前言导读:
我知道正在看帖子的你,一定是在寻求一名可以在你的投资路上助你一臂之力的老师,但是换位思考一下,每天的分析帖子铺天盖地鱼龙混杂,你想选择一名合适自己的老师的确是一件不简单的事情,最近的行情震荡又快又大,不晓得这几天你操作的怎么样?其实施情没有好坏之分,只要分析做的到位,什么样的行情都能赚钱。个人认为一个合适你的老师,不导致要行情分析的到位,更重要的是老师与你之间的配合默契,只有如此,才可双管齐下一本万利。的个人操作风格是,稳健、顺势,注重整体的盈利并非是某一单的盈利,假使你认为的分析写的还不错、又或是的风格让你认为很清爽、那你不妨选择加入吧,不试试怎么知道行不行?

关注最新进展动态,剖析世界投资大趋势,黄金后市多空该如何研判?
星期二(11月9号)美市亚盘,金价适当上升,但距离一个核心压力点尚有距离。星期二,美国劳工部表明,继9月份上升0.5%后面,10月份生产者价格指数(生产价格指数)上升0.6%,符合经济专家的预计。
数据称,年度通货膨胀率上涨8.6%,稍低于预计,广泛预期为8.7%。最新的通货膨胀报告发布后面,黄金现货短线上升并击穿1830美元关键点位。对一部分策略分析师来看,1835美元是黄金交易市场务必击穿的核心水平,才可吸引新的看多态势。
美联储主席鲍威尔星期二表明,将研究一连串指标,以衡量美国经济距离充分就业有多近。他重申了将计划锁设在经常退场观望的员工群体的好处。美联储将在本月晚些时候开始取消2020年3月为保护经济免受冠状新冠疫情的特别刺激举措的第一个支柱,到时将开始削减其大范围债券买入。美联储官员表示,强势的经济上涨和就业成长证明,美国经济可以开始自立。但鲍威尔上周也表明,美联储在升息前将维持耐心,并优先斟酌更深一步达到就业最大化,即使通货膨胀好于预计让人恐慌。世界股市在隔夜交易中涨跌互现。美股开盘涨跌互现。当前世界市场上差不多没有风险规避。近期有关冠状与流行病的正面消息——美国的受染率提早下滑,以及抗击病毒的新型强效药物——促成了积极的市场立场,也帮助提升了股市。当前,策略员和投资人对价格通货膨胀上涨甚至显现困难的展望并看空。
星期三,美国劳工统计局将公布10月份消费者物价指数(CPI)报告。刨去震荡较大的食品和能源价格的核心CPI预期将维持在4%的年率不变。受于美联储运用个人消费开支(PCE)价格指数作为衡量通货膨胀的首选指标,市场对CPI报告的反映或许依然有限。市场也会关注星期三的首次申请失业救济人数。
刚入市原油黄金的朋友或许会由于工作、生活等困难无法获取环球市场第一新闻或消息,这对咱们做原油黄金市场来讲是很大的困扰,所以欢迎做投资的朋友寻到我一起共同交流与进步,让各位随时随地第一时间知道环球市场动向,做最稳健的单子。(周末可咨询)
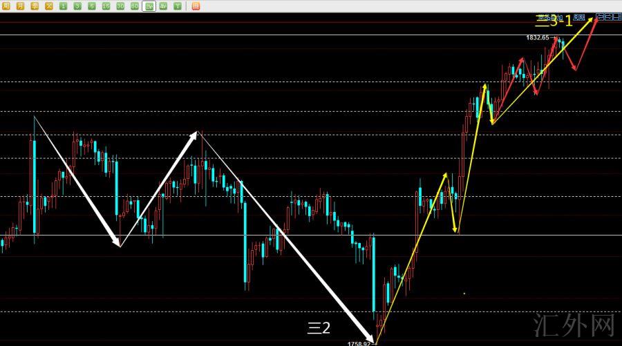
11.10-黄金买方逼差不多1834、不破不立!
星期二黄金交易市场又一次验证了鑫顺早评以及路演中的思路买涨是唯一的出路,午后欧盘时段的迅速下杀看似吓人,其实是通过洗盘洗掉不坚定的看涨者,买涨机会也仅显现了一次,当前已经逼差不多1834的重要压力,只要打破这里才可看的更远。从日K线的连阳行情看1834一线往上击穿的几率比较大,推荐日间持续斟酌回调买涨,适当回调到1823一线持稳购入,风控1818.50以下,计划1834~1840。依照鑫顺波浪交易体系的推演,现在已经运行到了三浪1内部的最后一个上涨结构中,耐心看多等候买方结构全部完成才可以斟酌三浪2调动的显现。

11.10-原油上涨趋势接近前高、5浪上涨进入增速
星期二的原油行情买方仍未给到太多的进场机会,假使以前没有底仓的话只能在往上击穿83.40核心阻力后才有充足的进场理由,经历一夜马不停蹄的上涨当前已经靠近前高85.41,不出无意中今日将再攀高峰的几率异常大。所以保持买方的趋势任然斟酌买涨看多,推荐回调到84.10一线购入,风控83.60以下,计划85.20~85.40~86.00;万一不回调直接往上击穿85.40时也务必进场买涨,风控任然0.5美金,计划86.50一线。依照鑫顺波浪交易体系的推演,78.26开始的第5浪上涨内部也显现了延长浪的助推结构,表明买方情绪高涨,85.40的高位最终依旧会踩在买方的脚下。

体验薪酬:凡是加到老师的朋友,可依据当天行情免费给出3日现价单来验确认力。后续可凭实仓截图,免费推送(实盘战法一套)
钱鑫顺寄语:
对于今年的投资你满意吗?行情仍在走,时间仍有,你挽回损失的可能就在现在。能带你盈利的才叫老师,能互相扶持,互帮互助的才是朋友,嘘寒问暖的是亲人,骗吃骗喝的是表面兄弟,投资交易如同做人,选择大于付出,不论是交易方向的选择,投资方法的选择,依旧老师的选择都举足轻重,不能带你盈利的均为夸夸其谈,谋事在天,成事在人,诚恳走一生,虚情假意将永远被唾弃,是金子总会发光,鱼龙混杂的市场,吹嘘得来的认可,总会原形毕露,唯有坚持写出对投资人有用的分析,能让投资人少走点弯路,学到技巧与知识,少错一单,那么我相信日久见人心。
不管第一感觉怎么样。都应当给对方一个了解的可能,我相信,你能看完这么多字,就是缘分。投资合作也是多半看缘分,假使你相信缘分,相信我可以用心为你做点什么,你可以试着和我交流一下,不管你是新手,依旧有老师。秉承用心写好每一篇文章,每日的分析和策略,出发点是期望能更不错的给大家推荐及帮助。
本文由国家注册分析专员原创供稿,注解经济要闻,研判市场情绪改变,剖析投资趋势,传递有价值的投资理念,对原油、黄金、等世界首要金融市场都有深入而独特的见解。以上内容属于个人推荐,因网络撰文有时效性,推荐仅供参考,据此操作风险自负!