首页
外汇导航
汇率牌价
数据资讯
观点点评
外汇监管
外汇学习
周边服务
公众号
人脉圈子
资讯点评
学院
百科
集市
排行榜
热门排行榜
最新排行榜
快审排行榜
权重排行榜
友链中心
友链免审
交换友链
出售友链
会员服务
开通VIP会员
付费快审
工具箱
登录
注册
首页
资讯点评
专家汇评
文章详细
金宏宇9.23隔夜黄金冲顶回调亚盘黄金1765左右持续空
金宏宇
2021-09-23 12:03:34
快审
589
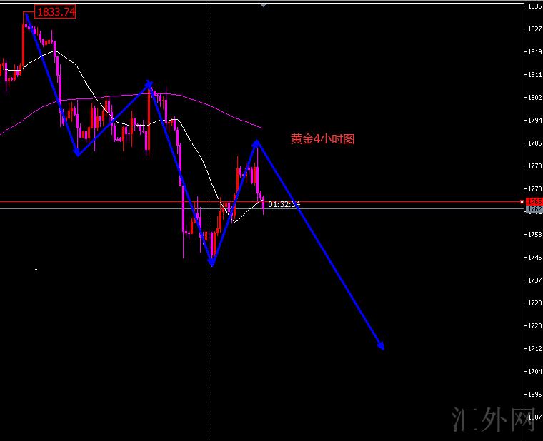
黄金昨日借助美联储发布利率会议先是冲顶1787一线随后回调,鲍威尔发言后面又一次回调。
亚盘黄金 1765左右空 止损 1772上方 计划 1755--1745
风险提示 个人推荐仅供参考
标签:
鲍威尔
黄金
决议
美联储
利率
止损
早盘
仅供参考
昨日
提示
讲话
风险
目标
建议
nbsp
MT5外汇EA
上一篇:
鲍威尔放鹰黄金价格冲顶回调、今日黄金行情分析(午间策略)
下一篇:
9.23午夜黄金海底捞出百点利润!白盘黄金回弹后需空单开设
随机快审展示
加入快审,优先展示
加入VIP
推荐文章
黑马在线:均线实战利器
9832 阅读
短线交易技术:外汇短线博弈精讲
5076 阅读
MACD震荡指标入门与技巧
5180 阅读
黄金操盘高手实战交易技巧
5602 阅读
做精一张图
4333 阅读
热门文章
港币符号与美元符号的区别是什么啊?
29297 阅读
我国各大银行汇率为什么不一样啊?
19122 阅读
越南盾对人民币怎么算的?越南盾对人民币汇率换算方法是什么
14381 阅读
百利好环球欺诈,不给出金,无法联系。
12457 阅读
港元符号是什么啊 港元符号跟美元符号是一样吗
12207 阅读
推荐文章
1
重磅数据即将来袭,美国8月CPI重回上涨轨道?
2
甲骨文市值一夜蒸发3300亿元
3
熟练掌握后盈利概率99%的K线形态--双重底部
4
实行超宽松政策日本央行即将转鹰?
5
9.12 本周策略
6
特斯拉狂飙,Dojo 超级计算机或使特斯拉市值增加6000亿美元
7
AI是风口还是泡沫?
8
将推特改名为X,下载量创新低
9
全球顶尖交易员推荐的10个交易诀窍策略(上)
10
发生了什么?苹果市值蒸发1900亿美元
热门文章
1
港币符号与美元符号的区别是什么啊?
2
我国各大银行汇率为什么不一样啊?
3
越南盾对人民币怎么算的?越南盾对人民币汇率换算方法是什么
4
百利好环球欺诈,不给出金,无法联系。
5
港元符号是什么啊 港元符号跟美元符号是一样吗
6
MYR是什么货币,MYR兑换人民币的汇率是多少啊?
7
黑马在线:均线实战利器
8
NTR
9
上海浦东机场能不能兑换外币吗?外币兑换的运营时间?
10
小白经济学
发布
客服
反馈