温馨提示:APP用户直接点击本人头像以下获取联系方式
只渡有缘人,跟对的人干对的事,你在观望我在赚。天下功夫唯快不破,交易市场唯有未雨绸缪方能取胜。先知先觉吃大肉,后知后觉喝点汤,执迷不悟只能做接手侠。规划你的交易,交易你的规划,不按规划行事又何须策划你的交易规划,务必做到知行合一方能取胜,交易不是跟风不是比谁抢先入场。不要震荡3-5块说大涨痛跌爆赚爆亏,假使只有这点局势你讲永远是在帮助经济商刷单打工,何谈达到财务自由。
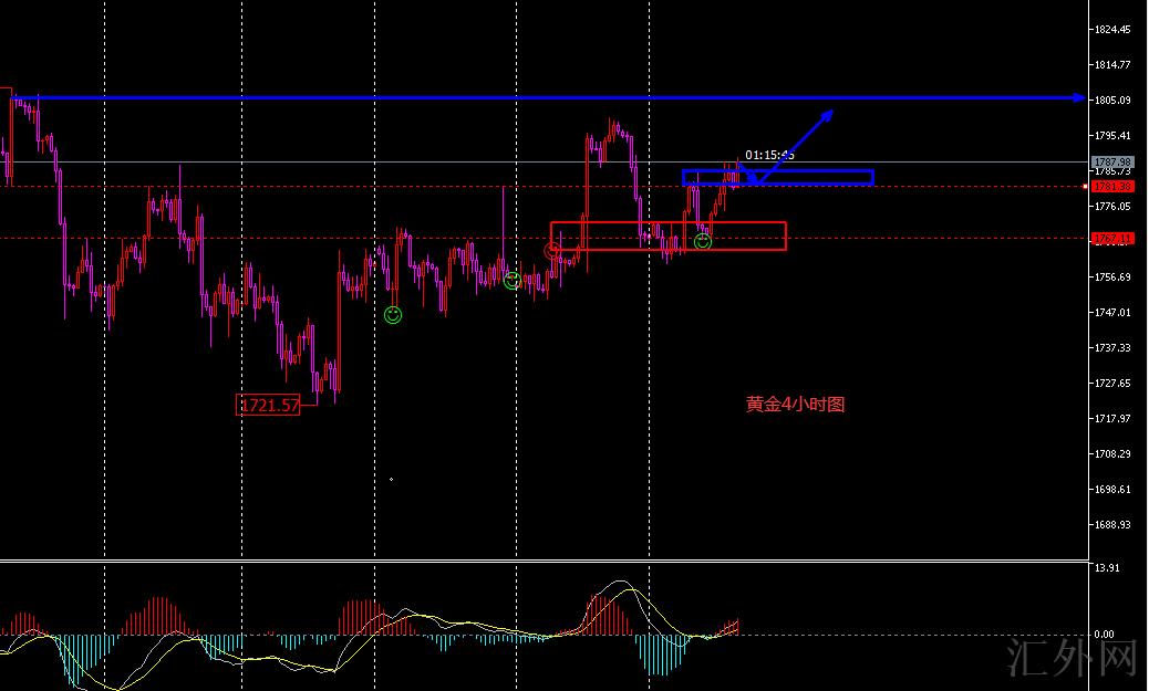
昨日黄金镑美干多双双获利,黄金目前上升趋势显著,日K线一直处在布林带中轨之上运行,只然而近期美盘时段回测过大,但这不妨碍买方的决心,同期也是该种深度的回测才一直迷惑卖方一直给期望又让卖方受挫。方向对了能套住时间但是套不住单子,方向反了退场慢点浮盈就要变浮亏。
日间黄金关注上方1796--1805区域阻力,这一带冲破黄金将又一次试探上方1830,以下着重注意1774一线支撑。操作上持续低多为主。
亚盘时段1785--1780分仓多 止损1774 计划1796---1805
风险提示 个人推荐仅供参考


