衡房屋营建活动。然而,房屋建设仍承受市场上二手房严重匮乏的支持,这致使了刷新纪录的房价上升。获准建造但仍未开工的房屋大批积存。冬季是美国东北和中西部房屋建造的典型淡季,所以材料匮乏情形或许会有所减轻。投资人担忧通货膨胀失控,所以购入黄金以对冲风险。
鑫顺看市11.18技术分析分析:黄金V型反转、买方强劲反扑!
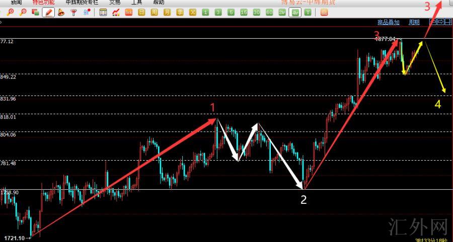
星期三黄金行情形成了单日反转的极端行情,买方又一次反扑而来,当前看尽管在日K线黄金分割50%一线1877显现了临时的回调,但买方不愿放弃已经显现的趋势行情,所以今日持续斟酌先看涨至前高1877一线,推荐回调到1862.50左右购入,风控1858.50以下,计划1871~1877,上过强劲往上击穿再目睹1885。依照鑫顺波浪交易体系的推演,当前行情又一次显现了较为冲突的多空争夺,往上击穿1877则表明以前的3浪上升仍未终结,假使跌穿1856则表明下挫4浪的几率较大。所以今日着重关注以上两个转折点位,对于后期行情将令造成决定性原因。

鑫顺看市11.18-原油无视美国能源信息署有好处多头,C浪下挫增速显现
星期三原油的行情羸弱不已,回弹连80.00的重要阻力都未刷新到就持续下探突破,也就错失了回弹出售的可能,夜里的美国美国能源信息署原油库存报告尽管降低200万桶,但行情无视有好处多头的结果持续突破下探,78.30的前低颈线位也轻易被卖方跌穿。在目前的下挫行情中原油已经弱到极致,所以抛弃幻想持续出售,推荐今日回弹靠差不多78.20又一次出售,风控78.65上方,计划77.00~76.30。依照鑫顺波浪交易体系来说,受于昨日跌穿了78.26代表着C浪2的回弹已经终结,当前已经进入到C浪3的下挫当中,而且颈线78.26被跌穿将形成重要的卖方抑制点。

体验薪酬:凡是加到钱鑫顺老师的朋友,钱鑫顺可依据当天行情免费给出3日现价单来验确认力。后续可凭实仓截图,免费推送(实盘战法一套)
钱鑫顺寄语:
对于今年的投资你满意吗?行情仍在走,时间仍有,你仍有挽回损失的可能。那么鑫顺想问问大家能否经常错过赚钱的行情,不晓得你能否时常受于行情的涨跌而感觉到无奈,没有老师指导、有老师指导都做不好,自己也没有把握进单子,缺乏技术指导,没有风险防控,单子做的提心吊胆的,我能懂你们的无奈。投资只有一个目的,那就是赚许多的钱,让身边的人过的更好。没有谁的钱是大风刮来的,路上白捡的,这个市场不缺老师,缺的是一个有责任心,站在客户角度去斟酌困难的老师。
不管第一感觉怎么样。都应当给对方一个了解的可能,我相信,你能看完这么多字,就是缘分。投资合作也是多半看缘分,假使你相信缘分,相信我可以用心为你做点什么,你可以试着和我交流一下,不管你是新手,依旧有老师。钱鑫顺秉承用心写好每一篇文章,每日的分析和策略,出发点是期望能更不错的给大家推荐及帮助。
本文由国家注册分析专员钱鑫顺原创供稿,注解经济要闻,研判市场情绪改变,剖析投资趋势,传递有价值的投资理念,对原油、黄金、等世界首要金融市场都有深入而独特的见解。以上内容属于钱鑫顺个人推荐,因网络撰文有时效性,推荐仅供参考,据此操作风险自负!