今日周末停盘,本是我们大家放松心情休息的时机,寻常星期一至星期五行情的震荡我们时刻维持着分析已经很累了,但是因为于最近找我谋求帮助的朋友说出了自己的心声,情不自禁的我想去写出自己对于市场的一个观点,期望目睹这篇文章的朋友你们能认知到一部分明细上的困难,懂得归纳,学会反思,怎么去规避市场风险;人往往只有持续的通过学习和归纳不足的地方,你才可有所成长;投资市场道理大家都懂,而在该种情形下,我们首先需求维持好自己的心态,不让自己一而再再而三的承受教训,不错的方式方法学会运用,差的方式明细学会规避。
金价从月度低位回弹暴涨超7.7%,但这周遭受了技术压力。若持续坚守1829一线以下,那么在普遍升势中的短时间回调威胁或持续存在,笔者看好于从黄金击穿周度开盘区间以便得到指示。伴随8月的交易步入尾声,本文笔者将更新金价适合关注的技术水平,包含隐藏的计划和策略失效水平。
黄金技术前景:在笔者在此之前的金价前景中曾提到,金价已经“在上周守稳了年度低位左右的重要支撑,关注点将转到后续的恢复行情。从操作的角度来说,预期1760一线或制约隐藏的回调,假使金价的确准备更深一步上升,则需求收盘在1830一线上方,到时更大量的焦点才倒向更深一步上升。”当周马上终结的时机,看多深陷整理,接着星期一这一次击穿便在100-日移动平均线(当前位于1810一线)遭受了压力,假使持续守稳这一压力以下,那么短时间的上涨趋势或较为脆弱;需求击穿/收盘在这一压力上方才有希望向重要的压力、即61.8%斐波破回撤/7月最高收盘水平所构筑的区域1825/29发起考验。
适合注意的是,从金价图表的120分钟图向上瞧,金价持续交投在上涨的通道内,周度开哦按区间持续维持在周度开盘支撑1781上方。若跌穿这一水平则或许威胁更大程度的回调,此情景将暴露更以下月度上涨趋势的38.2%斐波回撤/6月日K线最低收盘水平、即1759/60和1728/29,假使刷新这两个区间支撑,到时市场或许会显现隐藏的下探衰竭的痕迹。初始压力注意2012年高位、即1795一线,若击穿周度高点则暴露8月开盘水平1814和1825/29,假使刷新则或许面临市场更大的反映。
本星期五显现了来回洗盘的行情白天冲顶后回调!受于夜里22点美联储主席鲍威尔发言致使慌摸底1785后回弹推涨至最高位1819左右,星期五收盘于1816下周预期击穿1830一线。本月初的抄底多单中线完美100多个点成功捕捉,下周持续看上升,关注前期高位1830一线!

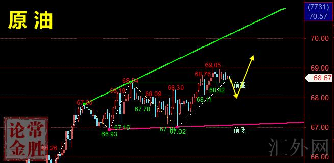
原油后市前景:原油昨日再收十字K线震荡,最高刷新68.30.最低刷新66.90.空间未放出显现,差不多保持在上一日的区域内来回拉锯震荡,上未破高,但也没有显现冲顶回调收低的走法,局部形成拉锯震荡,日K线双十字表明短时间上涨略有减缓,留心周线收官之走法。消息层面:因冠状受染患者增长导致了对需求的忧虑,同期墨西哥一钻井平台因发生火灾中止提供后复苏了部分生产。
4小时回踩布林道中轨轻微启稳震荡,受于日K线的收盘持平,致使短时间临时看不出多空保持,而周线已到了上周的最高位位置,短线略有收盘持平,但仍未执行形态上的转换回调,仍要留心是否完成冲顶回调。在震荡中从新转换下挫。短线大约率仍是缩减震荡走法,迈出区间等候下周。短线先关注区间内震荡,操作上临时保持区间内上缘择机空。综合来说,原油下周短线交易参考推荐以回踩低多为主,回弹高空为辅。
原油交易参考:
1、上方短时间着重注意68.8-69.3一线压力;
2、以下短时间着重注意66.5-66.0一线支撑。

大家手上有持仓的单子怎么办?这是常胜归纳的几点经验仅供参考!
(1)以快刀斩乱麻的方式停损了结。马上所持黄金现货全盘出售,以免黄金价格持续下挫而承受更大损失。执行该种解一套策略首要适合于以投机为目的的短时间投资人。由于处在下跌趋势的卖方市场中,短时间投资人持有的时间越长,给投资人导致的损失也将越大。
(2)采取拨档子的方式执行操作。即先停损了结,随后在较低的价位时,再补进,以减轻或轧平上档解一套的损失。
(3)执行朝下摊平的操作方法。即随黄金价格下降幅度扩增反而加仓买进,进而均低购黄金成本,以待黄金价格回涨获利。但执行此项作法,务必以证实整体投资环境仍未变坏,市场并无由买方市场转入卖方市场的情形发生为前提,否则,极易深陷愈套愈多的境遇。
(4)执行以不变应万变的“不卖不赔”方法。在单子被套牢后,只要仍未脱手,就不能认定投资人已亏血本。假使手中所单子有发展展望,且整体投资环境仍未变糟,市场行情仍未脱离不明市场,则大可不必为一时套牢而惊慌失措,此时应执行的方法不是将套牢单子和盘出售,而是维持持有来以不变应万变,安静等待近价回涨解一套之时。
期望各位投资人顺势而为,稳健获利。作为一位指导老师,短时间的投资利得并没有适合炫耀,这个市场没有永远的胜者,但对市场总的趋势的把握,才是一个分析专员所具备的实力!我所期望目睹的是,投资人长期稳健的获利,集小胜为大胜,并非是今日赚的盆体满钵,明天输的一文不剩。做投资,先是做人,随后才是获利。许多黄金,白银TD,沪金,铜及白银讯息及解一套方案关注笔者,本月初的坚定抄底多单已经大获全胜而且马上到达第一计划!同期最近会针对部分投资朋友执行中长线布局方案设计,有兴趣的朋友可以及时关注。